一、水泵管道长管和短管
在管道系统中,局部水头损失只占沿程水头损失的10%以下,或管道长度大于1000倍管径时,在水力计算中可略去局部水头损失和出口流速水头,称为长管;否则称为短管。在短管水力计算中应计算局部水头损失和管道流速水头。
二、沿程水头损失计算公式
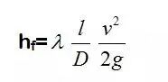
1、达西公式(适用于圆管满流)

式中:
—沿程阻力系数;
l—管道长度,m;
D—管道内径,m;
v—平均流速,m/s;
g—重力加速度,m/s2
1)沿程阻力系数计算公式
( 1)柯尔勃洛克-齐恩公式

(2)海曾-威廉(Hazen-Wllliams)公式

海曾-威廉(Hazen-Wllliams)粗糙系数

(3)柯尔勃洛克-怀特(Colebrook-White)公式
柯尔勃洛克-怀特公式适于各种紊流,是适用性和计算精度高的公式之。公式为:
式中:
—沿程阻力系数;
Re—雷诺数,Re=;
D—管道内径,m;
V—平均流速,m/s;
e—管壁当量粗糙度,m;
ν—运动粘度,m2/s
(4)

适于紊流区包括水力光滑区、过渡区(又称紊流过渡区)和阻力平方区。

(5)管壁粗糙度
常用管材内壁当量粗糙度e 
某些工业管道的对粗糙度
| 管壁材料 | 对粗糙度(ε) |
| 无缝黄铜管、铜管及铅管 | 0.01~0.05 |
| 新的无缝钢管或镀锌管 | 0.1~0.2 |
| 新的铸铁管 | 0.25~0.42 |
| 具有轻度腐蚀的无缝钢管 | 0.2~0.3 |
| 具有显著腐蚀的无缝钢管 | 0.5以上 |
| 旧的铸铁管 | 0.85以上 |
| 焊接钢管 | 0.33 |
| 干净玻璃管 | 0.0015~0.01 |
| 橡皮软管 | 0.01~0.03 |
| 接头平整的水泥管 | 0.33 |
常见管道的平均对粗糙度
| 管壁材料 | 平均对粗糙度e |
| 干净钢、铝管 | 0.0015~0.01 |
| 新无缝钢管 | 0.04~0.17 |
| 精制镀锌钢管 | 0.25 |
| 水泥管 | 0.33 |
| 普通镀锌钢管 | 0.39 |
| 普通铸铁管 | 0.25~0.42 |
| 玻璃管 | 0.0015~0.01 |
| 橡皮管 | 0.01~0.03 |
| 混凝土管 | 0.8~9.0 |
Oughness values k for various materials
| Materials | k (mm) |
| Smooth pipes of plastic, glass, copper, brass; drawn, extruded, ground finished | 0.002 |
| Seammless steel pipes, asbestos cement pipes | 0.05 |
| Welded steel pipes, new | 0.05~0.1 |
| Welded steel pipes, corroded | 0.15~0.2 |
| Spun concrete pipes, stoneware pipes, new cast-iron pipes | 0.2 |
各种壁面当量粗糙度
| 管道种类 | 加工及使用情况 | Δ(mm) | |
| 玻璃、铜 铅管、铝管 |
新的、光滑的、整体拉制的 | 0.001~0.01 0.0015~0.06 |
0.005 0.03 |
| 无缝钢管 | 1. 新的、清洁的、敷设良好的 2. 用过几年后加以清洗的、涂沥青的、轻微腐蚀的、污垢不多的 |
0.02~0.05 0.15~0.3 |
0.03 0.2 |
| 焊接钢管和铆接钢管 | 1 小口径焊接钢管(只有纵向焊缝的钢管) 1.1 清洁的 1.2 经清洗后锈蚀不显著的旧管 1.3 轻度腐蚀的旧管 1.4 中等腐蚀的旧管 2 大口径钢管 2.1 纵缝和横缝都是焊接的 |
0.03~0.1 0.1~0.2 0.2~0.7 0.8~1.5 0.3~1.0 |
0.05 0.15 0.5 1.0 0.7 |
| 镀锌钢管 | 1 1 镀锌面光滑洁净的新管 2 镀锌面般的新管 3 用过几年的旧管 |
0.07~0.1 0.1~0.2 0.4~0.7 |
0.15 0.5 |
| 铸铁管 | 2 1 新管 3 2 涂沥青的新管 4 3 涂沥青的旧管 |
0.2~0.5 0.1~0.15 0.12~0.3 |
0.3 0.18 |
| 混凝土管及钢筋混凝土管 | 5 1 无抹灰面层 6 1.1 钢模板,施工质量好,接缝平衡 7 1.2 木模板,施工质量般 8 2 有抹灰面层并经抹光 9 3 有喷浆面层 10 3.1 表面用钢丝刷过并经仔细抹光 11 3.2 表面用钢丝刷刷过,但未经抹光 |
0.3~0.9 1.0~1.8 0.25~1.8 0.7~2.8 |
0.7 1.2 0.7 1.2 8.0 |
| 橡胶软管 | 12 | 0.03 | |
某些管道表面的平均对粗糙度Δ值
| 管壁表面特征 | Δ,mm | 管壁表面特征 | Δ,mm |
| 清洁无缝钢管、铝管 | 0.0015~0.01 | 新铸铁管 | 0.25~0.42 |
| 新精制无缝钢管 | 0.04~0.15 | 普通铸铁管 | 0.50~0.85 |
| 通用输油管 | 0.14~0.15 | 生锈铸铁管 | 1.00~1.50 |
| 普通钢管 | 0.19 | 结水垢铸铁管 | 1.5~3.0 |
| 涂沥青钢管 | 0.12~0.21 | 光滑水泥管 | 0.3~0.8 |
| 普通镀锌钢管 | 0.39 | 粗糙水泥管 | 1~2 |
| 旧钢管 | 0.5~0.6 | 橡皮软管 | 0.01~0.03 |
Equivalent uniform roughness k for pipes
| Commercial pipe (new) material | Equivalent unifrom roughness, k, of the aurface |
| Glass, drawn vbrass, copper or lead | Smooth |
| Steel | 0.05 |
| Asphalted cast iron | 0.12 |
| Galvanized iron | 0.15 |
| Cast iron | 0.25 |
| Concrete | 0.3 to 3.0 |
| Riveted steel | 1.0 to 10.0 |
编者注:上述e、、k、的意义与GB/T 1031中的相同。
(6)流态和摩擦系数
1>舍维列夫公式
舍维列夫公式适于旧铸铁管和旧钢管满管紊流,常用于给水管道水力计算,公式为:
| 流态 | 摩擦系数 | |
| ≥9.2105 (1/m) | 阻力平方区 | |
| <9.2105 (1/m) | 紊流过渡区 |
谢维列夫公式适于新钢管满管紊流。公式为:
| 流态 | 摩擦系数 | |
| 水力光滑区 | ||
| <2.4105 (1/m) | 紊流过渡区 | |
| ≥2.4105 (1/m) | 阻力平方区 |
2>常用计算水力摩阻的经验公式

