土木在线论坛 \ 水利工程 \ 水利工程设计 \ 储能技术之——抽水蓄能

储能技术之——抽水蓄能

发布于:2024-01-11 14:20:11 来自:水利工程/水利工程设计 [复制转发]

图片

抽水蓄能电站


抽水蓄能是一种以水为能量载体,通过抽水和放水过程实现能量存储和利用的储能技术。


抽水蓄能电站,一般由上水库、输水系统、厂房和下水库等组成。抽水蓄能电站的上水库用于储蓄能量。下水库用于储蓄上水库发电过程放下来的水。输水系统是电站储蓄的水在上水库与下水库之间双向流动的传输通道。


图片



抽水蓄能电站的作用


抽水蓄能电站可有效调节电力系统的供需,使其达到动态平衡,大幅度提高电网的运行安全和供电质量。具体作用包括削峰填谷、调频、调相(调压)、事故备用和黑启动等。


削峰填谷


在用电负荷高峰时段向电网提供电能;在用电负荷低谷时段消纳电网中其他电源(如火电、风电和太阳能等)过剩的电量。


图片



调频    


抽水蓄能电站的调频作用又称负荷自动跟踪作用。抽水蓄能电站具有启停速度快、工况转换迅速能随时并迅速地调整出力以消除功率的不平衡量,实现频率稳定


调相  


抽水蓄能电站的调相作用又称为调压作用。抽水蓄能发电机的调相运行方式可分为调相运行和进相运行两种:调相运行是指发电机向电网输送感性无功功率的运行状态;进相运行是指发电机吸收电网的感性无功功率的运行状态。


事故备用


抽水蓄能电站的事故备用作用是指抽水蓄能电站可以作为电力系统中备用容量的组成部分之一


黑启动     


抽水蓄能电站的黑启动作用是指抽水蓄能电站可在无外界电力供应的情况下,迅速自启动,并为其他机组提供启动功率,使电力系统在短时间内恢复供电,保证电力系统的安全可靠运行



抽水蓄能电站的类别及其特点

按开发方式分类


引水式抽水蓄能电站        


一般建在天然高度落差较大、流量相对较小的山区或丘陵地区的河流上。根据厂房在输水系统中的位置,可进一步分为首部式布置、中部式布置和尾部式布置三种。


首部式布置的抽水蓄能电站将厂房布置在输水系统的上游侧,靠近上水库。常用于水头不太高的电站;中部式布置的抽水蓄能电站一般将厂房布置在输水系统的中部。中部地形一般不太高,电站的上下游一般都有比较长的输水道;尾部式布置的抽水蓄能电站一般将厂房布置在输水系统的下游侧,靠近下水库。目前在抽水蓄能电站中应用较多。


