第一章 结构防火设计简介
结构防火分两部分介绍,这是第一篇,主要说防火规范相关内容,后面着重谈谈钢结构。
建筑防火在结构设计者的印象里是建筑师和设备师的工作,所以很多人对基本的防火概念不熟悉,也懒得去了解。但随着《建筑钢结构防火技术规范GB 51249-2017》的发布,一下给结构设计者致命连击,“这是啥?我是谁?怎么搞?”规范倒逼着结构工程师去学习所谓新知识、掌握新技能。
其实建筑防火要求历来都有,结构工程师不重视罢了。最常用的《建筑防火设计规范GB50016-2014(2018年版)》,相关的还有《建筑防排烟系统技术标准 GB51251-2017》,《建筑钢结构防火技术规范GB 51249-2017》也颁布近三年了。因为笔者负责主持过一些项目,也参与建筑方案确定,对几本规范常接触、不算陌生,我就结合工作中遇到过的问题,试对其中与结构设计相关的条文谈谈个人经验。
一、《建规》
建规是《建筑防火设计规范》的简称,这是了解相关要求的第一步。
《建规》里主要规定建筑防火的基本要求,顺序是:类别定性和确定耐火等级——整体布局和基本要求——构件耐火时限、配套消防设施要求等等。和结构专业主要相关的是“构件的耐火时限”要求,构件的耐火时限决定了整体建筑的耐火等级,可以用短板效应来帮助理解,这些内容主要在3.2节和5..1节、第6章。

1、构件耐火时限:根据构件所在位置确定耐火时限,混凝土构件大部分都能满足其要求,不必进行计算,这点可以参考附录中构件耐火时限来对比,注意两点。
1)要明晰防火墙和防火隔墙的区别,防火墙下要有基础或梁构件承重,主要为了保证其耐火时限要求,可以用达到同等耐火时限的厚板。轻钢建筑防火分区的屋面设计中,按要求防火墙要出建筑屋面,亦可以在屋面内部采用防火板保护实现防火分区要求,范围应大于防火内墙两侧各2米(这点基于个人理解)。

2)在某些审图意见中,要求楼梯平台短柱满足受力结构柱的耐火时限要求,一级耐火构件,结构受力柱3.0h,楼梯间墙体2.0h,楼梯板1.5h,此时平台梯柱的耐火时限可按墙2.0h的要求确定,正所谓皮之不存毛将焉附!结构柱指主要竖向受力构件,火灾发生时不能倒塌;楼梯构件是消防疏散救援用的,功能不同、要求不同。一般200*300即可,如按结构柱3.0h要求后截面变为200*500或300*300,造成建筑开门开洞困难或者墙体加厚、有效面积降低。这源于结构审查人员对于规范的过度解读。

2、有些工程设置室外钢制消防楼梯,常选用J401图集,但根据构件耐火要求,未进行防火保护的钢构件不能满足耐火时限要求,这点在下篇文章里再谈。

3、注意专业配合,消防系统、防排烟系统均会增加吊挂荷载。尤其是轻钢结构中的消防水系统可能会集中布置管道,暖通管道有时会有集中推力。根据《非结构构件抗震设计规范》要求,支吊架等要进行抗震设计,目前没有明确说法具体哪个专业执行,我感觉结构还是难逃一死。
二、《防排烟标准》
1、标准于2017年8月1日实施,17年到18年因为工程审查和设计不同步,一个朋友的单位多个公建都进行了大范围的修改。中庭的防排烟可能涉及到顶盖开洞,机械机房也要设置在屋面上,所以一定要在方案阶段就做好专业协调,尽量做自然排烟。
2、多层公建的内走廊和大房间有排烟要求,常采用自然排烟,相应有清晰高度(人活动高度)、储烟仓厚度(烟的集中区)、储烟仓内的排烟口面积的要求。对结构专业来说,就是严格控制梁高,保证排烟口高度。
三、防爆和泄压
主要涉及到《建规》和《锅炉房设计标准》,可能还有加油站、燃气等专业规范。
1、建规对于抗爆要求没有细化,仅仅是提到要采用实体墙,具体做法要参考石化规范中抗爆墙设计,一般采用配筋砖墙或者混凝土墙,此时要注意刚性墙体和柔性结构体系的协调,如避开框架布置、上下端铰接等。
2、常有种误解,以为泄压就要抗爆,我院的专业热能设计团队若干年来除了部分甲类厂房做过抗爆设计,锅炉房都没有做过结构抗爆。泄压是对有爆炸危险厂房的要求,防爆区段不必做抗爆墙分隔。泄压的门窗、墙板或屋面板重量不大于60kg/m2,轻质板既要宜破坏、还要不能粉碎飞溅,也是挺难的(寒冷地区有积雪,屋面泄爆难度大)。


