某工程位于河北唐山,结构形式为双坡门式钢架结构,坐东朝西,东西长度33米,南北跨度17米,屋面采用压型钢板金属屋面,坡度比5%,防水等级为二级。排水采用内天沟有组织排水,南北两侧设排水沟,由东向西排水,长度33米,中间不设雨水管。暂定选用3mm厚钢板矩形截面凹槽天沟,坡度为1‰,设计天沟断面尺寸及验算排水量是否满足要求?

一、排水沟截面选取
结合工程特点,选取截面尺寸为宽度450mm,高度250mm(设计积水深度170mm)的矩形截面天沟。
二、计算建筑屋面雨水流量
根据《室外排水设计标准》GB 50014-2006规范:
3.2.1采用推理公式法计算雨水设计流量,应按下式计算。当汇水面积超过2km2时,宜考虑降雨在时空分布的不均匀性和管网汇流过程,采用数学模型法计算雨水设计流量。

式中:Qs——雨水设计流量(L/s);
q——设计暴雨强度[L/(s·hm2)];
Ψ——径流系数;
F——汇水面积(hm2)。
注:当有允许排入雨水管道的生产废水排入雨水管道时,应将其水量计算在内。
3.2.2 应严格执行规划控制的综合径流系数,综合径流系数高于0.7的地区应采用渗透、调蓄等措施。
径流系数,可按本规范表3.2.2-1的规定取值,汇水面积的综合径流系数应按地面种类加权平均计算,可按表3.2.2-2的规定取值,并应核实地面种类的组成合比例。

3.2.2A 当地区整体改建时,对于相同的设计重现期,改建后的径流量不得超过原有径流量。
3.2.3设计暴雨强度,应按下式计算:

式中:q——设计暴雨强度[L/(s·hm2)];
t——降雨历时(min);
P——设计重现期(年);
A1,C,b,n——参数,根据统计方法进行计算确定。
具有20年以上自动雨量记录的地区,排水系统设计暴雨强度公式应采用年最大值法,并按本规范附录A的有关规定编制。
三、水利计算
4.2.1 排水管渠的流量,应按下式计算:

式中:Q——设计流量(m3/s);
A——水流有效断面面积(m2);
v——流速(m/s)。
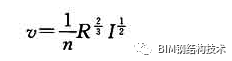
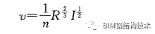
4.2.2 恒定流条件下排水管渠的流速,应按下式计算:

式中:v——流速(m/s);
R——水力半径(m);
I——水力坡降;
n——粗糙系数。
注:水力半径是水力学中的一个专有名称,指某输水断面的过流面积与水体接触的输水管道边长(即湿周)之比,与断面形状有关,常用于计算渠道隧道的输水能力。水力半径计算公式:R=A/χ。
4.2.3 排水管渠粗糙系数,宜按表4.2.3的规定取值。

四、计算分析:
q——设计暴雨强度:
P——设计重现期(年);
根据背景资料,查的唐山地区50年重现期降雨强度值为882L/s·hm2,
Ψ——径流系数:金属屋面的雨水径流系数可取1.0,
F——汇水面积:=33*8.5=280.5m2=0.02805hm2
Qs——雨水设计流量:=882*1*0.02805=24.74L/s
Az——天沟断面面积:=0.45*0.17=0.0765m2
n——粗糙系数:查的表4.2.3得0.012
R——水力半径:R= A / χ=0.0765/0.79=0.0968
I——水力坡降:0.001
u——天沟的水流速度:

u=1/0.012*(0.0968)2/3*(0.001)1/2=0.556m/s
天沟的排水能力=0.0765*0.556=0.04253m3/s=42.53L/s
结论:天沟排水能力为42.53L/s,大于天沟所负担的雨水量24.74L/s,因此天沟断面及排水量可以满足要求。
0人已收藏
0人已打赏
免费0人已点赞
分享
建筑给排水
返回版块47.29 万条内容 · 1370 人订阅
回帖成功
经验值 +10
全部回复(1 )
只看楼主 我来说两句 抢板凳1、《建筑给水排水设计标准》GB 50015-2019;
2、《建筑屋面雨水排水系统技术规程》CJJ 142-2014。
回复 举报