图片


抬水式抽水蓄能电站


一般在天然河道中拦河筑坝形成上水库,以抬高上水库的水位。抬水式抽水蓄能电站的布置形式主要分为坝后式布置和河岸式布置。


图片


坝后式布置的抽水蓄能电站将厂房布置在坝的后侧,一般为地面式,不需承受水压。坝后式抽水蓄能电站的水头一般较低,但机组安装高程普遍较高。


图片


河岸式布置的抽水蓄能电站将厂房布置在河岸边或河岸内。河岸式布置抽水蓄能电站的引水道多采用山体隧洞


图片


按天然径流条件分类


纯抽水蓄能电站


纯抽水蓄能电站的上水库一般没有或只有少量的天然来水进入。纯抽水蓄能电站一般水头较高,上水库和下水库常的库容大小相似。


混合式抽水蓄能电站


 混合式抽水蓄能电站的上水库一般建在河川上或利用天然湖泊作为上水库,具有天然径流汇入,其来水流量可达到安装常规水轮发电机组承担系统负荷的要求。      


混合式抽水蓄能电站又称为常蓄结合式抽水蓄能电站。混合式抽水蓄能电站厂房内所安装的机组一般由两部分组成,一部分是常规水轮发电机组,另一部分是抽水蓄能机组。


按水库座数分类 


两库式抽水蓄能电站


两库式抽水蓄能电站指具有两座水库的抽水蓄能电站。两库式抽水蓄能电站是比较常见的抽水蓄能电站。


三库式抽水蓄能电站


三库式抽水蓄能电站是指具有三座水库的抽水蓄能电站。三库式抽水蓄能电站一般是由一座上水库与两座下水库组成。

图片


当两座下水库是相邻水电站梯级的两座水库,可实现同流域抽水蓄能;当两座下水库是相邻流域的两座水电站水库,可实现跨流域抽水蓄能。


图片


按发电厂房形式分类


地面式抽水蓄能电站


地面式抽水蓄能电站采用地面式厂房。地面式厂房一般适用于水头不太高,下游水位变化幅度不太大和地质条件不宜做地下厂房的抽水蓄能电站,在抽水蓄能电站中应用较少


半地下式抽水蓄能电站


半地下式抽水蓄能电站采用半地下式厂房。半地下厂房能适应抽水蓄能机组较大的淹没深度和下游水位较大的变幅,在抽水蓄能电站中应用较多


地下式抽水蓄能电站


地下式抽水蓄能电站采用地下式厂房。地下厂房由于能够适应尾水位的变化和抽水蓄能机组需要较大淹没深度的要求,在抽水蓄能电站中应用最多


按水头高低分类


低水头抽水蓄能电站


低水头抽水蓄能电站水头在100m以下。我国的潘家口抽水蓄能电站是典型的低水头抽水蓄能电站。


中水头抽水蓄能电站


中水头抽水蓄能电站水头在100~700m之间的抽水蓄能电站称为中水头抽水蓄能电站。我国的广州抽水蓄能电站是典型的中水头抽水蓄能电站。


高水头抽水蓄能电站


高水头抽水蓄能电站水头在700m以上的抽水蓄能电站称为高水头抽水蓄能电站。我国的河北丰宁抽水蓄能电站是典型的高水头抽水蓄能电站。电站单位kW造价通常随水头的增高而降低,具有较大的经济性。


按机组型式分类


分置式(四机式)抽水蓄能电站


分置式抽水蓄能电站在分置式抽水蓄能机组中,水泵、水轮机、电动机和发电机这四种部件是分开布置的,占地大,布置复杂,工程投资大,目前已很少被采用


串联式(三机式)抽水蓄能电站


串联式抽水蓄能电站的电动机和发电机功能被集成到同一台机组中,抽水蓄能电机同时与水轮机和水泵相联结,称为串联式机组。串联式机组具有较高的运行效率,但工程投资偏大


可逆式抽水蓄能电站


可逆式抽水蓄能电站在串联式抽水蓄能电站的基础上将水泵和水轮机合并为一套,称为可逆式水泵水轮机。可逆式水泵水轮机具有贯流式、轴流式、斜流式和混流式四种结构,可以适应不同应用场景下的水流差异。


