土木在线论坛 \ 建筑结构 \ 盈建科 \ 基础沉降计算

基础沉降计算

发布于:2023-03-24 14:06:24 来自:建筑结构/盈建科 [复制转发]

—  原理推导  —

用户经常询问我们,为什么盈建科采用附加应力计算沉降,而不是直接采用规范公式中的平均附加应力系数。实际上,二者是等价的。这里做一下原理推导:

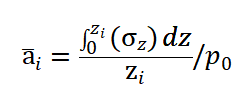
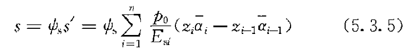
地基规范5.3.5给出了土最终变形量的计算公式,其中用到平均附加应力系数图片

图片
图片

1— 天然地面标高;2—基底标高;3—平均附加应力σ曲线;4—i-1层;5—i层

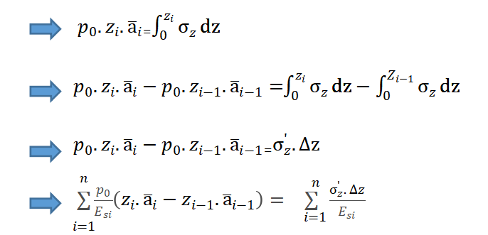
如上图所示,附加应力图片沿深度方向的积分结果,即图中阴影面积,除计算深度图片即得到平均附加应力图片,再除基底附加压力图片即得到平均附加应力系数图片

图片
图片

通过上面推导过程,等式左边就是地基规范5.3.5条分层总和法单层计算公式,右边即是附加应力计算土层变形量计算公式,两边是等价的。软件采用右边公式计算平板基础土的压缩量。

—  算例  —

通过一个示例来验证一下:

图片

左上角柱下独基,软件计算之后输出其构件信息和沉降验算信息:

图片
图片

根据地基规范附录k,角点法求得各层的附加平均应力:

图片

以上,软件计算各层压缩量和规范算法结果一致。

—  总结  —

软件采用各层附加应力值计算各层变形值,相对于地基规范查表求得平均附加应力系数曲线计算,两者的过程虽有不同,但是原理是相同的,结果也一致。

知识点:基础沉降计算

基础沉降计算基础沉降计算

全部回复(2 )

只看楼主 我来说两句抢地板
  • songliangt1
    songliangt1 沙发

    非常好

    2023-03-25 10:02:25

    回复 举报
    赞同0
  • xiaozhihong110

    谢谢楼主,学习一下,好久没接触这东东了

    2023-03-24 15:19:24

    回复 举报
    赞同0
这个家伙什么也没有留下。。。

盈建科

返回版块

6320 条内容 · 207 人订阅

猜你喜欢

阅读下一篇

YJK弹塑性时程分析计算中断后如何查看计算结果

?  + + 场景一  YJK-EP模块如何将两台机器计算的不同波的结果合并

回帖成功

经验值 +10