在初始强度没有明显退化情况下的非弹性变形能力。
(1) 承受较大的非弹性变形,同时强度没有明显的下降能力;
(2) 利用滞回特性吸收能量的能力。
对材料而言,延性材料是指在发生较大的非弹性变形时强度仍没有明显下降的材料;
对结构和结构构件而言,结构或结构构件在发生较大的非弹性变形时,其抗力仍没有明显的下降。
根据结构所承受的外部作用的性质,延性分为静力延性和滞回延性
2.1曲率延性系数(反应延性构件临界截面的相对延性)
截面屈服后的曲率与屈服曲率之比,最大曲率延性系数


屈服曲率的定义
屈服曲率定义为截面最外层受拉钢筋初始屈服时的曲率;(适用于能形成“受拉铰”的适筋构件,计算钢筋混凝土延性桥墩的屈服曲率时采用)
屈服曲率定义为截面混凝土受压区最外层纤维初次达到峰值应变值时的曲率。(适用于出现“受压铰”的超筋构件或高轴压比构件,计算建筑结构中的框架柱)
在美国加州准则Caltrans中,采用理论屈服曲率定义为




2.2位移延性系数(反应延性构件局部以及延性结构整体的相对延性)
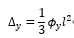
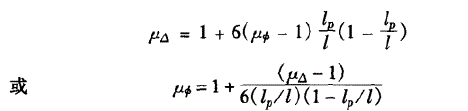
构件屈服后的位移与屈服位移之比,最大位移延性系数

变形能力是指其达到破坏极限状态时最大的变形,延性是指其非弹性变形能力,而位移延性系数是指最大位移与屈服位移之比。


对独柱式悬臂桥墩,其墩顶位移与桥墩的曲率分布之间,存在如下关系

在墩底截面刚刚屈服时,可认为曲率沿墩高成线性分布

于是可得墩顶的屈服位移



对于多柱式桥墩在横桥向水平地震作用下,墩顶和墩底都可能出现弯曲塑性铰,假定反弯点位于柱中间,则由以下公式

相关资料推荐:
https://ziliao.co188.com/p63359167.html
知识点: 桥梁延性抗震设计
0人已收藏
0人已打赏
免费3人已点赞
分享
桥梁工程
返回版块19.44 万条内容 · 654 人订阅
回帖成功
经验值 +10
全部回复(0 )
只看楼主 我来说两句抢沙发