按水库调节周期分类 


日调节抽水蓄能电站


日调节抽水蓄能电站是指以日为循环周期的抽水蓄能电站。目前的大部分纯抽水蓄能电站都属于日调节抽水蓄能电站。


周调节抽水蓄能电站


周调节抽水蓄能电站是指以周为循环周期的抽水蓄能电站。一般周调节抽水蓄能电站的库容应满足电力系统一周以内对调峰的需求。


季调节抽水蓄能电站


季调节抽水蓄能电站是指以季为循环周期的抽水蓄能电站。一般季调节抽水蓄能电站的库容应满足电力系统一季度以内对调峰的需求。


年调节抽水蓄能电站


年调节抽水蓄能电站是指以年为循环周期的抽水蓄能电站。一般年调节抽水蓄能电站的库容应满足电力系统一年以内对调峰的需求。年调节抽水蓄能电站中多数为混合式抽水蓄能电站




图片

抽水蓄能电站的原理



抽水蓄能电站的能量转换过程

在电力系统负荷低谷时:将电网过剩的的电能先转换为机械能,再把过剩的电能转换而来的机械能以水体的势能形式储存起来。


电力系统负荷转为高峰时:再将这部分水体的重力势能转换为机械能,最后机械能重新转换为电能,以弥补电力系统的尖峰容量和电量不足,满足系统调峰需求


图片


水库水位 


正常蓄水位:抽水蓄能电站正常运行情况下,水库蓄水能达到的最高水位。


死水位:抽水蓄能电站正常运行情况下,水库蓄水的最低工作水位。


工作深度:水库的正常蓄水位与死水位之间的高程差(高度落差)。 


水库水头 


最大水头:抽水蓄能电站的上、下水库的水面高度落差的最大数值。 


最小水头:抽水蓄能电站的上、下水库的水面高度落差的最小数值。 


平均水头:取最大水头和最小水头的算术平均值。水


水库库容 


蓄能库容:水库在正常蓄水位与死水位之间所包含的库容。上水库与下水库之间的水面高度落差越大(水头越大),存于上水库的能量也越大。



抽水蓄能电站的水头特性

抽水蓄能电站的水头特性主要用以描述该电站的水头值与蓄水量之间的变化规律


在抽水蓄能电站完成一次完整的抽水和发电的循环过程中,电站水头值与蓄水位将在一个范围内变化


电站的最大、最小水头计算公式如下:


图片


抽水蓄能电站的水头与蓄水位的变化规律主要由水库形状以及库容大小决定。假定上水库从正常蓄水位ZUN开始放水,当放水量达到ΔV1时,其水位下降至ZU1;此时,下水库由于接收到ΔV1的水量,其水位也由死水位ZLD上升至ZL1。当上水库的蓄水位下降至死水位ZUD后,抽水蓄能电站不再能继续放水发电,下水库的蓄水位也将上升至其正常蓄水位ZLN。此时,抽水蓄能电站的水头最小。


图片

   

对图2-16中同一横坐标的上水库放水曲线与下水库的蓄水曲线取差值,便可制作出图2-17所示的抽水蓄能电站的水头特性。一般而言,库容越大,水头变化特性曲线就越平缓,反之亦然


图片



蓄能水库的能量特性

蓄能水库的能量特性主要用以描述抽水蓄能电站的发电量与上水库蓄能库容的放水量之间的关系。


抽水蓄能电站的主要任务是调峰,因而系统能容纳的调峰容量(功率)N(kW)或调峰电量(能量) ET (kWh)是决定上、下水库容积的主要依据。在规划选点或可行性研究阶段,蓄能库容VS 可按下式估算


图片


在所能修建的水库的容积无法达到调峰所需蓄能库容要求时,只能按照所能建成的最大库容确定该抽水蓄能电站的调峰能力。


K=1, ηT =85%时,上水库的放水量ΔV与发电量ET  的关系式为


图片


在一次完整的放水发电调峰运行过程中发电量ET


图片


利用抽水蓄能电站的水头-能量特性图,可求出上水库从某一水位开始放水至另一水位对应的发电量


在抽水蓄能电站运行过程中,可借助蓄能水库的能量特性图计算用去的蓄能量和尚存的蓄能量,或用来预测发多少电时上水库水位将下降至何处。


图片



抽水蓄能电站的综合效率

抽水蓄能电站的综合效率η(即抽水用电与放水发电的电量转换效率)是衡量抽水蓄能电站调峰循环过程中电量转换效率的一个重要指标。


抽水蓄能电站的综合效率η为:


图片


抽水蓄能电站综合效率主要由变压器、电动机、水泵、输水系统等工作部件的运行效率共同决定。一般情况下,抽水蓄能电站的容量越大,综合效率就越高


对于中小型抽水蓄能电站,其综合效率一般为0.67~0.70之间;


 对于大型抽水蓄能电站,其综合效率一般都在0.7以上,条件优越的大型抽水蓄能电站的综合效率甚至可以达到0.78。


图片


图片
图片




图片

抽蓄机组的运行模式



抽蓄机组的工况

静止工况


静止工况指抽水蓄能机组处于停机静止状态。此时,机组可作静止备用,以便在电网发生紧急情况下快速投入使用;可对机组安排检查维修,提高运行安全性。此外,为了机组安全性,静止工况还可以作为发电工况和抽水工况切换的过渡状态


