土木在线论坛 \ 给排水工程 \ 给排水资料库 \ 流动阻力和水头损失

流动阻力和水头损失

发布于:2025-02-08 14:43:08 来自:给排水工程/给排水资料库 [复制转发]

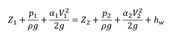
    本章节主要学习前面伯努利方程中的hw,主要解决水头损失的计算和学习水流内部存在两种截然不同的流动形态。

流动阻力及水头损失分类

流体的水头损失分成沿程水头损失和局部水头损失。

①沿程阻力和沿程水头损失(均匀流和渐变流的水头损失):流动边界沿程不变或变化缓慢时,单位重量流体从一个断面流至另一个断面时的机械能损失称为沿程水头损失,用hf表示。

※沿程水头损失随沿程长度增加而增加。

    ②局部阻力和局部水头损失(急变流的水头损失):当流体运动时,由于局部边界形状和大小的改变、或存在局部障碍,流体产生漩涡,使得流体在局部范围内产生了较大的能量损失,这种能量损失称作局部水头损失,用hj表示。

    从流动分类的角度来说,沿程损失可以理解为均匀流和渐变流情况下的水头损失,而局部损失则可理解为急变流情况下的水头损失。


某一段的总水头损失计算公式如下:


产生水头损失的原因①外因:流体的相对运动;②内因:液体具有粘滞性。

    水流在运动过程中单位重量液体的机械能的损失称为水头损失。产生水头损失的原因有内因和外因两种,外界对水流的阻力是产生水头损失的主要外因, 液体的粘滞性 是产生水头损失的主要内因,也是根本原因。

回顾知识点:实际液体和理想液体有什么区别?

总水头线绘图:(上一章的绘图题)

①在均匀流和渐变流段,因为沿程损失,导致流体的总机械能逐渐下降,因此总水头线为斜直线。

②在急变流处,因为局部损失,导致流体的总机械能突然下降,因此总水头线有突变。

液流边界几何条件对水头损失的影响

这里先认识几个概念:(很重要)

①过水断面面积A:就是液体流过断面的面积。

②湿周x:过水断面上,水流与固体边界接触的长度③水力半径:过水断面面积与湿周之比。

R=A/X

    一般的管道都是圆管,其水力半径计算如下:(记住结论)

还有一些其他截面的水力半径计算:(理解就行,不用背)


沿程水头损失和切应力的关系:(不算太重点,记个结论就行了)

根据结论,画出恒定均匀流中切应力的分布规律:

会用自己的语言简述出来。

沿程水头损失

计算题又来了。

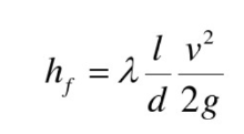
均匀流沿程水头损失的计算公式:

    实验研究发现,对圆管均匀流动,沿程水头损失与流速v,水力半径R,流体密度p,流体的动力粘度u,以及壁面粗糙度等因素有关。在工程实际中,经常采用经验公式来计算水头损失:(也叫达西公式)

达西公式是计算沿程水头损失的通用公式,适用于任何流动型态的流动。

    对有压圆管流动,水力半径为d/4,则有:

λ称为沿程阻力系数。(后续会学如何求 λ,考试要么直接给出 λ,要么用后面学的公式求 λ)

(记住第二条就行了,一般的试题都是圆管有压力)

雷诺实验

没记错的话,水力学这门课附带一个实验,到时候你们会实际操作的,雷诺实验也是一大重点,但是考试没什么可以考的,基本记一下结论就行。

雷诺实验

雷诺试验揭示了水流运动具有两种流态,层流和湍流。

①当流速较小时,各流层的流体质点是有条不紊地运动,互不掺混的,这种型态的流动叫做层流。

②当流速较大时,各流层的流体质点形成漩涡,在流动过程中,互相混掺,这种型态的流动叫做紊流(湍流)紊流中流体质点的速度随时间无规则地随机变化。

    具体的实验过程,大家自己看看书就行了,这里挑选一些重点来讲解:

