土木在线论坛 \ 建筑结构 \ 盈建科 \ YJK中的竖向地震的计算

YJK中的竖向地震的计算

发布于:2023-03-24 10:34:24 来自:建筑结构/盈建科 [复制转发]

YJK中关于竖向地震的计算方法,有四个选项:

图片

这四个选项包含两种计算方法:简化方法、反应谱法。其中反应谱法又可以分为水平和竖向地震整体求解、水平和竖向地震独立求解、水平和竖向地震独立求解(局部模型)三种不同的方式。


本篇简要介绍一下这几种方法以及在YJK中的具体实现。


规范简化方法

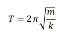
竖向地震的简化方法本质就是底部剪力法,将多质点体系等效为单质点系。假设地震作用下地面运动加速度a,结构动力响应2.25。根据牛顿第二定律,结构所受到的惯性力即地震力为:


图片

2.25a/g就是地震影响系数最大值。如:6度区多遇地震下的加速度时程最大值为18cm/s2,地震影响系数最大值 :

图片

注:结构实际受到的地震力和场地类别、设计地震分组、阻尼比等有关,地震影响系数应根据反应谱曲线和相关规范条文确定。

下面以一个YJK实例模型来手算简化方法下的竖向地震力,实例模型设防烈度9(0.4g),水平地震影响系数最大值0.32。

图片

αvmax=0.65x0.32=0.208

Geq=1110.688x10x0.75=8330.16kN(重力荷载代表值来源wmass.out)

图片

FEvkvmaxGeq=0.208x8330.16=1732.67kN

图片
图片

程序结果与手核结果基本一致:

图片

反应谱法

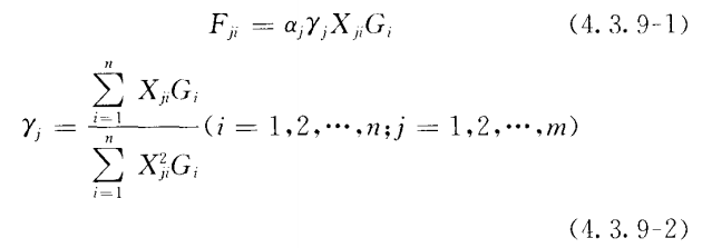
振型分解反应谱法,公式看似比较复杂。但原理依然是牛顿第二定律。

F=αG

由于反应谱是由单质点得到的。对于多质点体系,在看做广义单自由度体系基础上,乘以一个折减系数。γjXji无量纲,可以看作是对应的折减系数。

图片

水平和竖向整体求解

此方法是将水平地震和竖向地震整体求解算出。这种算法需要计算的振型个数较多,有时不得不采用RITZ 向量法计算。

我们用一个常规的33层的剪力墙结构来大概说明一下此方法的局限性。下图为实例模型采用水平和竖向独立求解计算的周期。

图片

结构水平周期为2.8414,竖向周期0.2349。水平周期是竖向周期的12倍左右,根据单质点周期公式:

图片

竖向刚度约为侧向刚度的144倍,可见结构的竖向刚度和水平刚度并不是一个数量级。结构振动时总是会往更“弱”的地方去振动。对于刚度较大的竖直方向很难出现振动,或者说即使出现振动,振型的参与系数也会很小。如下图采用水平和竖向地震整体求解的模型计算结果:

图片

前15阶振型竖向振型参与质量系数只有9%左右。要满足规范90%的参与系数,可能就需要很多的振型个数,或者更换特征值分析类型。(此模型采用WYD-RITZ法算了将近200个振型,Z向平动才达到90%)

水平和竖向独立求解

针对整体求解的局限性,程序的第二种方法是把水平地震作用的计算与竖向地震作用计算分别进行,也就是说对竖向地震单独求解,以求得比较大的竖向地震作用的质量参与系数。

实例模型选择水平和竖向独立求解之后,前15阶振型竖向振型参与质量系数就达到87%。

图片


水平和竖向独立求解

(局部模型)