第二章 结构防火设计中篇
来源:nvslch结构空间,作者:nvslch
结构防火分三部分介绍,这是第二篇,主要说钢结构防火相关内容,下篇内容见底部介绍。
接上篇:对于忽如其来的钢结构防火设计,很多结构设计者对其是一头雾水,最常提的问题是:“哪个软件能算钢结构防火?”
某些标题党的文章,“干货来了、一文读懂、一图看懂XXX”,我真做不来。
以下我根据自己的理解,对如何入手钢结构防火计算作介绍,因为一知半解的缘故,介绍可能是极其片面、甚至错误百出的,如果做不到“以吾昏昏,使君昭昭”,也尽量抛砖引玉,给大家个解困的思路。
四、钢结构防火规范
其实这本规范不如叫做“钢结构耐火设计规范”简单明确、好理解。规范的核心根本就不是防火,而是要计算在火灾发生时,特定时限内构件不能失效。

钢结构非常怕火,如果在无保护状态下15分钟就接近500℃,接近丧失承载能力,20分钟后到了600℃,不成样子了。具体我不展开,教材上说的都比我好,所以干脆点,要想满足耐火要求,大部分钢构件需进行防火保护。

1、总的要求
1)耐火等级和耐火时限
上篇文章业已说明,建筑耐火等级根据建筑使用性质由建筑专业确定,耐火时限也可以让建筑专业给出。下面我根据常见的工业厂房给出个主要构件的耐火时限表格,供参考。
工业厂房常见构件耐火时限要求(单位h)
构件名称 |
建筑防火等级 |
|||
一级 |
二级 |
三级 |
四级 |
|
防火墙 |
3.00 |
3.00 |
3.00 |
3.00 |
楼梯间和前室的墙 |
2.00 |
2.00 |
1.50 |
1.50 |
柱、柱撑 |
3.00 |
2.50 |
2.00 |
0.50 |
梁 |
2.00 |
1.50 |
1.00 |
0.50 |
楼板 |
1.50 |
1.00 |
0.75 |
0.50 |
屋面撑、系杆 |
1.50 |
1.00 |
0.50 |
—— |
上人屋面 |
1.50 |
1.00 |
—— |
—— |
室内楼梯 |
1.50 |
1.00 |
0.75 |
—— |
室外楼梯 |
平台1.00,梯段0.25 |
|||
补充:
A、个人认为构件重叠时,应采用较高要求确定耐火时限。如:防火墙的承重柱,耐火时限不低于防火墙。
B、四级构件几乎不存在,大部分为一级和二级厂房,在面积不大,火险要求较低的情况下,可与建筑专业沟通,是否能降级减小压力。
C、屋面起系杆及稳定作用的檩条同支撑系杆要求。
2)必要图纸的说明
规范3.1.4明确要求,“钢结构的防火设计文件应注明建筑的耐火等级、构件的设计耐火极限、构件的防火保护措施、防火材料的性能要求及设计指标”。所谓“防火设计文件”指图纸及计算书,因为防火材料可能会随着耐久性问题而更换,必须在图纸上对其做法有所体现。
3)防火保护措施
规范的4.1.2条,防火保护有几个方法或复合使用:a、喷涂(涂抹)防火涂料;b、包覆防火板;c、包覆柔性毡状隔热材料;d、外包混凝土、金属网砂浆后砌筑砌体。最常见的是方法a、b。
涂料保护又分非膨胀涂料和膨胀涂料,因为耐候性的原因一般室外宜采用非膨胀涂料或者环氧类膨胀涂料。涂料也不是万能的,在特定构件上,例如柔性支撑截面极小,附着厚型涂料不可能,用超薄涂料因用料少,膨胀效果也差,故宜采用柔性毡状隔热材料。室内装饰要求高的宜采用包覆防火板材,但应注意连接件不能早于主体构件失效。外包混凝土或砂浆砌体等操作相对复杂,实用较少。

