拱轴线的选择与计算
一、关于拱轴线线形:圆弧线、抛物线、悬链线
选取原则:
尽可能降低荷载产生的弯矩——截面形状
与压力线吻合——应力均匀,材料强度充分利用
实际上得不到理想的拱轴线——活载、主拱圈弹性压缩以及温度、收缩等因素的作用
一般采用恒载压力线作为设计拱轴线
对于活载较大的铁路混凝土拱桥,则可考虑采用恒载加一半活载(全桥均布)的压力线作为设计拱轴线
除了考虑主拱受力有利以外,还应该考虑外形美观、施工简便等因素
1)圆弧线拱
特点:
全拱曲率相同(施工方便)
拱轴线与恒载压力线偏离较大
当f/L较小(坦)时,两线偏离不大

图.1 圆弧线拱分析图
根据上图,建立几何关系

因为已知f、L、x,故能求解出y1、R、φ
使用范围:L﹤20m,或纵向预制拼装的大跨RC拱(简化施工)
2)抛物线拱
在竖向均布荷载作用下,拱的合理拱轴线是二次抛物线。对于恒载集度比较接近均布的拱桥(如矢跨比较小的空腹式钢筋混凝土拱桥,或钢筋混凝土桁架拱和刚架拱等轻型拱桥),往往可以采用抛物线拱。其拱轴线方程为:

为了使拱轴线尽量与恒载压力线相吻合,也常采用高次抛物线(3次、4次抛物线)作为拱轴线的
3)悬链线拱
实腹式拱桥的恒载集度从拱顶到拱脚均匀增加,其压力线是一条悬链线(如下图)。一般采用恒载压力线作为实腹式拱桥的拱轴线

空腹式拱桥的恒载从拱顶到拱脚不再是连续分布的其恒载压力线是一条不光滑的曲线,难于用连续函数来表达。目前最普遍的还是采用悬连线作为空腹拱的拱轴线,仅需拱轴线在拱顶、跨径的四分之一点和拱脚初与压力线重合“五点重合法”
二、悬链线的拱轴方程
1、拱轴方程的建立
目标:求出y1的表达式

如果拱轴线为恒载压力线,由对称性原则,拱顶截面的内力为:

对拱脚截面取矩,有:

对x处任意截面取矩

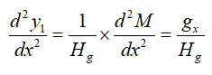
两边对x取两次导数,得

其中gx为供上任意的恒载集度,Hg为拱的恒载水平推力。
假定实腹式拱的恒载集度与拱轴坐标成线性关系,其任意恒载可以用下式表式:



2、拱轴系数m值的确定

由上述计算m值得公式可以看出,除拱脚倾角φj,其余均为已知:

具体操作流程如下:


(2)空腹式拱m值的确定



内容源于网络,如有侵权,请联系删除
相关资料推荐:
中承式拱拱轴线偏离后拱圈内力调整措施和计算
https://ziliao.co188.com/p62357937.html
知识点:拱轴线的选择与计算
0人已收藏
0人已打赏
免费4人已点赞
分享
桥梁工程
返回版块19.44 万条内容 · 655 人订阅
阅读下一篇
【知识点】上承式拱桥构造上承式拱桥构造 定义:桥面位于整个桥跨结构之上 组成:主拱(圈)、拱上传载构件或填充物、桥面系。 一、主拱构造 普通上承式拱圈断面形式 A、板拱 1、基本上与桥同宽 不设人行道,挑出5-10cm 设人行道,挑出15-25cm 适用: 实腹单孔拱桥 采用拱式腹孔的空腹式拱
回帖成功
经验值 +10
全部回复(0 )
只看楼主 我来说两句抢沙发