土木在线论坛 \ 建筑结构 \ 地基基础 \ 筏板中单柱独立基础剪力设计值的计算

筏板中单柱独立基础剪力设计值的计算

发布于:2023-03-24 11:39:24 来自:建筑结构/地基基础 [复制转发]

   计算原则   

我们首先看一下规范上对独立基础剪力设计值是如何规定的,《地规》8.2.9条,对于规范算法,独立基础的剪力设计值是阴影面积与基底平均净反力的乘积,即:

Vs=Pj*A阴                 (1-1)

Pj——阴影面积上基底平均净反力(压力)(kpa);

A——计算截面到对应基础边缘的面积(m2)。

图片

这是针对刚体基础的,对于有限元基础应该如何计算呢?刚体基础与有限元基础都采用《地规》8.2.9条公式验算剪力设计值,区别是:刚体基础基础自重、覆土重、板面荷载与地基反力就地平衡,所以采用基底净反力计算剪力设计值,即公式(1-1);有限元基础不能就地平衡,所以采用基底总反力计算剪力设计值,最后再扣除基础自重、覆土重、板面荷载所产生的剪力,公式如下:

Vs=P*A -VG              (1-2)

P——阴影面积上基底平均反力(压力),包括自重、覆土重、板面荷载产生的基底压力(kpa);

VG——础自重、覆土重、板面荷载在计算截面上产生的剪力设计值(kN)。

有限元基础如果勾选了高级参数中“柱(墙)均在构件轮廓内的多柱(墙)承台、独基按规范方法计算”,对独立存在的、没有筏板连接的多柱(墙)独基,仍按刚体基础计算,即通过基底净反力求解剪力设计值。需要注意的是,此参数只对不在筏板内以及不与地基梁连的基础有效;对于筏板内及与地基梁连的独立基础,这个参数不起作用,仍是有限元基础,按基底总反力求剪力设计值。

图片

    算例    

以下工程为例(基础形式是筏板+独立基础+承台+桩),求解筏板中单柱独立基础剪力设计值。独立基础构件信息如下:

独立基础的尺寸是3600mmx3600mmx1550mm(宽x高x厚),柱子尺寸是700mmx700mm,保护层厚度40mm,有效高度1500mm。板面均布恒荷载5kN/m2,覆土重为0。

图片
图片
图片

1.验算是否需要剪切计算

图片
图片

对于一阶独立基础,计算截面在柱边。以计算截面法向x-为例,计算截面到对应基础边缘距离是Dist,则Dist/h0=(3.6-0.7)/1.5=0.97<1需要受剪验算,与构件信息一致。

控制工况是30工况:1.3恒+1.5活+0.9Y风,下面考察30工况下的剪力设计如何计算。

2.剪力设计值的计算(计算截面x+方向)

(1) 阴影区域总剪力Vs’

读取出30工况下基底压力,如下图。

图片

计算截面x+方向,是指计算截面在柱右边缘(下图红色线处),其法线方向是x轴正向。阴影面积A如下图粉色框内填充区域。蓝色线为基础中线。基础一半面积上有8个单元,单元编号如下图。

图片

计算截面、阴影面积示意图  

图片

独立基础一半面积及其单元编号示意图 

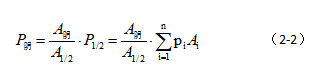
独立基础一半面积(A1/2)上的基底压力P1/2

图片

P1/2——独立基础一半面积上基底压力(kN);

pi——单元基底压力(kPa);

A1/2——基础一半面积(m2);

Ai——单元面积(mm2);

i——单元编号。

阴影面积上的基底压力:

图片

P——阴影面积上的基底压力(kN)。

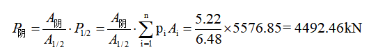
按公式(2-1)将一半面积上的单元基底压力、单元尺寸、单元基底压力统计到表1中。得到一半面积上总压力P1/2=5576.85kN,基础一半面积为A1/2=3.6x3.6/2=6.48m2,阴影区域面积A=3.6x(3.6-0.7)/2=5.22m2,按公式(2-2)得到:

图片

即阴影区域总剪力设计值Vs’=P=4492.46kN。

图片

(2) 基础自重、板面荷载产生的剪力设计值VG

图片

独立基础上的板面荷载、自重如上示意图,独基3600x3600x1550(宽x高x厚,单位mm),柱700x700(mmxmm),dist=(3600-700)/2=1450mm=1.45m,则计算截面上的剪力:

阴影区自重产生的剪力标准值Gk=25x1.45x1.55x3.6=202.275 kN

板面恒载产生的剪力标准值Gqk=5x1.45x3.6=26.1 kN

30工况(1.3恒+1.5活+0.9Y风)下,恒载分项系数是1.3,故基础自重、板面荷载产生的剪力设计值VG=1.3x(202.275+26.1)=296.89 kN。

(3) 扣除自重、板面恒载的剪力设计值VS

将上述所求的阴影区域总剪力设计值Vs’扣除自重、板面恒载产生的剪力设计值VG,即:VS=Vs’-VG=4492.46-296.89=4195.57 kN与构件信息中4145.9kN一致。

图片

3.其余三个方向计算截面剪力设计值

(1) x-方向计算截面的剪力设计值

控制工况下基底压力、剪力设计求解过程及软件构件信息如下图表。

图片
图片
图片

(2) y+方向计算截面的剪力设计值

控制工况下基底压力、剪力设计求解过程及软件构件信息如下图表。

图片
图片
图片

(3) y-方向计算截面上的剪力设计值

控制工况下基底压力、剪力设计求解过程及软件构件信息如下图表。

图片
图片
图片

        结论       

(1)独立基础剪力设计值与基底压力有关,剪力设计值等于计算截面对应的阴影面积与基底反力(压力)的乘积,其中刚体基础采用基底净反力求解剪力设计值;有限元基础采用基底总反力求解剪力设计值,再扣除自重、覆土重、板面荷载所产生的剪力;

(2)高级参数中勾选了“柱(墙)均在构件轮廓内的多柱(墙)承台、独基按规范方法计算”,有限元独立基础(在筏板中及与地基梁连的除外)按规范算法,即基底净反力求解剪力设计值;筏板中及与地基梁连的独立基础不能采用规范算法。

(3)扣除自重、覆土重、板面荷载产生的剪力设计值时,需要考虑分项系数。

知识点:筏板中单柱独立基础剪力设计值的计算

独立基础+筏板基础

全部回复(0 )

只看楼主 我来说两句抢沙发
这个家伙什么也没有留下。。。

地基基础

返回版块

12.11 万条内容 · 717 人订阅

猜你喜欢

阅读下一篇

地基梁配筋计算若干问题

设计地基梁时,为何地基梁计算出来的箍筋面积加密区和非加密区是一样的呢?更有趣的是,在一根地基梁上增加节点把梁打断,算出来的箍筋面积为什么会有一些变化?如下图所示,第1张图显示的是地基梁中间无节点的配筋结果,箍筋面积Asv=0.92cm2;第2张图是增加节点打断后的配筋结果,上、下两段地基梁的箍筋面积分别为0.85 cm2和0.92 cm2。这些问题应该怎么理解?这次来聊聊地基梁配筋计算的几个问题。

回帖成功

经验值 +10