2、设计方法
规范3.2.3条说了两类方法,一是基于整体结构的方法,二是基于构件耐火验算的方法。基于整体结构的方法科学但复杂,适用于大跨结构等大型公建。其它结构可以采用基于构件的方法,本文仅针对此类方法进行介绍。
规范3.2.6中有三种基于构件的验算方法,效果是一致的,目的都是R≥S:耐火极限法、承载力法和临界温度法。YJK和3D3S是采用的承载力法;PKPM则采用临界温度法。
1)耐火极限法,也就是构件的模拟实验法。要用设计荷载作用下的构件做实验,得到构件在火灾下实际耐火极限不小于规定耐火时限。这个没几个能玩得起,要符合构件同等受力条件,只能是先建一栋房子,烧了看看各构件能不能抗得住,抗住了再按这个建正式房,抗不住再建再烧得数据,烧钱就是这个意思吧?

其实防火规范附录中构件就是“简化的耐火极限法”得来的数值,因为其未考虑构件的大小、实际荷载和结果构件间的约束关系,故不宜直接用于具体设计。混凝土结构皮糙肉厚,刚度大,受热承载力损失幅度小,故可近似取表格数值。但钢结构对于温度敏感,受热后承载力与刚度下降幅度大,不能应用表中数值。
2)承载力法,相对简单,以承载力为指标,验算是否满足升温下要求,不复杂结构的可以手算实现,下文主要根据此方法讲解。

3)临界温度法,这种方法是以温度计算为核心,构件在火灾下最高温度不超过可耐受温度的临界温度。
3、什么构件需要算,算什么
1)构件仅进行承载力计算,无需进行使用状态计算。因为火灾是一种偶然作用,火灾下结构变形远大于常温下变形,塑性变形又释放了温度应力。
2)据3.2.5条,内容我懒得抄写了。
一款的大概意思就是偏心受力构件存在塑性变形和大变形,故不必考虑轴向伸缩引起的轴向应力,也就是所谓的“热膨胀效应”。但对于轴心受力构件的伸缩引起稳定和受力变化明显、且大部分构件均存在于有多余约束的体系中,杆件沿轴向变形带来体系的受力变化,故要考虑热膨胀效应。
二款是要计算火灾下结构温度,升温后的强度和残余弹性模量。
4、几个术语的说明
1)膨胀效应
3.2.5条中所说的热膨胀效应,这里主要是指沿构件长度方向线性变化所引起的应力和约束次应力。
2)截面形状系数
2.2.5条中的F/V(Fi/V)——无(有)防火保护构件的截面形状系数,这个系数在进行构件各类计算中都有参与,规范里给的解释是“构件的防火保材料内表面积/体积”,如果你懂一点热工知识,非常容易联想到节能计算中的“建筑体型系数”概念,即外表面积与体积的比值,规范名词故弄玄虚罢了。下面来几个具体计算说明这玄虚怎么破!


圆截面钢筋:F/V=πd/(πd^2/4)=4/d
矩形钢管:F/V=(2a+2b)/[ab-(a-2t)(b-2t)]=(a+b)/[t(a+b-2t)]
上面不暴露的矩形钢管:
F/V=(a+2b)/[ab-(a-2t)(b-2t)]=(0.5a+b)/[t(a+b-2t)]
看到没有,和规范6.2.1的表9一毛一样。
5、承载力法的具体步骤
授人以渔,我以承载力法为基础,讲讲具体如何进行线性计算。有两个适用范围,计算偏心受力构件及独立拉压构件。
1)导热系数λ和热阻R
λ代表不同材料表面之间的热传导量,λ越小则隔热效果越好;R代表隔热材料阻止热量穿过的能力,R越大则隔热效果越好。
当采用厚型防火涂料时或柔性毡类覆裹时,等效导热系数λi可采用直接输入值(根据定义,此值非材料特性值,应进行计算,此处为估算值),一般情况下厚型涂料为0.10W/(m·℃)左右,柔性毡类可取0.045 W/(m·℃)左右。当采用膨胀性防火涂料时,笔者暂无经验。
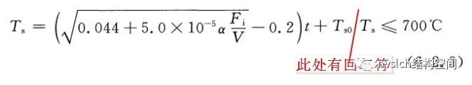
2)计算火灾升温Ts
根据前文意思,先搞定构件的体形系数Fi/V,估算保护层厚度di,再搞定综合传热系数α,因为规范bug,无法提供实验达温时间t0,故没法算λi,直接用λ代入。厚型涂料计算中,di不小于15mm,α=λi/di。
根据6.2.3式估算Ts。这里Ts0取20度,t以秒计。这里没有采用6.2.2-1式,因为那个迭代计算过程,离开程序无法实现。注意这公式截止到Tso为止,Ts≤700℃应另起一行。

