上承式拱桥构造
定义:桥面位于整个桥跨结构之上
组成:主拱(圈)、拱上传载构件或填充物、桥面系。
一、主拱构造
普通上承式拱圈断面形式


A、板拱

1、基本上与桥同宽

不设人行道,挑出5-10cm 设人行道,挑出15-25cm
适用:
实腹单孔拱桥
采用拱式腹孔的空腹式拱
2、窄拱圈

人行道部分悬出 人行道全部悬出

梁式腹孔的空腹拱

目的:
减少拱圈宽度,减小墩台尺寸
上部结构省料
适用:采用梁式腹孔的空腹拱
拱圈厚度
与跨度、体系、荷载有关
主拱厚度及变化规律



拱圈横截面沿跨径变化规律
目的:适应内力
变化方式
(1)石板拱的构造
拱石:满足施工规范要求(尺寸、标号)
编号:拱石需要随拱轴线和截面形式不同而编号

错缝

限制缝宽
砂浆强度比拱石低得多,限制缝宽(几cm,与材料有关)
设五角石(支座石)或混凝土拱座和底梁——改善受力条件


(2)混凝土板拱的构造
1)简单预制砌块板拱
预制块代替料石,施工、构造要求同料石拱
2)分肋合龙,横向填镶砌筑板拱
适于:中、小跨
施工方法:


3)卡砌(空心)板拱

(3)钢筋混凝土板拱的构造
优点:简单、美观

施工:可反复用一套较窄的拱架与模板来完成施工。
(4)板肋拱

B、肋拱
肋拱是指用两条或多条分离的平行窄拱圈?即拱肋作为主拱圈的拱
肋拱具有自重轻,恒载内力小,的优点,可以充分发挥钢筋混凝土等材料的性能,在大中型拱桥中得到广泛应用(取代板拱)


1.(单一)拱肋的截面选择

2.(单一)拱肋的轮廓尺寸

两外侧拱肋最外缘间距一般不宜小于跨径的1/15(稳定)。
C、箱形拱
箱形拱:主拱圈由多室箱构成的拱,箱形拱通常采用预制拼装施工。



箱形拱截面组成方式

1.拱圈的截面尺寸

2.箱拱内横隔板设置考虑

二、拱上建筑的构造
1.实腹式拱桥上建筑
实腹式拱上建筑构造简单,施工方便,填料数量较多,恒载较重,所以,一般用于小跨径的拱桥。实腹式拱上建筑由拱腹填料、侧墙、护拱、变形缝、防水层、泄水管以及桥面系组成

实腹式拱上建筑
特点:简单、重,多用于小跨

拱腹填料分为填充式和砌筑式两种。前者就地取材,后者在取材不易时才会采用该方式。
2.空腹式拱上建筑
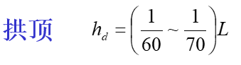
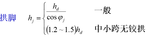
三、拱顶填料、桥面铺装
当拱上填料厚度(包括桥面铺装厚度)等于或大于50cm时,设计计算中不计汽车荷载的冲击力。
若是直接在拱顶截面上缘以上铺筑混凝土桥面,此时应计入汽车荷载的冲击力

作用:扩散轮载,减小冲击
四、伸缩缝、变形缝

温度下降时候的变形
拱上建筑与主拱圈的共同作用:提高主拱圈的承载能力,约束主拱圈的变形,产生附加内力

半跨加载时的变形
使用原则
变形大时,使用伸缩缝;变形小时,使用变形缝
作用
拱上建筑尽量自由变形
符合拱上建筑不与主拱圈共同工作的计算假定
防拱上建筑开裂
五、拱铰
拱桥中铰的设置
按两铰拱或三铰拱设计的主拱圈
按构造要求需要采用两铰拱或三铰拱的腹拱圈


构造要求:两铰或三铰腹拱

六、排水与防水
桥面排水
设置桥面纵、横坡和泄水管等
渗水排除
实腹拱

空腹拱

防水层构造
一般有两种:
2~3层油毛毡与沥青胶贴铺而成
沥青涂抹(少雨水处)
中、下承式钢筋混凝土拱桥的设计与构造
一、概述
中承式拱桥的行车道位于拱肋的中部,桥面系(行车道、人行道、栏杆等)一部分用吊杆悬挂在拱肋下,一部分用刚架立柱支承在拱肋上。

