A stochastic process model for resistance deterioration of aging bridges
在不利环境或运营条件下,在役桥梁通常出现刚度、强度等性能的劣化,使得桥梁安全等级下降而低于设计状态。因此,合理模拟旧桥抗力退化过程具有重要的意义,可以为桥梁的养护维修决策提供参考。目前,伽马(Gamma)分布广泛用于描述旧桥抗力退化的随机特征。伽马过程本质上是非递减过程,可以考虑抗力随时间退化的自相关性。然而,伽马过程的自相关和方差都依赖于退化过程中的抗力退化均值。一旦抗力退化均值可知,那么伽马过程的自相关与方差也完全确定。这种对退化均值的依赖性可能影响伽马过程在结构可靠性评估中的适用性,特别是在有观测数据确定抗力退化过程随机参数的情形下。鉴于此,本文提出了一个全新的抗力退化随机模型,通过引入附加参数使得退化自相关和方差不严格依赖于均值。
抗力退化随机模型
式中R0为初始状态抗力,G(t)为退化函数。退化函数具有随机性,可按时间分段表示为:
式中i,n表示时间段序号,d为时间段内确定性的平均退化量,ε为时间段内的随机扰动,通常认为是均值为1的伽马分布,其标准差与平均退化量d有关。本文提出随机退化模型:
式中k、m、p、q为固定参数,可通过观测数据处理得到。ε根据研究对象,可视为伽马分布、均匀分布、贝塔分布或者对数正态分布。当时间段序号n趋于无穷大时,有
当q=-0.5m时,表达式退化为与伽马退化模型一致的表达式。
假设m=0.5,k=0.0018,ti-ti-1=0.1,则40年后的抗力退化函数平均值为0.7。不同q值下退化函数的随机值、标准差和相关系数如下图所示。当q>-0.5m时,伽马退化模型高估了退化方差。而当q<-0.5m时,伽马退化模型则低估了退化方差。

时变可靠性评估
式中Pr()表示概率。假定荷载作用可以用均匀平稳泊松过程表示,桥梁结构的时变可靠度可表示为:
上式难以直接求解,可以用蒙特卡洛方法估计桥梁的时变可靠度。英文原文中提供了完整的估计过程流程,可参考。
桥梁结构可靠度评估应用
某桥梁结构承受活载作用L、恒载作用D,作用统计特点如下表:
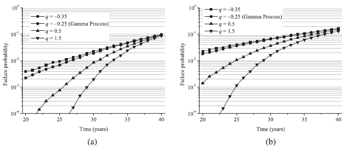
假设恒载作用标准值Dn与活载作用标准值Ln相等,且活载为出现率为λ的均匀泊松过程。m=0.5、k=0.0018,40年后的抗力退化函数平均值为0.7。LL1活载作用下,40年退化标准差分别取0.14%、0.21%时桥梁的失效概率分别如下图a、b所示。当q<-0.5m时,伽马退化模型低估了失效概率。而当q<-0.5m时,伽马退化模型则高估了失效概率。以失效概率0.01为可接受标准,当q=-0.35、-0.25、1.5时,桥梁可分别安全服役25年、27年、33年。超过年限后需要进行维修加固。
LL2活载作用下,40年退化标准差分别取0.14%、0.21%时桥梁的失效概率分别如下图a、b所示。大的活载方差增大了桥梁的失效概率,缩短了安全服役年限。
本文提出了一种描述旧桥抗力的随机模型,可用于桥梁时变可靠性的评估。该模型是对广泛使用伽马过程的改进,退化过程中方差和相关性对平均值不严格依赖。模型中引入了一个参数可以确定退化过程中的时变方差,其合理取值可以自动退化为伽马过程。分析结果表明,可靠度评估结果对抗力退化模型的选择较为敏感。随机模型参数小于伽马过程对应的参数,则伽马过程高估结构的可靠度。反之,伽马过程低估结构的可靠度。
内容源于网络,如有侵权,请联系删除
相关资料推荐:
https://ziliao.co188.com/p42959549.html
知识点:旧桥抗力退化
全部回复(0 )
只看楼主 我来说两句抢沙发