给排水施工图目录及内容:
项次 |
施工图名称 |
内容 |
图纸比例 |
1 |
基地排水管 |
1接入公共下水道、管渠的位置及高程的详细尺寸。 2管路转向的检查井清扫口位置,每个节点的高程及管段的坡度。 |
|
2 |
排水横主管 |
1穿越地下室的外墙位置及防水措施的做法. 2管道位置,相关尺寸、坡度。 3管道转向或与其它横干管连接位置。 4清扫口位置详细尺寸。 5与排水立管底端接点位置、高程等。 |
|
3 |
排水立主管 |
1管道转向位置及高程. 2通气立管廷伸位置、高程及与邻墙尺寸。 3各排水横支管接入位置、高程与邻墙尺寸。 4伸顶接通气立管位置。 5伸顶管的通气帽位置及高程。 6辅助通气管出入位置及与邻墙尺寸。 |
|
4 |
横支管 |
1管道位置相邻尺寸、坡度及高程. 2接卫生器具排水管的位置相邻尺寸。 3伸廷通气管的位置。 4管道转向或与其它横支管连接的位置。 5清扫口的位置。 6埋在找平层中的位置及相邻尺寸。 |
|
器具排水管 |
1通气管的位置上下接法。 2与背部通气管的接法,位置。 3管路转向与相邻墙的尺寸。 4与存水弯的接法位置与相邻墙的尺寸。 |
||
6 |
通气主立管 |
1管道转向位置。 2环状通气管、汇合通气管、通气支管接入处位置。 3通气辅助管接入位置。 |
|
7 |
通气支管 |
1坡度。 2立管与支管的接入点。 3管路转向位置。 |
|
8 |
管道间 |
1所有管道的位置与固定方式(包括消防、空调、电气)。 2与结构的相邻尺寸。 3维修口的详细尺寸。 4屋顶泛水。 5屋顶盖、百叶窗、通风等施工措施。 |
|
9 |
屋顶配管 |
1管路位置、高程。 2支座施工及固定机械详图。 3水箱基础详细尺寸。 |
|
10 |
全栋配管系统(定位)详图 |
||
11 |
雨水管线系统图 |
||
12 |
卫浴及给水设备配置详图 |
与周边构造物相距详细尺寸 |
|
13 |
各项器具管件规格图 |
设计原则:
(一)设计中应严格遵守国家现行的规程、规范要求,特别应遵守国家规定的强制性条文的要求。
(二)选用国家标准图及院标准,应注意选用新标准图号,不能用作废的或已被新的图号替代的标准图号。
(三)严格执行国家规定的初步设计、施工图设计深度有关内容。
设计内容:
通常民用建筑给排水包括如下内容:
(一)给水系统;
(二)排水系统;
(三)消防系统。
初步设计:
初步设计阶段,给水排水专业设计文件应包括设计说明书、设计图纸、主要设备表。
A 设计说明书
(一)设计依据
Ⅰ.摘录设计总说明所列批准文件和依据性资料中与本专业设计有关的内容;
Ⅱ.本工程采用的主要法规和标准;
Ⅲ.其他专业提供的本工程设计资料,工程可利用的市政条件。
(二)设计范围
根据设计任务书和有关设计资料,说明本专业设计的内容和分工(当有其他单位共同设计时)。
(三)室外给水设计
Ⅰ.水源:由市政或小区管网供水时,应说明供水干管的方位、接管管径、能提供的水量与水压。当建自备水源时,应说明水源的水质、水温、水文及供水能力,取水方式及净化处理工艺和设备选型等。
Ⅱ.用水量:说明或用表格列出生活用水定额及用水量,生产用水水量,其他项目用水定额及用水量(含循环冷却水系统补水量、游泳池和中水系统补水量、洗衣房、锅炉房、水景用水、道路、绿化洒水和不可预计水量等);消防用水标准及用水量,总用水量(最高日用水量、最大时用水量)。
Ⅲ.给水系统:说明生活、生产、消防系统的划分及组合情况,分质分压分区供水的情况。当水量、水压不足时采取的措施,并说明调节设施的容量、材质、位置及加压设备选型。如系扩建工程,还应对现有给水系统加以简介。
Ⅳ.消防系统:说明各类形式消防设施的设计依据,设计参数,供水方式,设备选型及控制方法等。
Ⅴ.管材、接口及敷设方式。
(四)室外排水设计
Ⅰ.现有排水条件简介:当排入城市管道或其他外部明沟时应说明管道、明沟的大小、坡度、排入点的标高、位置或检查井编号。当排入水体(江、河、湖、海等)时,还应说明对排放的要求。
