本文针对建筑给排水-临时用水进行讲解,主要讲解施工现场临时用水布置需要注意的特点、计算方法(含公式)。
施工现场临时供水主要包括给水和排水系统。给水系统主要考虑施工用水和消防用水;排水系统主要包括现场生产排水、雨水系统和污水系统。
01 临时供水
1.1 编制依据
1)《建筑设计防火规范》(GB50016-2014),自2015年5月1日起实施;原版本是 2006年的。
2)《建筑给水排水设计手册》(第二版)
3)《建设工程施工现场消防安全技术规范》(GB50720-2011)
4)《建筑施工计算手册》(第二版)
1.2 相关计算
根据中国建筑工业出版社出版的《建筑施工手册》第五版(原来是第四版),
1) 现场总体临时供水量及管径计算
a. 工程用水量q1
采用公式q1 = K1∑Q1N1K2/(8×3600)计算,一般取用水量最大的地下室楼板混凝土浇注阶段进行计算。
K1—未预计的施工用水系数,取1.10;
Q1—每班计划完成工程量,按每班浇筑1000m3混凝土;
N1—施工用水定额,混凝土采用预拌混凝土,仅考虑混凝土自然养护,耗水量取200L;
K2—现场施工用水不均衡系数,取1.5。
b. 工地生活用水量q2
采用公式q2 = P1N3K4/(b×8×3600)计算。
其中 q2--工地生活用水量(L/s);
P1--施工现场内高峰期生活人数,取1500;
N3--施工工地生活用水定额,取60L/人;
K4--施工工地生活用水不均匀系数,取1.3;b---每天工作班数,取1。
c. 消防用水量q3
本工程q3=q31+ q32
Q31—室外消防用水量,取20L/S ;
Q32—室内消防用水量,取15L/S。
d. 施工现场总用水量Q计算
Q = q3与 q1 +q2中的大值,一般为q3=35L/s。
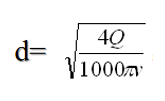
2) 环网管径选择

其中Q取消防用水量与生活生产用水量之间的较大值q3=35L/s;一般生活及施工用水流速v取1.5 m/s,消防用水取2.5 m/s;施工现场一般配置DN150mm的主管道可满足要求。
3) 临时用水水泵选择:
水泵扬程:
计算公式:H=(H1+H2+H3 )x1.1
流量Q=10L/s=36m3/h (F1以上消防用水量均取为10L/s)
H1最不利端消火栓至泵房地面高度(水柱);
H2水枪喷射水压(水柱),根据设计规范取25水柱;
H3管路损失压头(水柱);其中H3:
H3=h1+h2=h1+0.2h1=1.2iL
h1—沿程水头损失(水柱);
h2—局部水头损失(水柱),取沿程水头损失20%
i—单位管长水头损失,查表i取0.0269;
L—计算管段的长度(m)
通过上述公式计算出水泵的扬程以确定水泵的型号。

举例:施工用水量(可供参考)

02 临时排水
1、室内排水:主要指施工现场的卫生间设置及施工用水点处设置集水槽等。
2、室外排水:主要包括工地周边采用明沟排水及化粪池设置等。
室外明沟一般采用300mmX300mm(宽X深)。(一般铁锹宽略小于300mm,方便明沟清理)
3、室外雨水:主要利用地下室结构将雨水汇集到地下室集水井内,然后使用大流量水泵将水统一排至室外排水明沟。
说明:工地内食堂废水排出场地外前需经过隔油池;工地内卫生间废水排出场地外前需经过化粪池;工地内污水、雨水排出场地外前需经过三级沉淀池。
内容源于网络,旨在分享,如有侵权,请联系删除
相关资料推荐:
https://ziliao.co188.com/s222214.html
知识点:临时用水布置要点与计算方法讲解
0人已收藏
0人已打赏
免费3人已点赞
分享
建筑给排水
返回版块47.29 万条内容 · 1372 人订阅
阅读下一篇
泳池水处理三种循环方式的对比泳池水处理循环方式主要有顺流式、逆流式、混流式三种方式,今天机电人脉和大家简单分享一下三种形式的原理、适用场合及优缺点。 01 顺流式 1、基本原理 泳池的全部循环水,经由设置在池端部或侧壁水面以下的给水口送入池内,再由设在池底的回水口取回,进行水处理后再送回池内继续使用的水流组织方式。 2、适用场合 季节性室外游泳池、水上游乐池。 3、优缺点分析
回帖成功
经验值 +10
全部回复(1 )
只看楼主 我来说两句 抢板凳学习了,谢谢分享
回复 举报