土木在线论坛 \ 道路桥梁 \ 桥梁工程 \ 拱桥计算例题

拱桥计算例题

发布于:2022-08-23 13:53:23 来自:道路桥梁/桥梁工程 [复制转发]

计算例题详解

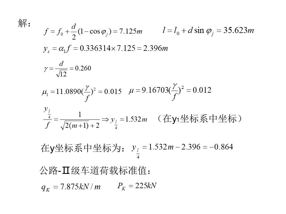
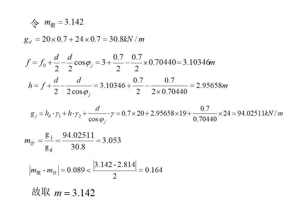
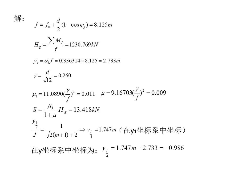
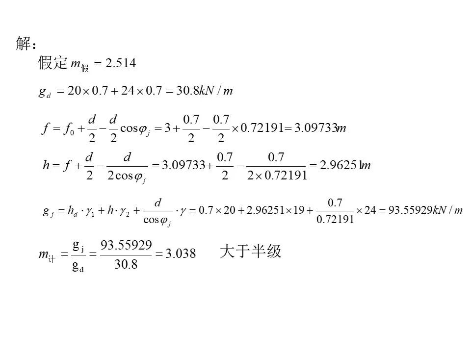
图片

图片

图片

图片

图片

图片

图片

图片

图片

图片

图片

图片

图片

图片

图片

图片

图片

图片

图片

图片


内容源于网络,如有侵权,请联系删除

相关资料推荐:

1-15m钢筋混凝土拱桥带计算书

https://ziliao.co188.com/d62351504.html

1-30松山湖拱桥设计完整版含计算书

https://ziliao.co188.com/d57986547.html




知识点:拱桥计算


全部回复(0 )

只看楼主 我来说两句抢沙发
这个家伙什么也没有留下。。。

桥梁工程

返回版块

19.44 万条内容 · 657 人订阅

猜你喜欢

阅读下一篇

混凝土梁桥施工方法

本章介绍梁桥施工中常采用的四种方法: 现浇法 吊机架梁法 悬臂施工法 顶推法 1 现浇法 1.有支架就地浇筑施工法 有支架就地浇筑施工是桥梁施工中应用较早的一种施工方法,以往多用于桥墩较低的简支梁桥和中、小跨连续梁桥。 ▲有支架就地浇筑施工法特点 支架按其构造分为支柱式、梁式和梁支柱式

回帖成功

经验值 +10