3)火灾时的材料物理参数
因为知道了Ts,可以套用第5.1节的公式计算钢材强度fT=ηsTf和弹性模量EsT=χsTEs。这里一点要注意,Ts不大于700℃。
4)荷载取值
任何计算都离不开荷载计算这一步,详见3.2.2条。
Sm=r0T(SGK+STk+0.4SQk)
这里采用的火灾组合中不含地震作用,耐火等级为一级时r0T取1.1,其它等级为1.0。活荷载频遇值系数为0.6,风荷载频遇值系数为0.4。在非轴力构件中,也可以借助非地震作用的基本组合除以一个约为1.4折算系数,得到除STk外的其它效应和,再叠加STK即可。
据3.2.5条及条文,偏心受力构件可以不考虑热膨胀效应,即效应里可不计入STK。压拉构件则需要计算线性热膨胀效应。
独立构件的计算里可以这样考虑
膨胀压力:Nm= EsT·A·ΔL/L= EsT·A·αs·(Ts-20)
膨胀应力:σm= EsT·αs·(Ts-20)

这里要注意一点,构件应考虑附着保护材料的实际重量。
5)应力计算及验算Rd≥Sm
构件的应力计算看上去复杂,其实就是查表代数过程,熟悉钢结构的很容易搞定,不再赘述。
最后用构件在达到火灾耐火时限时的应力来比较折算抗力,OK!
6、算例
没有算例的介绍都是空谈,下面给出一个独立抗压构件的防火计算过程,两端限位铰接轴压杆。采用了承载力法和(伪)临届温度法两种方法。这个例题仅为了展示计算过程而已,不代表实际工程。


观察可知,以上表格里,承载力法基本符合规范本意;临界温度法因属于轴力构件,涉及火场中的弹性模量改变才能得到热膨胀效应应力,故不能完全执行规范操作,二者计算结论虽不同,但数值接近。原因在下篇中详述。
小结:
1、钢结构防火规范编的和抗浮标准有的一拼,其间很多参数前后往复且数值不同,很容易让人误用。
2、构造要求很多,例如各材料厚度、使用环境等,2021年实施的《钢结构防火涂料应用技术规程》比较简洁明了,可参见这本30页的小册子。其它构造、配套底漆等等,可参见《钢结构设计手册》。
3、根据具体计算归纳,钢材应尽量选择截面形状系数较小的截面,其耐受性更好;轴向压拉构件温度应力占有效承载能力的较大比例,宜选用高强度钢。
4、施工过程中的改动,应经设计单位并出具变更单,并报原审图机构或备案机构核准。
5、质检验收发现不满足设计要求时,可经原设计单位核算,满足规范最低要求的可通过验收。
后记:
这篇文章写了好久,其间又查找学习一些钢结构防火相关资料(图片大部分来自“梵迦德(上海)防火技术有限公司”薛万里博士的讲稿《建筑钢结构防火技术》,特此感谢),但还是有些地方不通顺。造成文章虎头蛇尾的样子。
第三章 结构防火设计终结篇
来源:nvslch结构空间,作者:nvslch
结构防火(耐火)共三篇文章,这是终结篇,以一个支撑体系计算为实例讲解如何实现钢结构耐火验算,并对不同软件的耐火验算实现方法进行了点评,指出了规范中几个缺陷。本文划分为六节,一节~五节开放阅读,六节部分关键字节设为不显示,以备论文发表。
一、假定及结构模型
二、计算步骤及过程
三、计算中需注意的事项
四、集成软件的适用范围
五、本文中计算方法的总结
六、规范的不足之处
引子
为了吸引读者、增大阅读量,先发布一张本人总结的“承载力法”进行偏心受力构件耐火验算的思维导图。