发电工况及抽水工况


发电工况指抽水蓄能机组处于发电状态。当电力负荷出现高峰时,抽水蓄能机组运行在发电工况,向电力系统输送电能


抽水工况指抽水蓄能机组处于抽水状态。当电力负荷低谷时,抽水蓄能机组运行在抽水工况,消纳系统中多余的电能


发电调相工况与抽水调相工况的区别


转子转向不同:转子在发电方向下的转向与抽水方向下的相反。


保护配置不同:在发电和抽水两种不同的工况下,机组的电压、电流相序相反,因此一些与相位相序有关的保护需要分开配置,如负序过电流保护、相序保护、失磁保护和失步保护等。


使用频次不同:抽水调相工况作为机组抽水工况起动的一个过渡状态,十分常见。相较之下,发电调相工况仅在电网遭遇紧急情况时才会启用。


调相工况


调相工况指抽水蓄能机组处于调相状态,与系统进行无功功率的交换,以调节电网电压。根据机组运行在发电和抽水两种不同的模式可以进一步分为发电调相工况和抽水调相工况


调相工况下机组与电网交换的有功功率,机组输出的有功功率和电磁功率可近似为0。从而有      


图片


机组调相运行向量图


图片
图片


机组调相运行V形曲线


图片


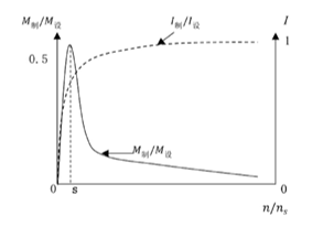
V形曲线的最低点对应状态1,此时定子电流为0,机组与电网并未交换无功功率。


V形曲线的右侧对应状态2,此时定子电流滞后电压90°,机组向电网输出感性无功功率。


V形曲线的左侧对应状态3,此时定子电流超前电压90°,机组向电网吸收感性无功功率。


调相原理可总结为:增加励磁电流机组输出的无功功率增加(吸收的无功功率减少);减小励磁电流输出的无功功率减少(吸收的无功功率增加)


图片


图片



抽蓄机组的起动

对于四机式和三机式的抽蓄机组,其内部负责抽水和负责发电的结构相对独立,不需要特殊的起动方法


对于二机式抽蓄机组,由于其使用同一套设备来实现抽水和发电的功能,起动方式十分复杂。因此下面将以二机式抽水蓄能机组为例来介绍抽水蓄能机组的起动方式。


起动电动机起动


起动电动机起动将专门的起动电动机与抽蓄机组相连接。起动时通过起动起动电动机来牵引抽蓄机组起动


起动电动机起动的接线简单,独立性高;起动电动机不仅可以在起动时提供动力矩,还可以在制动时提供阻力矩;起动电动机需架设在抽蓄机组之上,增加了厂房高度,导致投资增加。


异步起动


基本方法:在发电电动机的励磁绕组短接后,给定子绕组通电;在定子绕组产生磁场和转子绕组产生磁场的相互作用下,转子侧将产生异步转矩带动转子加速;


当转子转速达到同步转速时加上主励磁,将电机拉进同步。根据定子绕组所接电压大小可分为全压起动,降压起动和部分绕组起动,如下图所示:


图片


异步起动特点 


全压起动下定子绕组所接电压为电网电压,转子绕组所受异步转矩较大,响应快,耗时少。但在起动初期,起动电流过大,不利于机组和电网的安全运行,因此,全压起动仅适用于起动容量少的机组,并且要求尽可能减少起动时转子所受阻力。 


降压起动下定子绕组所接电压为降压后的电网电压。根据不同的降压原理可分为电抗器降压起动,起动变压器降压起动,主变抽头降压起动等。降压起动起动电流小,对机组和电网正常运行的影响较小,但起动转矩小,起动过程耗时长


部分绕组起动利用改接定子绕组来降低起动电压,可将其看作一种特殊的降压起动。与降压起动相类似,部分绕组起动起动电流较小,起动时间延长。


同步起动        


同步起动利用频率可变的电流来带动机组起动。根据可变电流来源不同可分为背靠背同步起动和静止变频器同步起动 。



背靠背同步起动


图片


背靠背同步起动的起动电流由另一台发电机提供。起动前,发电机与待起动机组需处于静止状态。起动时,待起动机组在起动电流的作用下逐渐增加至额定转速。当符合并网条件时,将待起动机组并入电网,并切断发电机。