Ⅱ.说明设计采用的排水制度、排水出路。如需要提升,则说明提升位置、规模,提升设备选型及设计数据,构筑物形式,占地面积,紧急排放的措施等。
Ⅲ.说明雨水排水采用的暴雨强度公式(或采用的暴雨强度)、重现期、雨水排水量等。
Ⅳ.管材、接口及敷设方式
(五)建筑给水排水设计
Ⅰ.说明或用表格列出各种用水量标准,用水单位数,工作时间,小时变化系数,最高日用水量,最大时用水量。
Ⅱ.给水系统:说明给水系统的划分和给水方式,分区供水要求和采取的措施,计量方式,水箱和水池的容量、设置位置、材质,设备选型,保温、防结露和防腐蚀等措施。
一、给水方式分类
1、直接给水
1)给水方式说明:与外部给水管网直连,利用外网水压供水。
2)适用范围:(单层或多层建筑)外网水压、水量能经常满足用水要求,室内给水无特殊要求。在外网压力超过允许值时,应设减压装置。应优先选择直接供水。
2、设水箱的给水方式
1)给水方式说明:与外部给水管网直连,利用外网水压供水,同时设高位水箱调节流量和压力。
2)适用范围:(多层建筑)外网压力周期性不足,室内要求水压稳定,并允许设置高位水箱。
3、水泵和水箱的给水方式
1)给水方式说明:水泵自外管网直接抽水加压并利用高位水箱调节流量, 在外网水压高时也可以直接供水。
2)适用范围:(多层建筑)外网压力经常或间断不足,外网允许直接抽水,并允许设置高位水箱。如果市政部门不允许直接抽水,则需加设水池,从水池中抽水。
4、气压给水方式
1)给水方式说明:利用水泵自外网直接抽水加压,利用气压给水罐调节流量和控制水泵运行。
2)适用范围:(多层建筑)外网压力经常不足,而水压允许有一定的波动,不宜设置高位水箱。
5、给水方式
1)给水方式说明:市政压力能够满足下层直接供水,上层利用水泵加压及水箱调节流量。
2)适用范围:(多层和高层建筑)外网允许直接抽水,并允许设置高位水箱。
如果市政部门不允许直接抽水,则需加设水池,从水池中抽水。
二、给水方式选择
根据建筑的具体情况和当地市政部门的具体要求能够保证的管网压力对以上各种供水方式作综合比较,选择最合适的供水方式。
三、给水系统的计算
1、给水定额及时变化系数
根据建筑性质及卫生器具的具体情况选择最高日生活用水定额和小时变化系数Kh,具体参数选择参见表1和表2。
表1.住宅最高日Th活用水定额及小时变化系数
住宅类别 |
卫生器具设置标准 |
用水定额(L/人.d) |
小时变化系数Kh |
|
普通住宅 |
I |
有大便器、洗涤盆 |
85~150 |
3.0~2.5 |
Ⅱ |
有大便器、洗脸盆、洗涤盆、洗衣盆、热水器和沐浴设备器 |
130~300 |
2.8~2.3 |
|
Ⅲ |
有大便器、洗脸盆、洗涤盆、洗衣机、集中热水供应(或家用热水机组)和沐浴设备 |
180~320 |
2.5~2.0 |
|
别墅 |
有大便器、洗脸盆、洗涤盆、洗衣机、洒水栓,家用热水机组和沐浴设备 |
200~350 |
2.3~1.8 |
|
表2集体宿舍、旅馆等公共建筑的Th活用水定额及小时变化系数
序号 |
建筑物名称 |
单位 |
最高日生活用水定额(L) |
使用时数(h) |
小时变化系数 Kh |
1 |
单身职工宿舍、学生宿舍、招待所 培训中心、普通旅馆 设公用盥洗室 设公用盥洗室、淋浴室 设公用盥洗室、淋浴室、洗衣室设单身卫生间、公用洗衣室 |
每人每日 |
50~100 80~130 100~150 120~200 |
24 |
3.0~2.5 |
2 |
宾馆客房旅客 员工 |
每床位每日 每人每日 |
250~400 80~100 |
24 |
2.5~2.0 |
3 |
医院住院部 设公用盥洗室 设公用盥洗室、淋浴室 |
每床位每日 每床位每日 |
100~200 150~250 |
24 24 |
2.5~2.0 2.5~2.0 |
3 |