图 1
一、假定及结构模型
1、还是先强调一下耐火验算的本质问题,还是借用上次的图片,通过计算在火灾发生时,特定时限内构件是否失效。钢结构耐火验算非常怕火,如果在无保护状态下15分钟就接近500℃,接近丧失承载能力,20分钟就不成样子了,故大部分工程均需做防火保护。

图 2
2、升温曲线包括火灾环境升温Tg和构件升温Ts。图3为另一个工程的升温曲线图。其中Tg为纤维类火灾环境升温曲线;构件升温曲线是特定条件下的变量,规范中采用两种方法:步进积分法与简化算法。
图3中Ts为采用6.2.2-1式的步进积分法生成,Ts'为采用6.2.3式生成。观察可知:在700℃以下,Ts与Ts'接近,故规范中简化算法是可信的。本文计算中采用了规范简化公式。

图3
3、普通的偏心受力构件的计算过程较为简单,因为根据规范3.2.5条,可以不计入热膨胀效应,故内力组合简单,仅涉及到材料抗力调整和应力对比。轴心受力构件则需考虑热膨胀效应,因热膨胀效应计算过程中涉及到升温刚度,其实是个复杂的非线性过程,文中忽略中间过程,采用整体分析法得到近似内力。建立了一个排架支撑体系力学模型,采用了整体分析法结合构件承载力法进行耐火验算。
4、模型设定:共8跨,柱高7m,柱距6米,采用Q235级钢材,系杆为a类截面钢管;支撑为Φ25圆钢;柱采用H型等截面,不做细化设计。设定建筑为二级耐火等级构件,耐火时限2.5h(9000s)。不计算构件自重引起的弯矩。采用纤维类火灾升温曲线。
设定为柱底铰接的支撑模型,支撑采用圆钢拉杆,拉杆在受压时退出工作。在风荷载下,图4红色箭头处杆件退出工作;因温度应力远大于风作用下应力,拉压杆会变号,这里应采用了火灾升温时支撑拉杆计算模型(图5)。

图4

图5
二、计算步骤及过程
1、用Excel表格计算构件截面特性,包括截面面积A、惯性矩I、自重等。

图6
2、升温计算,计算耐火特性,包括λi(Ri)、di、Fi/V,Ts、χST、ηST等。

图 7
3、构件截面物理特性根据升温结果输入ESTI、ESTA、GSTA,取GST=EST/2.6,计算荷载,其中风荷载直接折减0.4倍。

图8
4、借助“结构力学求解器”建立结构模型,各节点铰接,输入构件截面特性,输入荷载,得到构件N。

图9
5、根据内力N,进行后续的应力计算(不对钢柱进行应力计算),σ1=N/A,σ2=N/(ΨT·A)。其中ΨT=αc·Ψ,根据规范7.1.2查表中αc。

图10
6、通过以上计算可知,系杆和支撑截面均不足,需要加大截面或保护层厚度。如增大截面则重复步骤1~5,建议支撑拉杆改为型钢截面;如增加保护层厚度则重复步骤2~5。模型中柱截面选取较大,在升温时,造成柱内力大、影响支撑及系杆截面均不满足,实践中应避免选取的截面过于保守。
三、计算中需注意的事项
1、体系在升温过程中刚度和强度不断变化,内力重分布随时发生,但根据升温曲线判断,一般过程中,结构应力还是会随着温度上升呈上升趋势,故仅计算极限温度下的结构应力。
2、本文忽略了结构自重引起的受弯(相对较小),因拉压刚度交替计算复杂,本文未进行自振计算,故未考虑构件质量影响。当实际计算时,质量影响结构自振周期,应适当考虑包覆材料质量。
3、经本人计算,用步进积分法计算Ts,步长采用5s和30s的计算升温值的差值不到1℃,故追求过高的精度除了浪费时间并没有太大的意义。
4、文中稳定系数采用了钢标附录D.5.3-3式直接计算,一般情况下好过查表法。
四、集成软件的适用范围
“哪个软件能算对钢结构防火?”
真的很难回答这类问题,首先是大部分软件本人不能完全掌握,轻易下结论容易误导大家;二是因为软件能否实现使用者的意图、有什么缺陷也非常难验证。
以下我要谈谈三个常见软件的计算可信性,对软件一仅做理论论述,未进行具体计算,暂不做评价;软件二采用了空间网架模型验证,还待深入;软件三采用平面桁架模型验证,其过程可信,计算书清晰完整,可以通过它理解掌握耐火计算过程。
1、软件一,结构设计圈龙头老大,采用了临界温度法进行构件耐火验算,即使没实例也可以有个初步论断的:仅采用临界温度法从原理上不能实现有多余约束的轴力杆体系耐火计算的,那么这软件是怎么实现耐火验算的呢?
2、软件二,设计圈老二。其采用的是构件承载力耐火验算法。计算书非常粗鄙,未给出计算细节(3.0.2版本),升温计算采用了步进积分法,非常精确。因为本人不掌握该软件如何进行二维计算,暂时无法验证其是否进行了升温后刚度回代过程,故软件能否执行正确的耐火计算没有结论。

