电流保护的主要优点是简单、经济及工作可靠。但是由于这种保护整定值的选择、保护范围以及灵敏系数等方面都直接受电网接线方式及系统运行方式的影响,所以,在35kV以上电压的复杂网络中,它们都很难满足选择性、灵敏性及快速切除故障的要求。为此,就必须采用性能更加完善的保护装置。距离保护就是适应这种要求的一种保护原理。
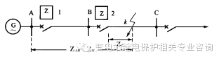
图2-5-1距离保护网络接线图
保护安装处母线电压与线路电流之比
,称为测量阻抗,故障时它反应了保护安装处至故障点的阻抗。将此测量阻抗与动作阻抗
进行比较,当
时,说明故障点在保护范围内,保护动作;当
时,说明故障点在保护范围外,保护不动作。
只与故障点k至保护安装处的距离成正比,基本不受系统运行方式的影响,所以距离保护的保护范围基本不随系统运行方式变化而变化。
(二)距离保护的阶段时限特性及整定
距离保护的动作时限t与测得的故障点与保护安装处的距离L的关系,即t=f(L)或t=f(Z)称为距离保护的时限特性。目前广泛应用的是三段式阶梯形时限特性,它具有3个保护范围及相应的三段延时
,如图2-5-2所示。距离保护第Ⅰ、Ⅱ、Ⅲ段(简称距离Ⅰ、Ⅱ、Ⅲ段)的整定计算与电流保护的第Ⅰ、Ⅱ、Ⅲ段相似,不同之处是距离Ⅰ段的保护范围不受系统运行方式变化的影响,其他两段受到的影响也比较小,故距离保护的保护范围比较稳定。
为保证选择性,瞬时动作的距离Ⅰ段的保护范围为被保护线路全长的80%~85%,动作时限为各继电器的固有动作时间,约0.ls以内,故认为是瞬时动作。距离Ⅱ段的保护范围为被保护线路的全长及下一线路的30%~40%,动作时限要与下一线路的距离Ⅰ段的动作时限配合,即
,为0.5s。距离Ⅲ段为后备保护,其保护范围较长,一般包括本线路及下一线路全长甚至更远,故距离Ⅲ段的动作时限应按阶梯原则整定,即
。如图2-5-2。

图2-5-2 三段式距离时限特性
由图2-5-2可以看出,当k点发生短路时,从保护2安装处到k点的距离为L2,保护2将以
的时间动作;从保护1安装处到k点的距离为L1,保护1将要以
的时间动作,
,保护2将动作于跳闸,切除故障,满足了选择性要求。由于距离保护从原理上保证了离故障点近的保护的动作时间总是小于离故障点远的保护的动作时间,故障总是由距故障点近的保护首先切除,因此它能在多电源的复杂网络中保证动作的选择性。
距离保护Ⅰ段的动作阻抗整定为:

距离保护Ⅱ段的动作阻抗整定为:
距离保护Ⅲ段的动作阻抗整定按躲过正常运行时的最小负荷阻抗来选择,动作时限应按阶梯特性原则整定。
距离保护Ⅰ段与Ⅱ段共同构成本线路的主保护,距离保护Ⅲ段除作为本身距离Ⅰ、Ⅱ段的后备保护外,还作为相邻线路保护装置和断路器拒动时的后备保护。
(三)阻抗继电器
阻抗继电器是距离保护的核心元件,其主要作用是测量短路点到保护安装地点之间的阻抗,并与整定阻抗值进行比较,以确定保护是否应该动作。阻抗继电器的类型主要有全阻抗继电器、方向阻抗继电器、偏移特性的阻抗继电器以及四边形阻抗继电器等。
1.全阻抗继电器
全阻抗继电器的特性是以继电器安装点为圆心,以整定阻抗
为半径所作的一个圆,如图2-5-3所示。当测量阻抗
位于圆内时继电器动作,即圆内为动作区,圆外为不动作区。当测量阻抗正好位于圆周上时,继电器刚好动作,对应于此时的阻抗就是继电器的起动阻抗。由于这种特性是以原点为圆心而作的圆,因此,不论加入继电器的电压和电流的夹角
为多大(由0?~180?之间变化),继电器的起动阻抗在数值上都等于整定阻抗。具有这种特性的继电器称为全阻抗继电器,它没有方向性。

图2-5-3 全阻抗继电器的动作特性图
2.方向阻抗继电器
方向阻抗继电器的特性是以整定阻抗
为直径而通过坐标原点的一个圆,如图2-5-4所示,圆内为动作区,圆外为不动作区。当加入继电器的短路电压和短路电流之间的相位差
为不同数值时,该继电器的起动阻抗也将随之改变。当
等于整定阻抗
的阻抗角时,继电器的起动阻抗达到最大,等于圆的直径,此时,阻抗继电器的保护范围最大,工作最灵敏,因此这个角度称为继电器的最大灵敏角。当保护范围内部发生故障时,
(为被保护线路的阻抗角),因此应该使继电器的最大灵敏角等于
,以便继电器工作在最灵敏的条件下。
当反方向发生短路时,测量阻抗
位于第三象限,继电器不能动作,因此它本身具有方向性,故称为方向阻抗继电器。
可用相位比较动作方程表示为:

(2-5-3)
图2-5-4 方向阻抗继电器动作特性图
3.偏移特性的阻抗继电器
偏移特性阻抗继电器的特性是当正方向的整定阻抗为
时,同时向反方向偏移一个
,其中
,继电器的动作特性如图2-5-5所示,圆内为动作区,圆外为不动作区。圆的直径为
,圆心的坐标为
,圆的半径为
。
可用相位比较动作方程表示为:

(2-5-4)
图2-5-5 具有偏移特性的阻抗继电器图
这种继电器的动作特性介于方向阻抗继电器和全阻抗继电器之间,当采用
时,即为方向阻抗继电器;当
时,则为全阻抗继电器,其起动阻抗
既与
有关,但又没有完全的方向性,一般称其为具有偏移特性的阻抗继电器。实用上通常采用
,以便消除方向阻抗继电器的死区。
下面,总结一下这三种阻抗的意义:
(1)测量阻抗
:由加入阻抗继电器的电压
与电流
的比值确定。
(2)整定阻抗
:一般取阻抗继电器安装点到保护范围末端的线路阻抗。
全阻抗继电器的
:圆的半径。
方向阻抗继电器的
:在最大灵敏角方向上圆的直径。
偏移特性阻抗继电器的
:在最大灵敏角方向上由原点到圆周的长度。
(3)起动阻抗(动作阻抗)
:它表示当继电器刚好动作时,加入继电器的电压
和电流
的比值。除全阻抗继电器以外,
随
的不同而改变。当
时,
,此时起动阻抗最大。
(四)阻抗继电器的接线方式
根据距离保护的工作原理,加入继电器的电压
和电流
应满足以下要求:
(1)继电器的测量阻抗正比于短路点到保护安装地点之间的距离;
(2)继电器的测量阻抗应与故障类型无关,也就是保护范围不随故障类型而变化。
为此,我们所采用的阻抗继电器常用接线方式主要有0°接线、相电压和具有k3I0补偿的相电流接线两种。
1. 相间阻抗继电器的0?接线方式 这是在距离保护中广泛采用的接线方式,当阻抗继电器加入的电压和电流为
和
时,称之为“0?接线”。继电器端子上所加电压和电流如表2-5-1所示。
表2-5-1 0?接线时阻抗继电器所加电压和电流

现根据这种相应的接线方式,对各种相间短路时继电器的测量阻抗分析如下:
1)三相短路
在三相短路时,三个继电器的测量阻抗均等于短路点到保护安装地点之间的阻抗,三个继电器均能动作。
2)两相短路
与三相短路时的测量阻抗相同,因此,KR1继电器也能动作。
在A-B两相短路的情况下,对继电器KR2和KR3而言,由于所加电压为非故障相间的电压 ,数值较
为高,而电流又只有一个故障相的电流,数值较
为小,因此其测量阻抗必然大于
的数值,也就是说它们不能正确地测量保护安装地点到短路点的阻抗,从而不能起动。
由此可见,在A-B两相短路时,只有KR1能准确地能够短路阻抗而动作。同理,分析B-C和C-A两相短路可知,相应地也只有KR2和KR3能准确的测量到短路点的阻抗而动作,这就是为什么要用三个阻抗继电器并分别接于不同相间的原因。
3)中性点直接接地电网中的两相接地短路保护能够正确动作。
2. 接地阻抗继电器的相电压和具有k3I0补偿的相电流接线方式
在中性点直接接地的电网中,当零序电流保护不能满足要求时,一般考虑采用接地距离保护,主要是用来正确反应这个电网中的接地短路。
反应接地故障阻抗继电器的测量阻抗为
(其中,
,为零序电流补偿系数) (2-5-5)
(五)影响距离保护正确动作的因素
阻抗继电器的测量阻抗时受很多因素影响的。主要有:
(1)短路点的过渡电阻;
(2)电力系统振荡;
(3)保护安装处与故障点之间有分支电路;
(4)TA、TV的误差;
(5)TV二次回路断线;
(6)串联补偿电容。
(六)距离保护的评价:距离保护灵敏度比电流保护高,距离Ⅰ段不受运行方式的影响,Ⅱ、Ⅲ段受运行方式影响小;在多电源的复杂网络中能保证选择性;距离Ⅰ段虽然是瞬时动作的,但是它只能保护线路全长的80%-85%,因此两端合起来就使得在30%-40%的线路长度内的故障,不能从两端瞬时切除,在一端须经过0.35~0.5s的延时才能切除,在220kV及以上的电网中,有时侯这不能满足电力系统稳定运行的要求,因而不能作为主保护来应用。距离保护一般用于110kV电网线路上作为主保护。
0人已收藏
0人已打赏
免费1人已点赞
分享
继电保护
返回版块7.33 万条内容 · 486 人订阅
阅读下一篇
继电保护原理及四性是什么?一、继电保护的原理 继电保护 主要是利用 电力系统 中 元件 发生短路或异常情况时的电气量(电流、电压、 功率 、频率等)的变化构成继电保护 动作 的 原理 ,还有其他的 物理量 ,如 变压器油箱 内 故障 时伴随产生的大量
回帖成功
经验值 +10
全部回复(0 )
只看楼主 我来说两句抢沙发