设单独卫生间 医务人员 门诊部、诊疗所 疗养院、休养所住房部 |
每床位每日 每人每班 每病人每次 每床位每日 |
250~400 150~200 10~15 200~300 |
24 8 8~12 24 |
2.5~2.0 2.0~1.5 1.5~1.2 2.0~1.5 |
4 |
养老院、托老院 全托 日托 |
每人每日 每人每日 |
100~150 50~80 |
24 10 |
2.5~2.0 2.0 |
5 |
幼儿园、托儿所 有住宿 无住宿 |
每儿童每次 每儿童每次 |
50~100 30~50 |
24 10 |
3.0~2.5 2.0 |
6 |
公共浴室 淋浴 浴盆、淋浴 桑拿浴(淋浴、按摩池) |
每顾客每次 每顾客每次 每顾客每次 |
100 120~150 150~200 |
12 12 12 |
2.0~1.5 |
7 |
理发室、美容院 |
每顾客每次 |
40~100 |
12 |
2.0~1.5 |
8 |
洗衣房 |
每kg干衣 |
40~80 |
8 |
1.5~1.2 |
9 |
餐饮业 中餐酒楼 快餐店、职工及学生食堂 酒吧、咖啡馆、茶座、卡拉 OK 房 |
每顾客每次 每顾客每次 每顾客每次 |
40~60 20~25 5~15 |
10~12 12~16 8~18 |
1.5~1.2 1.5~1.2 1.5~1.2 |
10 |
商场 员工及顾客 |
每m2 营业厅面积每日 |
5~8 |
12 |
1.5~1.2 |
11 |
办公楼 |
每人每班 |
30~50 |
8~10 |
1.5~1.2 |
12 |
教学、实验楼中小学校 高等院校 |
每学生每日 |
20~40 40~50 |
8~9 8~9 |
1.5~1.2 1.5~1.2 |
13 |
电影院、剧院 |
每观众每场 |
3~5 |
8~12 |
1.5~1.2 |
14 |
健身中心 |
每人每次 |
30~50 |
8~12 |
1.5~1.2 |
15 |
体育场(馆) 运动员淋浴观众 |
每人每次 每人每场 |
30~40 3 |
4 |
3.0~2.0 1.2 |
16 |
会议厅 |
每座位每次 |
6~8 |
4 |
1.5~1.2 |
17 |
客运站旅客、展览中心观众 |
每人次 |
3~6 |
8~16 |
1.5~1.2 |
18 |
菜市场地面冲洗及保鲜用水 |
每m2每日 |
10~20 |
8~10 |
2.5~2.0 |
19 |
停车库地面冲洗水 |
每m2每次 |
2~3 |
6~8 |
1.0 |
注:
1 除养老院、托儿所、幼儿园的用水定额中含食堂用水,其它均不含食堂用水。
2 除注明外,均不含员工生活用水,员工用水定额为每人每班40~60L。
3 医务建筑用水中已含医疗用水。
4 空调用应另计。
2、最高日用水量
Qd=mqd (m3/d)
Qd-最高日生活用水量
m-设计单位数(人,床,病床,m2等)
qd-单位用水定额(L/人.d,),参见表1 和表2。
3、高日最大时用水量
Qh=khQd/T(m3/h)
Qd-最高日生活用水量
Kh-小时变化系数,参见表1和表2。
Qh-最高日最大时用水量(m3/h)
T-用水时间,参见表1和表2。
4、流量的计算
1)工企业的生活间、公共浴室、职工食堂或营业餐馆的厨房、体育场运动员休息室、剧院的化妆间、普通理化实验室等建筑的生活给水管道的设计秒流量,就按下式计算:
Qg=Σqonob
式中:qg-计算管段的给水设计秒流量(L/s);
qo-同类型的一个卫生器具给水额定流量(L/s);
no-同类型卫生器具数;
b-卫生器具的同时给水百分数,应按表3~表5采用。
注:
1如计算值小于该管段上一个最大卫生器具给水额定流量时,应采用一个最大的卫生器具给水额定流量作为设计秒流量。
2大便器自闭式冲洗阀应单列计算,当单列计算值小于1.2L/s 时,以1.2L/s 计;大于1.2L/s 时,以计算值计。