背靠背同步起动的起动电流适用范围广,对电网冲击小;响应慢,耗时较长起动设备简单,但接线复杂。  


静止变频器同步起动


图片

静止变频器起动的起动电流由电力电子变频电路提供。起动时先闭合开关S和断路器CB2,接通主励磁回路,再闭合断路器CB1,产生频率逐渐上升的电流。在此电流的作用下机组不断加速,符合并网条件后并入电网,并切除变频装置。


静止变频器起动具有耗时短、 对系统冲击小、 起动成功率高等优点,是目前抽水蓄能机组的主流起动方式


半同步起动  


半同步起动结合了异步起动和同步起动的特点。半同步起动先起动发电机,为被起动机组提供电压。被起动机组在发电机提供的电压下异步起动,待被起动机组加速到与发电机转速相当时,闭合机组励磁回路,使其以同步起动方式加速到额定转速。


半同步起动的特点与背靠背起动的特点基本相同。但由于异步起动过程的存在,发电机在起动多台机组时无需回到静止状态,因而速动性较背靠背同步起动好


图片



抽蓄机组的制动

抽蓄机组从其他工况切换至静止工况时,由于转动部分的惯性较大,依靠机组本来配备的水力制动、风耗制动和轴承制动等机械制动方式难以使机组在短时间内停转,影响了机组的速动性。因而需要引入电气制动。


不同制动方法制动转矩对比


图片


结论:机械制动转矩随着转速下降而减少,而电气制动则相反。这说明了电气制动在低转速下能发挥更大的作用,印证了电气制动的有效性。



电气制动的缺陷

当转速过低时,磁通强度不足,难以在定子侧感应出电流,因此电气制动转矩会急剧下降至零。从而电气制动存在失效点


图片


如上图,当转速小于S时,随着转速降低,电气制动转矩急剧下降,因此S为对应失效点。S的计算公式如下:


图片


由上式可知,不能通过无限制地增加外接电阻来提高制动转矩,因为这样会导致电气制动会在高转速下失效



抽蓄机组的运行指标

由于抽蓄机组作为抽蓄电站的“心脏”,牵一发而动全身,因此有必要对抽蓄机组的运行状况进行评估。机组的运行指标分为可用率和起动成功率,下面分别对其进行介绍。


抽蓄机组由不同元件组合而成,故机组可用率可由元件可用率计算得到。下面先介绍元件可用率计算方法,再给出机组可用率计算公式。


元件可用率


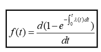
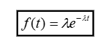
(1)故障率和故障密度函数


故障率λ(t):元件时刻t完好的条件下,在时刻t以后单位时间里发生故障的概率。


故障密度函数f(t) :元件发生故障的概率密度函数。


经推导可得到两者关系为

图片


特别地,当故障率λ(t)=λ为常数时,有


图片


(2)修复率和修复密度函数


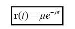
修复率μ(t):元件时刻t损坏的条件下,在时刻t以后单位时间里被修复的概率。

修复密度函数r(t) :元件发生故障被修复的概率密度函数


类似地,当修复率μ(t)=μ为常数时,两者有如下关系


图片


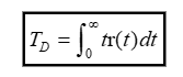
(3)平均无故障工作时间


平均无故障工作时间为故障密度函数的数学期望


图片


特别地,当故障率λ(t)=λ为常数时


图片


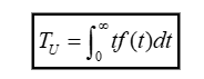
(4)平均修复时间


平均修复时间是元件修复密度函数的数学期望


图片


类似地,当修复率μ(t)=μ为常数时,两者有如下关系


图片


(5)平均运行时间


平均运行时间是平均故障时间和平均修复时间之和


图片


(6)元件可用率计算公式


由数理统计相关知识可知,元件可用率近似等于平均运行时间内平均无故障工作时间所占比例:


图片


特别地,当故障率和修复率均为常数时,有


图片



元件基本组合方式及其计算公式

串联组合方式 


如图所示,当组成元件中的任意一个变得不可用时,机组也会变得不可用。


图片


此时组合元件的计算公式为


图片


并联组合方式 


如图所示,当组成元件中的所有变得不可用时,机组才会变得不可用。


图片


此时组合元件的计算公式为

图片



起动成功率

起动成功率为一段时间内(如一月、一年等),机组起动成功次数与机组起动总次数的比值,计算公式如下:

图片
图片


起动成功率影响因素


起动因素。起动过程中静止变频器的信号传输链路受到外界因素干扰导致起动失败。 


调相压水因素。在机组起动初期需要调相压水,压水太过和压水不足都会导致起动失败。 


设计因素。随着运行状况不断变化,老式机组往往不能满足运行条件,导致起动失败。


可用率与起动成功率的关系


过度追求高可用率必然会压缩机组停运检修时间,造成导致起动成功率降低。因此需要平衡好可用率和起动成功率之间的关系,合理安排检修时间。


随着监测技术的不断进步,能够更有针对性地对机组进行检修,可以实现可用率和起动成功率的同步提高。


工况切换时间


工况切换时间是机组运行的重要指标。为了减少对电网的影响,工况切换时间要控制的尽量短。但过短的切换时间会对机组造成较大的冲击。


图片


图片



图片

国内典型应用案例



潘家口混合式抽水蓄能电站

电站简介


潘家口混合式抽水蓄能电站位于河北省迁西县境内,电站最大水头85.7m,最小水头36.0m


电站的上水库是一个多年调节水库,在蓄水发电的同时,还兼顾防洪和向天津和唐山两市供水的任务。下水库属于日调节水库


运行情况


电站的运行采用常蓄结合方式,以减少下游需水量对电站发电量的影响。


当下游需水量小于电站常规发电机组最低发电用水量时,可用抽水蓄能机组抽水补充常规机组的发电用水量。 


当下游需水量大于电站常规发电机组最大发电用水量时,多出的水量可用于电站的抽水蓄能机组发电



日本葛野川抽水蓄能电站

电站简介


葛野川抽水蓄能电站是由日本东京电力公司投资修建的纯抽水蓄能电站,位于日本山梨县。


上水库的库容为1120万立方米;下水库的库容为1150万立方米;上、下水库的调节库容均为830万立方米


电站设计的最大水头为728m,额定水头为714m


运行情况


葛野川抽水蓄能电站采用纯抽水蓄能方式,即在用电低谷时,将下水库的水抽到上水库;在用电高峰时,再将上水库的水放出至下水库来发电。


通过这种方式,可以削峰填谷,保证系统稳定运行。




图片

总结与展望


近年来,涌现出了一批新型抽水蓄能技术,其中,最具有代表性的是变速抽水蓄能技术和海水抽水蓄技术,它们一定程度上指明了抽水蓄能技术未来的发展方向。 


变速抽水蓄能机组具有自动跟踪电网频率变化和高速调节有功功率等优点。由于可变速机组可运行水头范围增大,可以降低上水库大坝高度,节省建设成本。 


海水抽水蓄能利用大海作为下水库,电站的建设对环境的影响较小。同时,利用大海作为下水库不仅能够节省下水库的建设费用,而且不受补水水量的限制,使得大型抽水蓄能电站选址较容易。

文章来源于网络,侵权请联系删除

全部回复(0 )

只看楼主 我来说两句抢沙发
这个家伙什么也没有留下。。。

水利工程设计

返回版块

28.26 万条内容 · 392 人订阅

猜你喜欢

阅读下一篇

抽水蓄能电站距高比(L/H 比 )如何理解?

对于抽水蓄能电站的站址,地形条件好是首要条件。衡量地形条件好坏的一个主要指标是距高比,即L/H值。NB/T 35009-2013 定义距高比:上水库进/出水口与下水库进/出水口之间的水平距离与电站平均毛水头的比值,即上 、下水库引水口之间水平距离与电站平均水头之比。其中H是毛水头、平均毛水头,L是两点投影折线距离。 即距高比距高比是指蓄能电站上、下水库水平距离与垂直高度的比值,该比值可大致说明抽水蓄能电站引水建筑物的相对长度。

回帖成功

经验值 +10