土木在线论坛 \ 建筑结构 \ 建筑加固 \ 浅谈结构稳定性

浅谈结构稳定性

发布于:2023-03-24 14:16:24 来自:建筑结构/建筑加固 [复制转发]

整体稳定 

结构在水平荷载作用下,会发生侧向变形,重力产生二阶效应。分为三个阶段:重力二阶效应较小,可以忽略,不考虑其对结构的影响;重力二阶效应较大,需要考虑其对结构的影响;重力二阶效应很大,需要校核结构是否满足整体稳定的要求。根据《高规》5.4节:

图片
图片

我们将规范公式用一个简单的图形进行表达:

非框架结构:

图片

框架结构:

图片

可以看到规范对框架结构、非框架结构“刚重比”的限值不同。这是由于两者在水平力作用下呈现出不同的变形特点,非框架结构往往较高、偏柔,变形呈现“弯曲”或“弯剪”状态,此时进行稳定验算可近似等效为竖向悬臂受弯构件,“刚重比”只需验算整体结构即可;框架结构往往较矮、偏刚,变形呈现出“剪切”状态,“刚重比”需要逐层进行验算。

 弯曲型、弯剪型结构 

将高度为H的结构等效为竖向悬臂受弯构件,将水平荷载等效为倒三角形分布荷载:

图片
图片

(推导详细可参见徐培福《复杂高层建筑结构设计》)程序计算刚重比采用等效侧向刚度,按倒三角形分布荷载作用下结构顶点位移相等的原则。

根据上述推导可得等效侧向刚度:

图片

对应《高规》5.4.1条文说明:

图片

《高规》5.4条文说明,结构按弹性分析的二阶效应对结构内力、位移增量控制在5%左右;考虑实际刚度折减50%时,结构内力增量控制在10%以内,重力二阶效应影响较小,可忽略不计。据此进行推导:

图片
图片
图片

当重力二阶效应,引起的附加弯矩小于10%时,可以不考虑二阶效应对结构整体稳定性的影响:

图片

以一个层高均为6m、6层(含1层地下室)的剪力墙结构模型,手算地震作用下的刚重比(YJK对于刚重比的计算不考虑地下室):

图片

G=5x(1.2x4629+1.4x648)=32310kN。

确定位移时,需要勾选上:

图片

刚重比的计算,程序取质心的位移。由于程序未直接输出质心处的位移,手动复核可以选择离质心最近的节点近似计算。为了更准确的还原计算过程,将对称模型中部布置交叉梁,实现质心在节点上。

图片
图片

wdisp.out文本中找到对应节点X向地震的顶点位移和地下室底板位移(需扣除地下室部分)

图片
图片

u=6.206-0.124=6.082

图片

剪力取地下室顶板剪力V=1524.27kN

V=qH/2

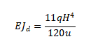
q=2V/H=2x1524.27/(5x6)=101.618kN/m

EJd=11x101.618x304/(120x6.082x10-3)=1.24x109kN/m

刚重比:EJd/H2G=1.24x109/302x32310=42.64

手核结果和程序输出基本一致:

图片

  剪切型 

对于剪切型结构,如典型的框架结构,则需要验算每一层的刚重比。框架结构在水平剪力作用下变形如下图:

图片

以第i层为例:

图片

剪切型结构i层受到剪力vi,层间产生ui的变形,层高为hi。

则有:

图片

以一个层高均为6m、5层的框架结构模型,来还原一下地震作用下第4层“刚重比”的计算:

图片

u4为第4层质心处的层间位移,程序并没有直接输出,采用与弯曲型相同的处理方式:模型对称布置,使质心在节点位置。

图片

然后通过三维位移中的两点位移得到第4层质心的层间位移:

图片

注:为了使读者看得更清楚模型采用了选择显示,只显示了中间一跨的构件。

则第4层的弹性等效侧向刚度:

D4=98.97/2.306x10-3=4.292x104kN/m

图片

G4+ G5=2(1.2x3999+1.4x648)=11412kN

则刚重比:

D4xh4/(G4+G5)= 4.292x104x6/11412=22.565

和程序输出结果基本一致:

图片

 框架柱屈曲 

对于结构稳定性,除了保证整体稳定之外,还应关注构件级别的稳定性。对于构件的失稳问题可以分为三类:分支点失稳(又称为平衡分岔失稳)、极值点失稳、跃越失稳。

分支点失稳是理想化的情况,即达到某种荷载时,除结构原来的平衡状态存在外,还可能出现第二个平衡状态,又称为平衡分岔失稳,在YJK 软件中的屈曲分析是解决线性屈曲问题,属于分支点失稳。

以下以一个示例模型用盈建科软件对跃层柱进行屈曲分析:

箭头处为1~4层跃层柱。

图片
图片

在变形图屈曲菜单下,第1、2阶分别为跃层柱沿2个方向弯曲变形占主导的模态(wmass.out文件也对应输出屈曲因子)。

图片
图片

查看构件信息:

图片

1.0恒+0.5活组合下跃层柱轴力为987.9+0.5*769.7=1372.75

则跃层柱的临界力:

Pcr=1372.75x5.038=6915.9kN

注:对于某些较刚的跃层柱,前几阶屈曲无法激发跃层柱的变形。则需要人为在分析柱上施加自定义荷载,然后进行自定荷载下的屈曲分析。

图片
图片

计算跃层柱的临界力和1.0恒+0.5活类似。

  剪力墙稳定 

当剪力墙截面较小或楼层层高较大时,剪力墙可能发生失稳破坏,《高规》附录D对剪力墙的稳定做了相关要求。

在实际工程中,T型、L型、槽型由于墙肢计算长度系数较小,基本不会出现稳定不满足的情况,较多情况是一字墙的稳定性不够。以某工程中的一字墙为例,进行剪力墙稳定性手核:

图片

轴力设计值,可查看构件信息:

图片

轴力设计值=1.3x(-6808.9)+1.5x(-703.2)=-9906.37kN

根据《高规》D.0.4

图片
图片

手核结果和程序输出结果基本一致。

知识点:浅谈结构稳定性

浅谈钢结构稳定性设计

  • 阿巅2019
    阿巅2019 沙发

    谢谢楼主了,需要学习加固后锚固

    2023-05-15 13:52:15

    回复 举报
    赞同0
这个家伙什么也没有留下。。。

建筑加固

返回版块

1.66 万条内容 · 381 人订阅

猜你喜欢

阅读下一篇

隔震结构常见问题

一、基底隔震和地下室顶板隔震结构为什么可以不考虑周期折减? 解答: 主要是隔震结构与传统的抗震结构振动形态完全不一样,对于基底隔震和地下室顶板隔震结构,由于隔震层的存在,隔震结构在地震作用下的变形形态主要是以隔震层的变形为主,而隔震层以上结构则近似刚体的平动。从各振型的有效质量参与系数来看,隔震结构前三阶周期的有效质量参与系数一般都接近95%以上,高阶振型贡献的有效质量参与系数是非常微小的,对结构的影响可以忽略不计。隔震层以上楼层的隔墙只影响高阶振型,所以对于基底隔震结构或地下室顶板隔震结构可以不考虑周期折减。

回帖成功

经验值 +10