表3 工业企业Th活间、公共浴室、剧院化妆间、体育场馆运动员休息室等卫Th器具同时给水百分数
卫生器具名称 |
同时给水百分数(%) |
|||
工业企业生活间 |
公共浴室 |
剧院化妆室 |
体育场馆运动员休息室 |
|
洗涤盆(池) |
33 |
15 |
15 |
15 |
洗手盆 |
50 |
50 |
50 |
50 |
洗脸盆、盥洗槽水嘴 |
60~100 |
60~100 |
50 |
80 |
浴盆 |
— |
50 |
— |
— |
无间隔淋浴器 |
100 |
100 |
— |
100 |
有间隔淋浴器 |
80 |
60~80 |
60~80 |
60~100 |
大便器冲洗水箱 |
30 |
20 |
20 |
20 |
大便器自闭式冲洗阀 |
2 |
2 |
2 |
2 |
小便器自闭式冲洗阀 |
10 |
10 |
10 |
10 |
小便器(槽)自动冲洗水箱 |
100 |
100 |
100 |
100 |
净身盆 |
33 |
— |
— |
— |
饮水器 |
30~60 |
30 |
30 |
30 |
小卖部洗涤盆 |
— |
50 |
— |
50 |
注:健身中心的卫生间,可采用本表体育场馆运动员休息室的同时给水百分率。
表4 职工食堂、营业餐馆厨房设备同时给水百分数
厨房设备名称 |
同时给水百分数(%) |
污水盆(池) |
50 |
洗涤盆(池) |
70 |
煮锅 |
60 |
生产性洗涤机 |
40 |
器皿洗涤机 |
90 |
开水器 |
50 |
蒸汽发生器 |
100 |
灶台水嘴 |
30 |
注:职工或学生饭堂的洗碗台水嘴,按比例 100%同时给水,但不与厨房用水叠加。
表5 实验室化验水嘴同时给水百分数
化验水嘴名称 |
同时给水百分数(%) |
|
科学研究实验室 |
生产实验室 |
|
单联化验水嘴 |
20 |
30 |
双联或三联化验水嘴 |
30 |
50 |
2)住宅、集体宿舍、旅馆、宾馆、医院、疗养院、幼儿园、养老院、办公楼、商场、客运站、会展中心、中小学教学楼、公共厕所等建筑的生活给水设计秒流量,应按下式计算:

式中:qg-计算管段的给水设计秒流量(L/s);
Ng-计算管段的卫生器具给水当量总数;
a-根据建筑物用途而定的系数,应按表 3.6.5 采用。
注:
1 如计算值小于该管段上一个最大卫生器具给水额定流量时,应采用一个最大的卫生器具给水额定流量作为设计秒流量。
2 如计算值大于该管段上按卫生器具给水额定流量累加所得流量值时,应按卫生器具给水额定流量累加所得流量值采用。
3 大便器延时自闭冲洗阀的给水管段,大便器延时自闭冲洗阀的给水当量均以 0.5计,计算得到的附加1.10L/s 的流量后,为该管段的给水设计秒流量。
4 综合楼建筑的值应按加权平均法计算。
住宅设计秒流量系数值(a、K值)
序号 |
建筑物名称 |
a |
K |
|
1 |
住宅 |
有大便器、洗涤盆、无淋浴设备 |
1.05 |
0.005 |
2 |
有大便器、洗涤盆、淋浴设备 |
1.02 |
0.0045 |
|
3 |
有大便器、洗涤盆、淋浴设备和热水供应 |
1.10 |
0.0050 |
|
表6根据建筑物用途而定的系数值(a、K值)
建筑物名称 |
a值 |
K值 |
幼儿园、托儿所、养老院 |
1.2 |
0 |
门诊部、诊疗所 |
1.4 |
0 |
办公楼、商场 |
1.5 |
0 |
学校 |
1.8 |
0 |
医院、疗养院、休养所 |
2.0 |
0 |
集体宿舍、旅馆、招待所、宾馆 |
2.5 |
0 |
客运站、会展中心、公共厕所 |
3.0 |
0 |
5、屋顶水箱容积的计算
1)按照规范规定生活水箱的容积按不小于最高日用水量的 5%计,即:V生活=5%Qd
2)水箱的设置高度应使其最低水位的标高满足最不利配水点的流出水头要求:
Zx≥Zb+Hc+Hs