    据试验结果:①层流时适用直线AC,θ=45°,即m=1,所以层流时沿程水头损失是与流速的一次方成比例的。

②湍流时适用直线DE,θ>45°,m=1.75~2,所以湍流时沿程水头损失是与流速的1.75~2次方成比例的。

    由此可见,液流型态不同,m的取值亦不同。因此,欲确定沿程水头损失必须首先判别液流的型态。


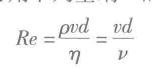
液体流态的判别:雷诺数

雷诺数:是一种用来表征流体流动情况的无量纲数。它可以区分流体的流动是层流还是湍流,也用来确定物体在流体中流动所受到的阻力。


雷诺数计算公式:(记住,可能会考)

雷诺数物理意义:运动流体质点所受的惯性力和粘性力的比值

    根据流速是否达到临界流速来判别流动的型态虽然直观,却不方便。主要是因为对不同流动条件下的同种类型的流动,临界流速不同。比如,对不同直径的有压管流,大管的临界流速就比小管的小。

 ①当流体流动的雷诺数小于临界雷诺数时,流动为层流

     ②当流体流动的雷诺数大于临界雷诺数时,流动为素流

    临界雷诺数:对同类型的流动,临界雷诺数是常数。有压管流的临界雷诺数为2000或2300。


例题:

圆管中的层流运动和紊流运动

圆管中的层流运动:(了解)

结论:在圆管层流中沿程水头损失与断面平均流速的一次方成比例,这与雷诺试验的结果完全一致。


紊流运动:(了解)

 紊流形成条件:①涡体的产生②雷诺数达到一定的数值。

特点:①粘性底层的厚度随雷诺数的增加而减小;

②对于明渠,在水文测验时用水面下0.6×h处的流速近似作为平均流速。

③紊流沿程阻力变化规律。

谢才公式

谢才总结了明渠均流的实测资料,提出计算均流的经验公,后人称为谢才公式:


1、谢才系数有量纲,量纲为[L1/2T-1],单位为m1/2/s。

2、谢才公式可适用于不同流态和流区既可适用于明渠水流也可应用于管流。

3、谢才公式与达西公式本质上一致。具体转换如下:

谢才系数C计算:

(1)曼宁公式(重要,考试一般用这个)

(2)巴甫洛夫斯基公式:(不用理这个,知道有这个公式就行,基本不考)

※提醒:学这一章节大家肯定会觉得很乱,一会这个公式,一会那个公式的。

其实很好解释,就是根据题目给出的资料信息详细程度来求解hw。

(1)这个是最基础的沿程水头损失公式,也是用的最多的,考试也基本都用这个公式。

(2)但是有时候出题它不给出λ,就需要根据其他信息求λ,再带入求解。

(3)求λ就要用到谢才公式,但是谢才系数需要自己求,这就又要使用到曼宁公式了,就这样根据题资料一层一层套公式,最后求出hf。


具体例子如下:难度也不算大,就是一开始学习有点乱。核心思路:熟记沿程水头损失基本公式、谢才公式、曼宁公式,以及一些基本概念。

局部水头损失

    局部水头损失一般在急变流段产生,流态一般为紊流粗糙。因为局部障碍的形状繁多,流动又极其复杂作用在固体边界上的动水压强又不好确定。

    因此,应用理论求解局部水头损失是较为困难的,所以一般都用估算的方法,学习起来简单很多,局部阻力系数在考试的时候大多数都是直接给出来的。


局部水头损失计算公式:

    在做计算、设计时,产生局部水头损失的情况有以下:

例题1:这例题应该类似于期末考试的难度了,主要考察伯努利方程+沿程水头损失、局部水头损失的计算,算是一种综合题,搞懂这道题期末考试基本问题不大。

例题2:这道主要考察谢才系数求解,期末考试也可能会考。



  • yaozi33
    yaozi33 沙发

    谢谢楼主分享

    2025-03-18 10:01:18

    回复 举报
    赞同0
这个家伙什么也没有留下。。。

给排水资料库

返回版块

22.45 万条内容 · 561 人订阅

猜你喜欢

阅读下一篇

水泵管道压力沿程水头损失计算

一、水泵管道长管和短管         在管道系统中,局部水头损失只占沿程水头损失的10%以下,或管道长度大于1000倍管径时,在水力计算中可略去局部水头损失和出口流速水头,称为长管;否则称为短管。在短管水力计算中应计算局部水头损失和管道流速水头。         二、沿程水头损失计算公式         1、达西公式(适用于圆管满流)

回帖成功

经验值 +10