前面我们大致解释了水平和竖向整体求解需要较多振型数的原因,但大量的算例表明即使采用了水平和竖向地震独立求解,振型参与质量系数仍难以达到90%的规范要求。区别于水平地震作用,结构中不同位置由于刚度不同对竖向地震的敏感程度往往差异较大,而竖向地震作用经常集中在一处或几处薄弱部位,导致大跨度、长悬臂等真正需要关注竖向地震效应的部位计算不充分。为此,软件增加了第三种方法“水平和竖向地震独立求解(局部模型)”的选项,先手工指定需考虑竖向地震作用的部位,则软件仅针对该部位考虑节点Z向质量并计算,便于计算满足要求的竖向地震质量参与系数,避免竖向地震内力调整系数过大,保证竖向地震的正常计算结果。

下图实例模型,有一个跨度较大的屋架。

图片

采用水平和竖向地震独立求解,80个振型,竖向振型参与质量系数只有27.21%。

图片

为了满足竖向地震底线值的要求,杆件的竖向地震放大系数最大达到了33.2。显然考虑竖向地震后,杆件的内力明显放大过多。

图片

按照水平和竖向独立求解(局部模型),单独定义大屋面部位为“竖向地震”构件。

图片
图片

43个振型就使振型参与质量系数达到90%以上,满足竖向地震底线值的要求,考虑竖向地震的计算结果正常。

图片

竖向地震调整

竖向地震和水平地震类似,规范也规定了关于竖向地震大小的限值:

图片

在计算参数—高级参数—整体指标中,关于竖向地震的调整有两个选项:进行竖向地震底线值调整、竖向地震直接按底线值计算。

图片

底线值调整

勾选“进行竖向地震底线值调整”,程序直接按照高规表4.3.15进行调整,调整方式类似于水平地震剪重比的调整。

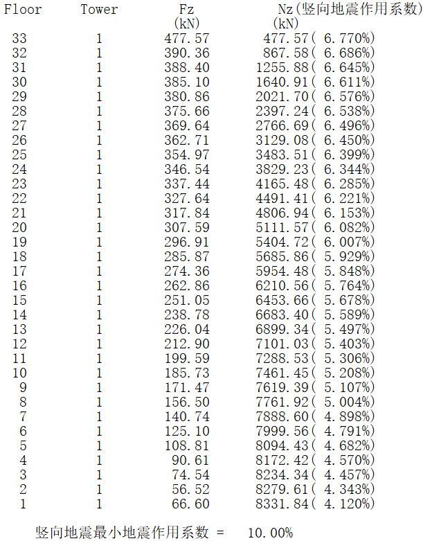
实例模型设防烈度8度0.20g,竖向地震作用系数0.1,选择进行竖向地震底线值调整,调整不满足的楼层则:

图片

第1自然层放大系数=0.1/0.0412=2.427

第2自然层放大系数=0.1/0.04343=2.303

第3自然层放大系数=0.1/0.04457=2.244

…………………….

第31自然层放大系数=0.1/0.06645=1.505

第32自然层放大系数=0.1/0.06686=1.496

第33自然层放大系数=0.1/0.06770=1.477

程序输出结果与手核一致:

图片

底线值计算

对于一些大跨度结构,可以采用竖向地震直接按底线值计算。勾选此参数后,程序将忽略有限元计算的竖向地震内力,直接用重力荷载代表值乘以底线值作为竖向地震的轴力。例如某柱重力荷载代表值轴力为1362.4,底线值为0.2,则调整后的竖向地震轴力为1362.4x0.2=272.48。

图片
图片

知识点:YJK中的竖向地震的计算

竖向地震!!模拟竖向地震的方法

全部回复(0 )

只看楼主 我来说两句抢沙发
这个家伙什么也没有留下。。。

盈建科

返回版块

6320 条内容 · 207 人订阅

猜你喜欢

阅读下一篇

YJK中的规定水平力统计

 规定水平力的概念 《建筑抗震设计规范》、《高层建筑混凝土结构设计规范》中关于位移比的计算、框剪结构中框架倾覆弯矩统计、短肢墙倾覆弯矩统计及采用弹塑性静力法进行性能化设计时,均提出了要按规定水平力计算。

回帖成功

经验值 +10