图 11

图 12
3、软件三,钢结构设计圈的知名软件,可以输出临界温度法和承载力法的结论。我对一榀桁架进行了耐火计算,计算书非常清晰完整,经对比和手算求解计算结论基本一致,但注意一点,V2020.6.21版本有缺陷。
软件计算端斜杆最大压力140kN,力学求解器为134kN,原因在于后者未计入杆件自重。抗力计算结果基本一致。效应计算时软件采用了弯压杆计算法,与手算轴压算法略有区别,结论趋势一致。

图 13

图 14

图 15

图 16
五、本文中计算方法的总结
总结咱不用复杂的文字表述,来张一目了然的思维导图。轴心受力构件整体分析结合承载力法的计算思路,也是本文的核心内容。

图 17
六、规范的不足之处
1、根据规范6.2.2条,包覆轻质防火保护层钢构件,构件耐火物理性能(λi、Ri)和构件的包覆材料厚度、体形系数有关。理论上真实的热阻、热传导系数应通过实际构件包覆耐火材料后实验才可得,但因为不可能每种构件都去做这个实验,实际上仅能提供特定截面构件的等效热传导系数或等效热阻系数,在计算Ts时通过形状系数回代来修正。这里表达非常不清晰,不如术语换成“标准等效热阻”一词更准确,构件热阻是不需要去计算的。
2、xxx
3、在构件升温计算中步长可为30s,规范仅给出了ΔTs的计算公式(式6.2.2-1),未明确积分方法,容易造成火灾环境升温Tg和构件升温Ts计算的脱节,误以为仅能靠6.2.3简化公式求Ts。6.2.2-1式中的符号Ts与简化公式6.2.3中的符号Ts同样表述,容易误解为需要采用简化公式算得Ts代入6.2.2-1来积分来求ΔTs,建议简化公式采用Ts’来表达。
4、规范中3.2.6条明确说三种构件计算方法是一致等效的,但是“临界温度法”有其固有缺陷,在计算有多余约束的轴力杆件时,因为轴力杆件刚度变化引起内力重分布,所有必须结合承载力法才能得到构件的升温刚度,没有刚度何来的内力?故这种情况下仅靠临界温度法是不能独立应用的。
5、规范7.1.2表中αc是可以大于1.0的,遗憾规范没有给出公式,也许是考虑了兰脆现象,此处存疑。
6、xxx
7、xxx
后记:
这篇文章构思了三周,又写了两周才算初步完成,有俩原因,一是很多原理没搞清,需要思考;二是懒,总觉得就在心里的东西,结果下笔就踌躇了。不过,迟一点也未必是坏事,进程中明晰了一些原理、学习了一些软件、修正了几个错误,但问题可能还会有,欢迎读者给予指正。
本文可以作为程序编制的思路,也可以通过这种方法验证软件结论的正确性。
第四章 钢结构防火设计思路总结
来源:nvslch结构空间,作者:张庐
张庐(浙江汇丰建设工程检测有限公司)
编辑推荐:作者张总长期进行结构设计、检测鉴定工作,对钢结构设计有着丰富的经验,他工作作风严谨,乐于助人,本人从他那里学习了很多专业知识、获得了很多正能量。
张总还会结合钢结构的火灾鉴定发表后续文章……
一、几个常用知识点
1、目前和防火设计有关的规范汇总
1)《建筑设计防火规范(2018版)》(GB50016-2014)
2)《钢结构防火涂料应用技术规程》(T/CECS24-2020)
3)《建筑构件耐火试验方法第1~9部分》(GB/T9978.1~9-2008)
4)《建筑钢结构防火技术规范》(GB51249-2017)
5)《钢结构防火涂料》(GB14907-2018)
2、GB50016-2014及老版CECS24设计要求很简单,用表格形式给出涂层厚度和耐火时间的对应关系,在GB51249-2017颁布之后,应该是不能用了,但是其刷涂厚度范围可供设计参考。
膨胀(薄涂)型防火涂料性能
涂层厚度(mm) |
3 |
5.5 |
7 |
耐火时间(h) |
0.5 |
1.0 |
1.5 |
非膨胀(厚涂)型防火涂料性能
涂层厚度(mm) |
15 |
20 |
30 |
40 |
50 |
耐火时间(h) |
1.0 |
1.5 |
2.0 |
2.5 |
3.0 |
3、GB51249-2017中4.1.3.4条要求非膨胀型防火涂料厚度不应小于10mm。而GB14907-2018中5.1.5条要求非膨胀型防火涂料厚度不应小于15mm,膨胀型防火涂料厚度不应小于1.5mm,设计时需留意应按GB14907-2018。
4、关于防火涂料设计和检验要求,前篇文章讲过,应提供等效热阻,不能只提供耐火时间。
下图为不满足GB51249-2017中5.3.3条要求的某涂料检验报告:

