(一)汽车吊参数
机具设备配置表 |
||||
序号 |
机械名称 |
规格型号 |
额定功率(KW) |
数量(台、套) |
1 |
徐工汽车吊 |
50吨 |
/ |
1 |
|
||||
现场1#塔吊安装时,根据现场实际情况,使用50吨汽车吊进行安装,每个支腿下垫2000mm*2000mm*20mm的钢板,单支腿的接触面积按照2000mm*2000mm=4m2的受力面进行考虑。
(二)塔式起重机构件吊装分析

(三)塔吊参数
塔身的截面:2.0m x2.0m;
起重臂长:70m(截臂)
最大吊重:16t(回转半径:17.8m 处,四倍率)
臂端吊重:3.3t(回转半径:70m处,二倍率)
电源电压:380V/50HZ
总功率:98.3kW
整机性能参数:
起重性能表
|
(四)塔式起重机主要零部件重量表
部件名称 |
单件质量(t) |
部件名称 |
单件质量(t) |
基节 L69G22 |
5.0 |
平衡臂前臂节 |
4.3 |
标准节 |
2.1 |
起重臂70米 |
15.5 |
套架 |
5.7 |
第一块配重 |
3.9 |
回转总成 |
9.1 |
加强节 L69B6(3 节) |
2.3 |
过渡节+引进系统 |
2.4 |
中臂节+后臂节 (含起升机构、扒杆、含 375m 钢丝绳) |
10.1 |
二、工艺流程
安装流程:

附图1-塔吊平面布置图

附图2-塔吊施工交通组织平面布置图

附图3 汽车吊站位平面图

50t汽车吊支腿承载力验算工式:
吊车支腿下采用钢板,路基板尺寸为2.0m×2.0m,验算公式:

其中:F为吊重,G为吊车自重,R为工作幅度,C为支腿最小间距。
本此吊装最大单件计算重量15.5t,50t汽车吊自重43.6t,配重6.0t,工作幅度取7m,C为6.1m。计算可知Nmax=289.79kN.m2
f= Nmax/(2*2)=72.4475kN.m2,根据项目现场地勘报告。地基承载力为90KPa,满足支腿承载力要求。

五、辅助起重设备能力验算
塔式起重机构件吊装分析

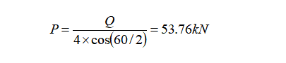
选用7527最重单体起重臂进行吊索的选型计算。按照1.2倍动载系数计算,自重Q=18.6t,由4根吊装绳进行吊装作业,吊装绳夹角取为60度。
单肢吊绳受力:

钢丝绳绳径选择
吊绳选用6×37结构,纤维芯,强度等级1770MPa,公称直径30mm。
钢丝绳容许拉力可按下式计算:
其中: [Fg]──钢丝绳的容许拉力(kN);
Fg──钢丝绳的钢丝破断拉力总和(kN),取 Fg=526(kN);
α──考虑钢丝绳之间荷载不均匀系数,α=0.82;
K──钢丝绳使用安全系数,取 K=8;
经计算得 [Fg]=0.82×526/8=53.915(kN)>53.76kN,满足吊装要求。
钢丝绳力学性能:
综上所述,塔吊安装时,主要吊索具选用如下:

卸扣安全负荷表:

钢丝绳的破断拉力表(6×37+1)

塔机安装位置至建筑物距离超过使用说明规定,需要增长附着杆或附着杆与建筑物连接的两支座间距改变时,需要进行附着的计算。主要包括附着杆计算、附着支座计算和锚固环计算。
(一)参数信息
本计算书参考塔吊说明书荷载参数进行验算。
塔吊型号:中联7527 |
工作状态倾覆力矩:M=5201.5kN.m |
非工作状态倾覆力矩:M=5551.5kN.m |
塔吊计算高度:H=72m |
塔身宽度:B=2m |
附着框宽度:3.0m |
最大扭矩:754.9kN.m |
风荷载设计值:0.79kN/m2 |
附着节点数:1 |
各层附着高度分别(m):39.3 |
附着杆选用格构式:角钢+角钢缀条 |
附着点1到塔吊的竖向距离:b1=7.95m |
附着点1到塔吊的横向距离:a1=4.66m |
附着点1到附着点2的距离:a2=12m |
二. 支座力计算
塔机按照说明书与建筑物附着时,最上面一道附着装置的负荷最大,因此以此道附着杆的负荷作为设计或校核附着杆截面的依据。
附着式塔机的塔身可以视为一个带悬臂的刚性支撑连续梁,其内力及支座反力计算如下:

1. 风荷载计算
1) 工作状态下塔机塔身截面对角线方向所受风荷载标准值
塔机所受风均布线荷载标准值 (Wo=0.2kN/m2)
Wk=0.8×2×1.95×0.822×0.2=0.51kN/m2
qsk=1.2×0.51×0.35×2=0.43kN/m
2) 非工作状态下塔机塔身截面对角线方向所受风荷载标准值
塔机所受风均布线荷载标准值 (本地区 Wo=0.30kN/m2)
Wk=0.8×2.05×1.95×0.822×0.30=0.79kN/m2
qsk=1.2×0.79×0.35×2.00=0.66kN/m
2. 塔机的倾覆力矩
工作状态下,标准组合的倾覆力矩标准值
Mk=5201.50kN.m
非工作状态下,标准组合的倾覆力矩标准值
Mk=5551.50kN.m
注:此处塔机的倾覆力矩不包含风荷载产生的力矩,风荷载的作用体现在塔身受力计算中。
3. 力 Nw 计算
工作状态下: Nw=227.762kN
非工作状态下: Nw=256.832kN
三. 附着杆内力计算
计算简图:

计算单元的平衡方程为:




其中:

四. 第一种工况的计算
塔机工作状态下,Nw=227.76kN, 风向垂直于起重臂,考虑塔身在最上层截面的回转惯性力产生的扭矩和风荷载扭矩。
将上面的方程组求解,其中 θ从0-360循环, 分别取正负两种情况,分别求得各附着最大的轴压力和轴拉力:
杆1的最大轴向压力为:478.36 kN
杆2的最大轴向压力为:353.10 kN
杆3的最大轴向压力为:315.60 kN
杆1的最大轴向拉力为:478.36 kN
杆2的最大轴向拉力为:353.1 kN
杆3的最大轴向拉力为:315.6 kN
五. 第二种工况的计算
塔机非工作状态,Nw=256.83kN, 风向顺着起重臂,不考虑扭矩的影响。
将上面的方程组求解,其中 θ=45,135,225,315, Mw=0,分别求得各附着最大的轴压力和轴拉力。
杆1的最大轴向压力为:210.51 kN
杆2的最大轴向压力为:75.87 kN
杆3的最大轴向压力为:269.15 kN
杆1的最大轴向拉力为:210.51 kN
杆2的最大轴向拉力为:75.87 kN
杆3的最大轴向拉力为:269.15 kN
六. 附着杆强度验算
1.杆件轴心受拉强度验算
验算公式: σ=N/An≤f
其中 N──为杆件的最大轴向拉力,取N=478.36kN;
σ──为杆件的受拉应力;
An──为格构杆件的的截面面积,计算得 An=4064mm2;
经计算,杆件的最大受拉应力 σ=478.36×1000/4064=117.71N/mm2。
最大拉应力不大于拉杆的允许拉应力215N/mm2,满足要求!
2.杆件轴心受压强度验算
验算公式: σ=N/φAn≤f
其中 σ──为杆件的受压应力;
N──为杆件的轴向压力,杆1:取N=478.36kN;杆2:取N=353.10kN;杆3:取N=315.60kN;
An──为格构杆件的的截面面积,计算得 An=4064mm2;
φ ──为杆件的受压稳定系数,是根据λ 查表计算得:
杆1:取φ =0.738,杆2:取φ=0.655 ,杆3:取φ =0.745;
λ ──杆件长细比,杆1:取λ =72.229,杆2:取λ=85.867,杆3:取λ=71.057。
经计算,杆件的最大受压应力 σ=159.41N/mm2。
最大压应力不大于拉杆的允许压应力215N/mm2,满足要求!
七. 焊缝强度计算
附着杆如果采用焊接方式加长,对接焊缝强度计算公式如下:
其中 N为附着杆单根主肢最大拉力或压力,N=478.360/4=119.590kN;
lw为附着杆的周长,取314.27mm;
t为焊缝厚度,t=7.00mm;
ft或fc为对接焊缝的抗拉或抗压强度,取 185 N/mm2;
经过焊缝强度 σ = 119590.00/(314.27×7.00) = 54.36N/mm2。
对接焊缝的抗拉或抗压强度计算满足要求!塔吊计算满足要求!
0人已收藏
5人已打赏
免费8人已点赞
分享
钢结构工程
返回版块46.53 万条内容 · 1213 人订阅
阅读下一篇
钢结构观景平台-景观的兴奋点打造SU1.承德避暑山庄的“月色江声”:月色空明之夜,万籁俱寂,静中传来武烈河水流动的哗哗声,细听似乎还能听到江上人家的摇橹声。江声并不吵人,相反,正是因为有了江声才使月夜显得更加宁静。?意境设计作为暗点设计的重要组成部分,讲究“收四时之烂漫”和“景到随机”。这个“机”允许在现实景物的基础上施展浪漫主义的遐想,使风景的意境深化。避暑山庄如意洲西临水处原有“云帆月舫”一景(康熙三十六景之一),这是一座临水的仿舟形阁楼,景名取“宛如驾轻云,浮明月”的意境,这称得上是“景到随机”的范例,“驾轻云”比较容易理解,即借驾轻云横逸为船帆鼓风而进的写照,而“浮明月”并不是明月浮于天际,而是月光如水,遍撒大地,舫座落在月光笼照的地面上,犹如浮于水面上一样。这也正符合前面提到的“月来满地水”的诗境。象这样在具体的基础上又寓抽象,在写实的造型中又赋写意意味的兴奋点设计是十分可贵的。
回帖成功
经验值 +10
全部回复(3 )
只看楼主 我来说两句-
加倍努力
沙发
2024-10-13 09:43:13
赞同0
-
wx_1676427117774
板凳
2024-10-10 21:40:10
赞同0
加载更多学习了塔吊安装方案涉及的计算!多谢了。
回复 举报
多多多多多多多多多分享
回复 举报