式中:Zx—高位水箱最低水位的标高(m);
Zb—最不利配水点的标高(m);
Hc—最不利配水点需要的流出水头(m);
Hs—水箱出口至最不利配水点的管道总水头损失(mH2O)。
6、贮水池容积的计算
贮水池的有效容积与水源供水保证能力有关,一般根据用水调节水量和生
产事故水量确定,应满足下式要求:
Vy≥(Qb-Qg)Tb+Vs
式中:Vy—贮水池的有效容积(m3);
Qb—水泵出水量(m3/h)
Qg—水源的供水能力(m3/h);
Tb—水泵运行时间(h);
Vs—生产事故水量(m3)。
注:
1.除非有明确要求,一般生产事故水量Vs=0;
2.当资料不足时,贮水池的调节水量不得小于全日用水量 8%-12%。
7、计算并校核三层室内所需压力
H=H1+H2+H3+H4
注:H1-3 层最不利点与引入管和市政管网连接点之间的标高差;
H2-3 层最不利点与引入管和市政管网连接点之间的水头损失;
H3—水表水头损失;
H4—最不利点流出水头。
一般市政压力以 0.3Mpa计算,如果H小于等于0.3Mpa,则三层以下建筑可采用直接供水的方式。
8、生活加压水泵的选择
1)水泵出水量按最大时用水量的1.2倍计:Qb=1.2Qh
水泵吸水管的最大流速不应超过1.2m/s ,其他给水管道的选择参照表7。
表7 Th活给水管道的水流速度
公称直径(mm) |
15~20 |
25~40 |
50~70 |
≥80 |
水流速度(m/s) |
≤1.0 |
≤1.2 |
≤1.5 |
≤1.8 |
2)水泵扬程:
Hb=Hy+Hs+2mH2O(水泵压水管进入水箱入口处所需出水头)
式中 Hb—水泵扬程(mH2O)
Hy—扬水高度(mH2O),即贮水池最低水位至高位水箱入口处的几何高差
Hs—水泵吸水管和出水管(至高位水箱入口)的总水头损失(mH2O)
Ⅲ、消防系统:遵照各类防火设计规范的有关规定要求,分别对各消防系统(如消火栓、自动喷水、水幕、雨淋喷水、水喷雾、泡沫、气体灭火系统)的设计原则和依据,计算标准,系统组成,控制方式,消防水池和水箱的容量、设置位置以及主要设备选择等予以叙述。
一、综述
1、对建筑性质进行界定。如属于高层还是多层,属于一类高层还是二类高层。
名称 |
一类 |
二类 |
居住建筑 |
高级住宅 十九层及十九层以上的普通住宅 |
十层至十八层的普通住宅 |
公共建筑 |
1.医院 2.高级旅馆 3.建筑高度超过50m 或每层建筑面积超过1000m2 的商业楼、 展览楼、综合楼、电信楼、财贸金融楼 4.建筑高度超过 50m 或每层建筑面积超过 1500m2 的商住楼 5.中央级和省级(含计划单列市)广播电视楼 6.网局级和省级(含计划单列市)电力调度楼 7.省级(含计划单列市)邮政楼、防灾指挥调度楼 8.藏书超过 100 万册的图书馆、书库 9.重要的办公楼、科研楼、档案楼 10.建筑高度超过 50m 的教学楼和普通的旅馆、办公楼、科研楼、档案楼等 |
1.除一类建筑以外商业楼、展览楼、综合楼、电信楼、财贸金融楼、商住楼、图书馆、书库。 2.省级以下的邮政楼、防灾指挥调度楼、广播电视楼、电力调度楼。 3.建筑高度不超过 50m 的教学楼和普通的旅馆、办公楼、科研楼、档案楼等。 |
十层至十八层的普通住宅 |
||
公共建筑 |
1.医院 2.高级旅馆 3.建筑高度超过50m 或每层建筑面积超过1000m2 的商业楼、 展览楼、综合楼、电信楼、财贸金融楼 4.建筑高度超过 50m 或每层建筑面积超过 1500m2 的商住楼 5.中央级和省级(含计划单列市)广播电视楼 6.网局级和省级(含计划单列市)电力调度楼 7.省级(含计划单列市)邮政楼、防灾指挥调度楼 8.藏书超过 100 万册的图书馆、书库 9.重要的办公楼、科研楼、档案楼 10.建筑高度超过 50m 的教学楼和普通的旅馆、办公楼、科研楼、档案楼等 |
