土木在线论坛 \ 建筑结构 \ 砖混结构 \ 砌体结构受压验算相关问题分析

砌体结构受压验算相关问题分析

发布于:2024-02-01 17:25:01 来自:建筑结构/砖混结构 [复制转发]

 YJK砌体结构以门、窗间墙段为单元验算墙体轴心受压承载力。砌体结构的受压验算分为两种计算模式:当砌体墙中无构造柱时,按无筋砌体进行受压验算;当砌体墙中有构造柱时,按组合砖墙进行受压验算。对于长度小于250mm的小墙段,软件不作墙体受压验算。

      无筋砌体受压验算计算公式:

图片

      组合砖墙受压验算计算公式:

图片

1、稳定系数φ与高厚比β

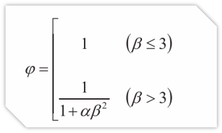
φ—无筋砌体时为高厚比对轴心受压构件承载力的影响系数,按附录D无筋砌体轴心受压计算。

图片
图片

      其中,与砂浆有关的系数α:

      当砂浆等级低于2.5时,软件按照88版砌体规范执行。

      砂浆等级=0.4,α=0.0045;

      砂浆等级=1.0,α=0.003。

      砂浆等级0~0.4,按线性插值;0.4~1.0,按线性插值;1.0~2.5,按线性插值。(这三段的变化斜率不同,所以分成三段进行插值计算)。

图片

φ—带构造柱的墙段时为组合墙稳定系数,按表8.2.3组合砖砌体计算稳定系数。

      其中,带构造柱的组合砖墙配筋率ρ=构造柱的钢筋面积/墙身面积。

图片

Q1:受压计算时的稳定系数为0

      如图,右侧墙的稳定系数为0,导致受压验算结果为0,什么原因?

      该墙段有构造柱,按配筋砖砌体计算稳定系数。查表8.2.3可以看出,高厚比超过28,表格没有给出稳定系数的数值。而此墙段的高厚比为28.42>28,此时,软件就将稳定系数取为0。表示该墙太薄,高厚比太大,可以加大墙厚来解决。

图片

      那么,对于左侧墙段,高厚比也是28.42,大于28了,稳定系数却是有数值的,这又是什么原因呢?发现左侧墙段无构造柱,则软件按附录d无筋砌体计算稳定系数。

      φ=1/(1+0.0015x28.42?)=0.45,与程序输出的结果是一致的。

图片

不带壁柱的砌体墙高厚比β

受压验算时的高厚比(每一小片墙的高厚比)按公式按5.1.2计算,公式中会考虑材料的修正系数。

图片

      需要注意的是,程序中还有砌体墙的高厚比专项验算。(每两片横墙之间的墙段)

图片

      此高厚比验算是按公式6.1.1计算,公式中没有计入材料的修正系数。

图片

Q2:下图墙体材料为蒸压砖,其高厚比结果与受压验算中的高厚比数值不对应。原因是受压验算时高厚比需要考虑材料的修正系数,查得蒸压砖的=1.2。所以,受压验算的β=1.2x2340/240=11.7,与程序结果输出一致。

图片

Q3:砂浆等级低于2.5允许高厚比如何取值?

      现行砌体规范只规定了砂浆等级M2.5及以上等级的高厚比限值。

图片

      当砂浆等级低于M2.5时,软件根据88版砌体规范确定。

      砂浆等级0~1,按线性插值;1~2.5,也是按线性插值。(两段的变化斜率不同,所以分成两段计算)。

图片

      其中,砂浆等级为0时,高厚比限值等于13.33。

图片

2、抗压强度

Q4:任意砂浆等级下的砌体抗压强度设计值怎么求出的?

      4.3版本之前,软件对不是规范表格中的数值,按表格差值确定抗压强度设计值。

      4.3版本之后,软件采用规范公式计算任意砂浆强度下的砌体抗压强度设计值。

      确定砌体抗压强度设计值的流程为:

      1、首先根据规范附录B,求得砌体轴心抗压强度平均值fm

      2、然后根据规范 4.1.5 条,求得砌体强度标准值 fk,fk=fm(1-1.645*变异系数);

      3、最后根据规范4.1.5条,求得砌体的抗压强度设计值f,f=fkf

图片

      同10系列规范,89规范下砌体抗压强度设计值也是按照上述公式计算,其结果与88版砌体规范抗压强度设计值表格数值保持一致。

Q5:参数“施工质量控制等级”软件默认的是B级,那么改为C级有什么影响?

      软件采用规范公式计算任意砂浆等级下的砌体抗压强度。计算公式的第三步,砌体的抗压强度设计值f=fk/γf,其中γf为材料性能分项系数,01、10 系列规范根据不同的施工质量按4.1.5条取值(施工质量为A级时,取1.5;施工质量为B级时,取1.6;施工质量为C级时,取1.8),89规范系列下取1.5。

      所以,施工质量等级不同,直接影响的是砌体抗压强度设计值的不同。

图片

Q6:该墙段砂浆等级M5,块体等级Mu10,为何抗压强度f为1.31N/mm?,与规范表格中的1.5N/mm?不一致?

图片

      依据3.2.3条,砌体强度设计值与墙段的截面面积有关系。

此墙段截面面积=0.72x0.24=0.17<0.3,则γa=0.17+0.7=0.87,所以f=0.87x1.5=1.31N/mm?。

图片

Q7:手核空心砌块的抗压强度

      此砌体墙采用混凝土空心砌块,其抗压强度3.17N/mm?是如何计算出来的?

图片

      软件中的空心砌块砌体墙的抗压强度设计值是按公式3.2.1-1与3.2.1-2计算出来的。

      查表3.2.1-4得到Mb5、Mu10下的f=2.22N/mm?。

      在砌体计算书中查询到孔洞率=50%、层灌孔率=33%。程序默认混凝土灌孔混凝土等级C20,fc=9.6N/mm?

α=δρ=0.5x0.33=0.165,fg=f+0.6αfc=2.22+0.6x0.165x9.6=3.17N/mm?

图片
图片

总结

①当砌体墙中无构造柱时,按无筋砌体进行受压验算;

当砌体墙中有构造柱时,按组合砖墙进行受压验算。

两种受压验算公式中的稳定系数取值方法也不同。

②受压验算时的高厚比会考虑材料的修正系数。

高厚比专项验算没有考虑材料的修正系数。

当砂浆等级低于M2.5时,软件根据88版砌体规范确定高厚比限值。

③软件采用规范公式可以计算任意砂浆强度下的砌体抗压强度。

砌体强度设计值与墙段的截面面积有关系,应乘以调整系数γa

全部回复(0 )

只看楼主 我来说两句抢沙发

砖混结构

返回版块

10.11 万条内容 · 448 人订阅

猜你喜欢

阅读下一篇

砌体结构抗震加固专篇

   据相关部门统计,我国现有一大批自新中国成立以来建造的房屋已经超过了设计基准期,且全国又有较多的建筑安全储备不足,城市的部分住宅结构逐渐进入老龄化,因此需要根据检测、鉴定结果进行加固改造。      目前老房屋中砌体结构存量相当庞大,本文为大家介绍YJK软件中砌体结构抗震加固的相关内容。

回帖成功

经验值 +10