下图为满足GB51249-2017中5.3.3条要求的某涂料检验报告(感谢nvslch网友提供):

5、关于常用等效热阻值的取值,可按GB51249-2017中6.2.2条文说明,取值范围在0.01~0.5。等效热阻值越大(即刷涂厚度越厚或涂料性能越高),涂料防护性能就越好,构件在耐火时间内升温就越低,构件在高温下就越不容易屈服。
6、按GB51249-2017公式5.1.2-2估算高温下钢材强度折减系数如下:
温度(°C) |
300 |
400 |
500 |
600 |
700 |
强度折减系数 |
1.0 |
0.94 |
0.71 |
0.45 |
0.23 |
7、目前常用的软件防火计算,YJK采用承载力法,3d3s同时采用承载力法和临界温度法。有读者提出,有时遇到软件对同一构件计算,按临界温度法计算不满足,按承载力法计算却满足的问题。这是因为按临界温度法计算时,GB51249-2017中表7.2.1未提供强度荷载比R<0.30时的临界温度,则对于强度荷载比低于0.30的构件,可能会出现按临界温度法计算不满足,按承载力法计算却满足的情况。上表可见,在常规条件下,一般构件在耐火时间内升温到500~600°C时就有可能屈服。可结合GB51249-2017简化公式6.2.3进行升温估算,初步确定构件所要求的等效热阻。

8、按GB51249-2017中3.2.5条,网架、桁架等以受轴心拉压为主的构件,应考虑热膨胀效应对内力的影响。
9、按GB51249-2017中3.1.2条条文说明,仅支撑屋面板的檩条,耐火极限不做要求。
10、按GB51249-2017中8.2.1条条文说明,组合楼板中的压型钢板仅作施工模板时,不需要进行防火保护。
二、简单防火设计案例
下面是一个简单的花纹钢板楼面防火设计案例,之所以选花纹钢板楼面,一是可仅计算单轴受弯强度,不用计算稳定(编辑注:此处因面外刚度极大,可不进行稳定计算),过程较为简单;二是目前常用的软件仅计算梁柱构件的防火,本例计算楼板防火,可作为软件的补充。计算条件如下(注:本例荷载取值偏大,计算楼板挠度4.4mm(1/159L),其常规计算结果可能不满足实际工程要求,读者可忽视)。

