地震条件下,通常桥墩受水平力较大,特别是中、高震区,地震动加速度大,墩柱承受较大的剪力,本文就墩柱抗剪强度计算进行探讨。
三十多年来,公路桥梁规范有1985、2004、2018三个版本,3本规范中,抗剪强度计算均是针对截面为矩形、T形和工字形的构件,且均是针对受弯构件。这就存在两个问题:
三十多年来,公路桥梁抗震规范有1989、2008、2020三个版本,3本规范对于墩柱强度计算规定不一样,简述如下:
89抗震规范,地震工况大致相当于2008、2020规范中的E1状态,对高速公路上的常规桥梁(B类),相当于100年一遇地震。
89抗震规范,构件按弹性状态考虑,构件强度计算要求参照1985桥规进行,但对矩形截面和圆形截面,取了不同的工作条件系数,矩形截面取0.95,圆形截面取0.68,相当于圆形截面折减了30%,但规范未说明折减原因。


如上所述,1985桥规中,抗剪强度计算列于受弯构件一节,偏心受压构件缺少抗剪强度计算相关内容。
从2008抗震细则开始,地震工况分为两个级别,分别是E1和E2。其中E1状态,高速公路常规桥梁(B类)对应100年一遇地震,复杂桥梁(A类)对应475年一遇地震;E2状态,高速公路常规桥梁(B类)和复杂桥梁(A类)均对应2000年一遇地震。
E1状态与89规范类似,要求构件处于弹性状态,强度计算按照2004桥规进行,但不再使用不同的工作条件系数区分矩形截面和圆形截面,即圆形截面不再进行折减。
E2状态,构件可以进入塑性,并且墩柱进入塑性后,要求墩柱塑性铰具备足够的抗剪强度,在墩柱偏心受压达到强度屈服时,塑性铰不发生剪切破坏。
塑性铰抗剪强度采用混凝土抗剪和箍筋抗剪两部分之和:

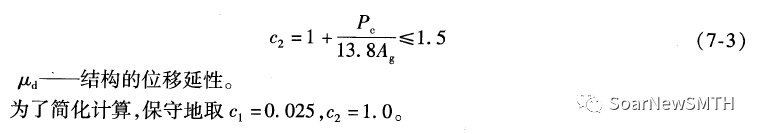
该公式是采用《美国加州抗震准则》(2000版),并直接取最大延性,即抗剪强度最低的情形,条文说明如下:


由条文说明可知,c1是延性折减系数,根据延性不同,取值范围0.025~0.25,规范直接取了最小值0.025;c2是轴压增加系数,取值范围1~1.5,规范未考虑轴压有利影响,直接取了最小值1。
由于计算公式中系数都取了最小值,计算结果偏低,导致中、高震区塑性铰抗剪计算中,箍筋用量增加很多。
2020年版抗震规范,E1状态与2008抗震细则相同。
E2状态下塑性铰抗剪计算,针对2008细则计算公式的缺点,仍然采用美国规范,但换成了AASHTO规范:


表面上看,2008细则和2020规范的引用的计算公式不一样,但仔细观察,两者实际是一回事。08细则,混凝土强度采用的是标准值,20规范,混凝土强度采用的是设计值,这导致了公式中的系数略有不同。
通常混凝土强度标准值/设计值=1.44左右,利用此关系代入2008细则引用的加州公式,可以发现,与2020规范公式完全相同。

延性系数需要进行计算。如果直接取6,实际上和08细则各系数取最小值差不多。
工民建规范,在构件抗剪强度计算这方面,考虑得比公路规范要周全一些,不仅给出了受弯构件的抗剪强度计算公式,也给出了偏心受压构件的抗剪强度计算公式,不仅给出了矩形、T形和工字形截面,也给出了圆形截面的计算方法。该规范抗剪强度为三项和,分别是混凝土抗剪强度、箍筋抗剪强度、轴压力产生的抗剪强度。


对于圆形截面,工民建规范是将其等效为矩形截面进行计算的:

规范没有说明等效的原理或方法,笔者根据纯弯状态下,矩形截面和圆形截面作用力大小和位置相同的等效原则,计算出的结果是宽度1.52r,高度1.76r,与规范刚好相反。
公路桥梁规范仅在受弯构件计算中列出了抗剪强度计算,混凝土与箍筋的抗剪强度计算公式由两项和转变为两项积的形式,这是公路桥梁规范与其它规范明显不同之处。
1985桥规,钢筋混凝土构件抗剪采用了两项积的形式,预应力混凝土构件抗剪采用了两项和的形式;2004桥规,钢筋混凝土和预应力钢筋混凝土,都采用了两项积的形式。
两项积公式的基础是两项和公式,1985桥规的推导过程是,先根据实验值分别写出混凝土抗剪值和箍筋抗剪值,对两项和公式进行求导,计算出两项和的最小值,作为混凝土和箍筋共同抗剪强度,此时混凝土抗剪强度和箍筋抗剪强度相等。