1.除一类建筑以外商业楼、展览楼、综合楼、电信楼、财贸金融楼、商住楼、图书馆、书库。 2.省级以下的邮政楼、防灾指挥调度楼、广播电视楼、电力调度楼。 3.建筑高度不超过 50m 的教学楼和普通的旅馆、办公楼、科研楼、档案楼等。 |
2、依据业主要求及相应的国家标准及地方标准和行业标准,选择合适的消防系统;医院消防可能用到的消防系统包括消火栓系统、喷淋系统、灭火器、水喷雾系统、水幕系统、气体灭火系统,应根据建筑性质和相应的建筑条件选择合适的灭火系统。无论高层还是多层,灭火器和消火栓系统一般是必须设置。
3、选定系统后查询规范或设计手册等,通过计算确定设计参数。根据设计参数选择设备,并向建筑专业和电气等其他专业提供土建条件和用电条件等。
4、所做设计均须在国家强制性规范和地方标准及行业标准允许的范围内,
不得违反。
二、消火栓系统
1、设计参数计算:
1)通过查阅规范分别确定室内和室外消火栓系统设计流量。参见表8
2)计算消火栓的保护半径:R=Ld+Ls
式中:R—消火栓保护半径(m);
Ld—水带敷设长度(m),考虑到水带的转弯曲折,应乘以折减系数 0.8;
Ls—水枪充实水柱在平面上的投影长度(m),一般取 0.7Sk。
注:消火栓的水枪充实水柱应通过水力计算确定,且建筑高度不超过100m 的高层建筑不应小于 10m;建筑高度超过 100m 的高层建筑不应小于13m。
3) 计算消火栓口所需压力,并确定是否需设置增压设备(最不利点消火栓的静水压力小于 10m 则需设置增压设备)
消火栓口处所需的水压(消火栓直径为 65mm,水枪喷口直径为 19mm)。
Hxh= Hq+hd
其中:
,阻力系数φ和实验系数af选用参见下表:
阻力系数φ值
df(mm) |
13 |
16 |
19 |
φ |
0.0165 |
0.0124 |
0.0097 |
系数af值
H m (m) |
6 |
8 |
10 |
12 |
16 |
af |
1.19 |
1.19 |
1.20 |
1.21 |
1.24 |
水枪喷嘴的出流量:

式中 qxh—水枪的射流量,L/s;
qxh—水枪水流特性系数,与水枪喷嘴口径有关,参见下表:
水枪水流特性系数B
水枪喷嘴直径(mm) |
13 |
16 |
19 |
22 |
B |
0.346 |
0.793 |
1.577 |
2.836 |
水带阻力损失:Hd=Az·Ldq2xh×10
式中:hd—水带水头损失,kPa;
Ld—水带长度,m;
Az—水带阻力系数,参见下表。
水带阻力系数 Az值
水带材料 |
水带直径 |
||
50 |
65 |
80 |
|
麻织 |
0.01501 |
0.00430 |
0.00150 |
忖胶 |
0.00677 |
0.00172 |
0.00075 |
表8消火栓给水系统的用水量
高层建筑类别 |
建筑高度 (m) |
消火栓用水量(L/s) |
每根竖管最小流量 (L/ s) |
每支水枪最小流量 (L/ s) |
|
室外 |
室内 |
||||
普通住宅 |
≤50 |
15 |
10 |
10 |
5 |
>50 |
15 |
20 |
5 |
5 |
|
1.高级住宅 2.医院 3.二类建筑的商业楼、展览楼、综合楼、财贸金融楼、电信楼、商住楼、图书馆、书库 4省级以下的邮政楼、防灾指挥调度楼、广播电视楼、电力调度楼 5建筑高度不超过 50m 的教学楼和普通的旅馆、办公楼、科研楼、档案楼等 |
≤50 |
20 |
20 |
10 |
5 |
>50 |
33 |
30 |
5 |
5 |
|
1.高级旅馆 2建筑高度超过 50m 或每层建筑面积超过 1000㎡的商业楼、展览楼、综合楼、财贸金融楼、电信楼 2.建筑高度超过 50m 或每层建筑面积超过 1500㎡的商住楼 3.中央和省级(含计划单列市)广播电视楼 4.网局级和省级(含计划单列市)电力调度楼 5.省级(含计划单列市)邮政楼、防灾指挥调度楼 6.藏书超过 100 万册的图书馆、书库 7.重要的办公楼、科研楼、档案楼 8.建筑高度超过 50m 的教学楼和普通的旅馆、办公楼、科研楼、档案楼等 |