3>

流态名词说明

(2)Strickler method

Strickler k1 values
| Materials | k1 | |
| Steel pipes | ||
| Heavily corroede | 60 | |
| Moderately corroded | 85 | |
| Welded, new | 95 | |
| Smooth | ≥100 | |
| Plastic pipes | ||
| Pipes with asphalt or cement mortar surfacing | ||
| Conecrete pipes | ||
| Cast in steel shuttering | 90~100 | |
| Cast in timber shuttering | 65~70 | |
| Penstocks | (55)~85~(95) | |
(3)海曾-威廉公式
1>Hazen and Williams method

Hazen and Williams roughness values C for circular-section pipoes
| C | |
| Extremely smooth pipelines | 140 |
| Very smooth pipelines | 130 |
| Concrete pipes | 120 |
| New steel pipes (riveted) and tiled channels | 110 |
| Normal castr pipes, 10-year-okd steel pipes and old | 100 |
| Very rough pipelines | 60 |
2>


海曾-威廉(Hazen-Wllliams)系数
| 管道材料 | Ch | 管道材料 | Ch |
| 塑料管、内衬(涂)塑管 | 140 | 铜管、不锈钢管 | 130 |
| 内衬水泥、树脂的铸铁管 | 130 | 普通钢管、铸铁管 | 100 |
海曾-威廉(Hazen-Wllliams)系数
| 管道材料 | CHW | 管道材料 | CHW |
| 铸铁管 | 100 | 衬水泥铸铁管 | 120 |
| 碳钢管 | 112 | 玻璃纤维增强塑料管 | 150 |
海曾-威廉(Hazen-Wllliams)系数C
| 管道材料 | Age | Size, in | C |
| Welded steel | Any age | 12 and over 8 4 |
120 119 118 |
| Concrete or concrete-lined | Large sizes, good workmanship, steel forms Large sizes, good workmanship, wooden forms Centrifugally spun |
140 120 135 |
|
(4)舍维列夫公式2

(5)

f, m, b值见下表:
| 管道种类 | f | m | b |
| 混凝土管 | 1.749106 | 2 | 5.33 |
| 旧钢管、旧铸铁管 | 6.25105 | 1.9 | 5.1 |
| 石棉水泥管 | 1.455105 | 1.85 | 4.879 |
| 硬塑料管 | 0.9487105 | 1.77 | 4.77 |
| 铝质管及铝合金管 | 0.861105 | 1.74 | 4.74 |
| 地面铺设移动软管 | hf值为硬塑料管的1.1~1.5倍 | ||
三、沿程水头损失计算公式的适用范围
1)海曾-威廉公式适用于较光滑的管道,特别是当e≤0.25 mm (CW≥130)时,该公式较其他公式有较高的计算精度;
2) 舍维列夫公式在1.0≤e≤1.5 mm之间给出了令人满意的结果,这说明建立舍维列夫公式时试验所用旧铸铁管或旧钢管的当量粗糙度在1.0~1.5 mm之内,这正是旧金属管道常见的粗糙度范围。因此,对通常条件下的旧金属管道,选用舍维列夫公式具有较好的实用效果。但是,由于舍维列夫公式没有考虑管壁粗糙程度的影响,对于管壁光滑或特别粗糙的管道,是不适用的。
3)柯尔勃洛克-怀特公式适于各种紊流,是适用性和计算精度高的公式之。
0人已收藏
0人已打赏
免费0人已点赞
分享
给排水资料库
返回版块22.45 万条内容 · 564 人订阅
阅读下一篇
《四川省有限空间作业安全管理规定》发布!近日,四川省人民政府第366号令公布了 《四川省有限空间作业安全管理规定》 ,该规定 自2025年3月1日起施行 。 这一规定旨在加强有限空间作业的安全管理,预防和减少生产安全事故,保护从业人员的生命安全。 主要内容如下
回帖成功
经验值 +10
全部回复(0 )
只看楼主 我来说两句抢沙发