规范条文说明中,关于预应力系数部分的说明可以看出,轴压力对构件抗剪强度有提高,提高系数表达方式与美国规范接近。如将预应力提高系数改为条文说明中的与轴压力相关的形式,则该公式也可以应用于偏心受压状态,如再引入工民建规范圆截面等效原则,则该公式也可以应用于圆形截面。

1994版AASHTO规范,抗剪强度有两项积公式,也有两项和公式,要求取两者中的较小值。从公式表达式看,也是适用于受弯构件,并不适用于偏心受压构件。适用于矩形、T形或工字形截面,不适用于圆形截面。

计算条件:柱径180cm,柱高1100cm,弯矩1200t,轴压力510t,材料C30混凝土,主筋采用HRB400钢筋,配筋率1%;箍筋采用HRB400钢筋,采用直径12mm,间距10cm螺旋筋。

1、当延性较大时,如延性系数≥5时,2020抗震规范计算值最小,与2008抗震细则计算值接近。
2、1985桥梁规范和2018桥梁规范,计算结果接近,接近2020抗震规范中延性系数2的计算值。
3、2010工民建规范和1994版美国公路规范AASHTO,计算结果接近,接近2020抗震规范中延性系数3.5的计算值。
4、
根据柱子尺寸和配筋,计算得出柱子延性系数约2~2.3,按2020抗震规范计算得出的抗剪强度为3924~3582kN,与之最接近的是桥梁规范,1985桥梁规范与2018桥梁规范的不同在于对主筋配筋率的贡献考虑略有区别。

5、延性系数与主筋配筋率、箍筋配筋率、柱高均有关,主筋配筋率越大,弹性位移越大,延性系数越小;箍筋配筋率越大,塑性位移越大,延性系数越大;柱高越大,弹性位移越大,延性系数越小,如本算例柱高11m时,计算延性系数为2.3;当柱高为25m时,计算延性系数为1.6;当柱高为5m时,计算延性系数约为2.7。
6、公路桥梁规范抗剪强度计算式中考虑了主筋配筋率和箍筋配筋率,未考虑柱高因素。如柱高≥5D时,公路桥梁规范计算值≤抗震规范计算值,可直接采用公路桥梁规范计算值;当柱高较小,如柱高为2.5D时,公路桥梁规范计算值略高于抗震规范计算值,高出约15%,采用公路桥梁规范计算值时,应进行适当折减。通常柱高较小时,会采用设置滑板支座等措施,释放地震水平力,令墩柱保持弹性状态。
7、工民建规范与美国公路规范AASHTO计算式中考虑了箍筋配筋率,未考虑主筋配筋率,也未考虑柱高影响,通常计算结果明显小于2020抗震规范计算值,本例中小33%左右。
(一)现行公路桥梁规范抗剪强度计算存在局限,缺少偏心受压状态下抗剪强度计算方法,也缺少圆形截面抗剪强度计算方法。对现行公路桥梁规范抗剪强度计算公式稍做调整,即可扩大使用范围:①现有预应力增大系数不取定值,按照条文说明取值,即可考虑不同压力影响,从而可扩展到偏心受压构件。②圆形截面可按照工民建规范的方法,等效为矩形截面进行计算。
(二)延性系数与主筋配筋率、箍筋配筋率、柱高均有关,主筋配筋率越大,弹性位移越大,延性系数越小;箍筋配筋率越大,塑性位移越大,延性系数越大;柱高越大,弹性位移越大,延性系数越小。
(三)公路桥梁规范抗剪强度计算式中考虑了主筋配筋率和箍筋配筋率,未考虑柱高因素。采用调整后的公路桥梁规范抗剪强度计算公式,多数情况下,公路桥梁规范计算值≤抗震规范计算值,可直接采用调整后的公路桥梁规范计算值,对于柱高较小的情形,采用公路桥梁规范计算值时,应适当折减。
(四)工民建规范与美国公路规范AASHTO计算式中考虑了箍筋配筋率,未考虑主筋配筋率,也未考虑柱高影响,通常计算结果明显小于2020抗震规范计算值。
内容源于网络,如有侵权,请联系删除
相关资料推荐:
https://ziliao.co188.com/p62913067.html
知识点: 墩柱抗剪强度计算
全部回复(0 )
只看楼主 我来说两句抢沙发