中承式拱桥总体布置
承式拱桥的桥跨结构由拱肋、悬吊结构和横向联结系三部分组成,如图所示。由于车辆在两片拱肋之间行驶,所以,需要用吊杆将纵、横梁系统悬挂在拱肋下,在纵、横梁系统上支承车道板,组成桥面系(行车道,人行道,栏杆等)。桥面系和这些传力构件统称为悬吊结构。

下承式拱桥总体布置
中 下 承 式 拱 桥 特 点
保持了上承式拱桥的基本力学特性。拱圈混凝土材料抗压。
更易满足净空要求
更易平衡水平推力
降低桥面高度
美观
二、中、下承式拱桥的基本组成和构造
1.拱肋
中、下承式拱桥的主要承重构件是两个分离式的拱肋,组成拱肋的材料可以是钢筋混凝土、钢管混凝土、劲性骨架混凝土或纯钢材,两片拱肋一般在两个相互平行的平面内。有时也可使两拱肋平面内倾,使之在水平面上的投影呈“X”型(即提篮式拱)以提高拱肋的横向稳定性和承载力。

提篮拱示意图
提篮拱(又称x型肋拱)显然能提高拱的横向稳定性
但提篮拱随着倾角的增加,会使下部结构工程数量也相应增加
拱肋的倾斜也会给施工带来困难
降低拱肋的面内极限承载力
X型肋拱的内倾角也不是越大越好,一般以10度附近为佳


肋拱矢跨比的取值在1/4~1/7之间。拱肋可以在拱架上立模现浇、也可采用顶制拼装
2.横向联系
为了保证两片拱肋的横向刚度和稳定以承受作用在拱肋、桥面及吊杆上的横向水平力,一般须在两片分离的拱肋间设置横向联系。



3.悬挂结构
刚性吊杆截面一般为矩形,采用预应力混凝土;除承受轴力外,还必须抵抗上下节点处的局部弯矩。为了减小刚性吊杆承受的弯矩,其截面尺寸在顺桥方向应设计得小一些,而在横桥向为了增加拱肋面外的稳定性,尺寸应该设计得大一些。

吊杆:刚性吊杆
柔性吊杆一般采用高强钢丝索或冷轧粗圆钢制作,只承受轴力。关键是保证钢索的耐久性,防止钢丝的锈蚀非常重要。
钢索的防护方法很多,主要有缠包法和套管法等。目前主要用PE热挤索套防护工艺,直接在工厂制成成品索,简单可靠,且较经济.

吊杆:柔性吊杆
(2)横梁
中承式拱桥的桥面横梁可以分为固定横梁、普通横梁和刚架横梁三类。

桥面系与拱肋相交处的横梁一般与拱肋刚性联结,其截面尺寸与刚度比其它横梁大,通常称为固定横梁;

固定横梁由于其位置特殊,它既要能传递垂直荷载和水平横向荷载,有时还要传递纵向制动力以及从拱肋和桥面传来的弯矩、扭矩和剪力,因此必须与拱肋刚性联结,且其外形须与拱肋和桥面系相适应。

(3)纵梁

横梁的间距一般在4m~10m之间,纵梁多采用T形、П形小梁,设计成简支梁结构或连续梁结构,或直接在横梁上满铺空心板、实心板

4.行车道系
行车道系组成
纵、横梁和桥面板
桥面板一般为普通钢筋混凝土结构,也可采用预应力或部分预应力结构

内容源于网络,如有侵权,请联系删除
相关资料推荐:
https://ziliao.co188.com/d63289654.html
知识点:上承式拱桥构造
0人已收藏
0人已打赏
免费3人已点赞
分享
桥梁工程
返回版块19.44 万条内容 · 655 人订阅
阅读下一篇
拱桥的基本组成及主要特点1. 拱桥的基本组成及主要特点 (1) 基本情况 受力分析 1) 特点 拱桥与梁桥外形不同,拱桥在竖向荷载作用下在支承处除了竖向力外,还有水平力的产生,使得拱内的弯矩大大减小。拱肋中主要是受压的轴力。 拱肋截面受压,可以充分发挥全截面材料的性能,从而能较大地高跨越能力。 相对于梁式和索式结构,拱桥的变形较小,行车条件好。
回帖成功
经验值 +10
全部回复(0 )
只看楼主 我来说两句抢沙发