土木在线论坛 \ 建筑结构 \ 混凝土结构 \ 框架结构手算实例: 地震作用计算

框架结构手算实例: 地震作用计算

发布于:2024-02-27 12:00:27 来自:建筑结构/混凝土结构 [复制转发]


1

底部剪力法求水平地震作用

高度不超过40m,以剪切变形为主且质量和刚度沿高度分布比较均匀的结构,以及近似于单质点体系的结构,可采用底部剪力法等简化方法。

采用底部剪力法,结构的水平地震作用标准值,应按下列公式确定:

图片

2

重力荷载代表值

计算地震作用时,重力荷载代表值应取恒荷载标准值和可变荷载组合值之和。可变荷载组合值按下表查用。其中,不计入屋面活荷载,按等效均布荷载计算的楼面活荷载组合系数,其他民用建筑取0.5。

图片

【示例】

顶层重力荷载代表值包括

屋面恒载+纵横梁自重+半层柱自重+半层墙体自重+女儿墙自重

【TIPS】不计入屋面活荷载。

图片

其他层楼层重力荷载代表值:

楼面恒载+50%楼面均布活载+纵横梁自重+楼面上下各半层柱自重+上下各半层墙体自重

【TIPS】(1)楼层活荷载组合系数取0.5。

(2)底层墙高与柱高与其他层不一致,应区别计算。

各楼层重力荷载代表值如下图:

图片

3

D值法求柱的抗侧刚度

图片

【示例】已求得的梁柱线刚度如下图

图片
图片

4

自振周期的计算

对于质量和刚度沿高度分布比较均匀的框架结构,可采用顶点位移法计算其自振周期,并充分考虑填充墙对结构自振周期的影响,其基本自振周期可按下式计算:

图片

也可采用能量法计算结构自振周期,如下所示

图片

5

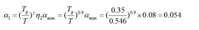
地震影响系数

查《抗规》可知,多遇地震,设防烈度7度,设计地震加速为0.10g时,αmax=0.08;

Ⅱ类场地,设计地震,分组为第一组,特征周期Tg=0.35.T=0.546s >Tg,

图片
图片
图片

6

各节点水平地震作用标准值

图片
图片
图片
图片





来源网络,如有侵权请联系删除




  • 放水发电
    放水发电 沙发

    这份资料不错,支持与鼓励多上传分享给大家

    2024-02-28 09:28:28

    回复 举报
    赞同1

混凝土结构

返回版块

140.17 万条内容 · 2216 人订阅

猜你喜欢

阅读下一篇

框架结构手算实例:风荷载计算

1

回帖成功

经验值 +10