≤50 |
30 |
30 |
15 |
5 |
>50 |
30 |
40 |
15 |
5 |
|
注:建筑高度不超过 50m,室内消火栓用水量超过 20L/s,且设有自动喷水灭火系统的建筑物,其室内、外消防用水量可按本表减少5L/s。
4)按照最不利点消防竖管和消火栓的流量分配要求计算出设计流量,并确定立管管径并计算出管路损失。
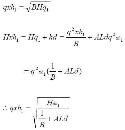
Hxho=Hxh
Hxh1=Hxho+△H+h
式中:△H —0-1 点之间的消火栓间距(m);
h—0-1 管段水头损失(m) 1 点的水枪射流量为:

进行消火栓给水系统水力计算时,按系统图以枝状管路计算。
消火栓给水系统所需总水压(Hx)应为:
Hb=Hq+hd+hg+hz
式中:Hb—消防水泵的压力(mH2O)
Hq—最不利点消防水枪喷嘴所需压力(mH2O)
hd—消防水带的水头损失(mH2O)
hg—管网的水头损失(mH2O)
hz—消防水池水面与最不利点消火栓之高差(mH2O)
具体计算模式可参照以下例题:
消火栓给水系统配管水力计算表
计算管段 |
设计秒流量qx(L/S) |
管长(L)(m) |
DN(mm) |
V(m/s) |
i(kpa/m) |
iL(kpa) |
0-1 |
5.2 |
3.5 |
100 |
0.60 |
0.0806 |
0.282 |
1-2 |
5.2+5.89=11.09 |
54.7 |
100 |
1.28 |
0.327 |
17.887 |
2-3 |
2×11.09=22.18 |
10.0 |
100 |
2.56 |
1.2225 |
12.225 |
管路总水头损失为 Hw=(0.282+17.887+12.225)×1.1=33.43kpa。
消火栓给水系统所需总水压(Hx)应为:
Hb=H1+Hxh+Hw=[24.3-(-0.7)]×10+212.3+33.43=495.73kpa
按消火栓总用水量:Qx=22.18L/S=80m3/h。

2、消防水泵选择
根据计算的设计流量和相应的扬程要求选择合适的消防泵,然后参照水泵的性能曲线来确定所选择的水泵能否满足最大或最小的流量要求,确定符合后向电气专业提送协作条件。
3、校核系统压力
如果消火栓栓口静水压力大于 1.0Mpa,则应采用分区给水系统。消火栓栓口的出水压力大于 0.5Mpa 时,应采取减压措施。
4、在布置各层消火栓时,尽量布置在楼梯和电梯附近,及走廊和其他明显且便于取用的位置,并努力保持所有层的消火栓布置在相同的位置。高层及甲乙类厂房室内消火栓间距不大于 30m,其他单层和多层则不应大于 50 m。如果建筑专业要求安装,则应保证放置消火栓的位置便于建筑专业将其包掉。同时需套结构图,防止立管穿梁的现象出现。消火栓应尽量避免放置在强、弱电和其他不宜放置消火栓的地方(针对医院),如 DSA、高压氧仓等。消防水管也不能穿过以下房间:X光室、核磁共振、CT 室、血管摄影、后荷、伽马刀、直线加速器、回旋加速器等。
0人已收藏
0人已打赏
免费1人已点赞
分享
天正给排水
返回版块6.48 万条内容 · 366 人订阅
阅读下一篇
给排水施工图设计26个常见问题汇编来源:机电天下 如有侵权,请联系删除 给水 1.生活饮用水管道与泳池循环水管道直接连接,不符合《建筑给水排水与节水通用规范》GB55020-2021 第3.1.4 条要求。(图 4-1) 图 4-1 生活饮用水管与泳池循环水管连接问题示例 2.室外给水管网干管不应采用枝状布置。室外给水管网干管应成环状布置,并应符合《建筑给水排水与节水通用规范》GB 55020-2021 第 3.2.3 条要求。
回帖成功
经验值 +10
全部回复(0 )
只看楼主 我来说两句抢沙发