1、条件及基本数据
某钢结构平台,楼面采用7mm花纹钢板(Q235B),次梁间距700mm,楼面计算模式为单向简支受弯,恒荷载包括楼板自重为5.5kN/m2,活荷载为5.5kN/m2,活荷载频遇值系数Ψf=0.7,楼板设计耐火极限60min,耐火等级二级,楼板按四面受火,双面刷膨胀型防火涂料,楼板截面形状系数Fi/V=2/0.007=285.7。
单位宽度恒荷载下弯矩标准值:
MGK=1/8×5.5×0.72=0.3369KN·m
单位宽度活荷载下弯矩标准值:
MQK=1/8×5.5×0.72=0.3369KN·m
常规计算弯矩设计值:
M=1.3MGK+1.5MQK=0.9433KN·m
常规计算楼板应力比:
M/(Wf)=0.9433×106/(1/6×1000×72×215)=0.537
耐火计算前先判定楼板是否需要做楼板防护,查GB51249-2017中6.2.1条文说明表10,无防护构件耐火时间60min时,构件形状系数285.7,构件温度将达到942℃以上,此时钢材强度基本丧失,说明应进行楼板防护。
耐火计算时做简化处理,忽略楼板升温下的温度内力(GB51249-2017中3.2.5条文说明,对于受弯构件,可不考虑热膨胀效应,且火灾下构件的边界约束和在外荷载作用下的内力可采用常温下的边界约束和内力)。
耐火计算弯矩设计值:
M=1.0(1.0MGK+0.7MQK)=0.5727KN·m
楼板升温计算(GB51249-2017简化公式6.2.3),假设等效热阻Ri=0.15:
2、按承载力法计算:
高温下钢材屈服强度折减系数:
ηsT=0.346
高温下钢材强度:
fT=ηsTf=0. 346*215=74.4N/mm2
火灾下构件强度验算:
M/(γW)=0.5727×106/(1/6×1000×72)=70.2N/mm2<fT=74.4N/mm2
结论:按承载力法计算满足。
3、按临界温度法计算:
截面强度荷载比:
M/(γWf)=0.5727×106/(1/6×1000×72×215)=0.326
查GB51249-2017表7.2.1,按内插法确定R为0.326时的临界温度Td=651.5℃,耐火极限下构件最大升温:
Ts(Tm)=643.3℃<Td=651.5℃。
结论:按临界温度法计算满足。
即楼板设计等效热阻,两种方法计算结果相当,均已接近限值。
参考某型号防火涂料检验报告:涂层厚度为1.50mm时,试验等效热阻为0.1537,略大于设计等效热阻,故采用该型号涂料时,最小涂层厚度可取1.50mm。
4、检验报告相关内容

注意此时标准耐火试验的时间最低为5100S(85min),已超过60min!!!如仅按标准耐火试验时间为60min的试验厚度确定楼板防火涂层厚度(耐火试验时间为60min时的等效热阻为0.0952),则不满足楼板防火设计要求。

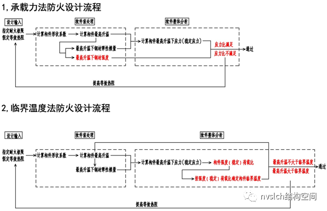
三、承载力法和临界温度法防火设计流程对比

后记:本文的写作,参考了“nvslch结构空间”的三篇文章中相关内容,在此对文章作者表示感谢。
跋:文中着重描述了如何运用膨胀防火涂料检测报告和具体构件计算的步骤过程,较为全面的揭示了“耐火验算”的实践过程。
编辑对论述做两点补充:
1、因为标准构件实验数据和实际构件的Fi/V具有较大差距,标准构件为142.1,实际构件为285.7,根据防火规7.2.8-2式,二者理论上热阻有一定差距。但规范在计算Ts时有回代修正,故取实验保护层厚度是可行的。
2、文中采用了简支受弯模型,故可不进行热膨胀效应计算,故无需计算温度效应组合和高温下的构件弹性模量折减。若进行框架构件计算时,升温效应造成相对刚度的变化,会直接影响内力分配。虽然可以按规范不进行温度作用组合,但需要根据高温下的相对刚度,进行内力重分配,在此基础上进行应力分析,耐火验算。
知识点:钢结构防火设计总结及算例
0人已收藏
0人已打赏
免费5人已点赞
分享
钢结构工程
返回版块46.53 万条内容 · 1212 人订阅
阅读下一篇
钢框架结构截面合理性的初步评估一、引子 最近周边还发生了好多事,工作也很忙,十天搞了三个扩建项目的初步设计,每个里还有若干小子孙,虽说都不大,但各个不同,有点累。 工业建筑改扩建,一切以工艺流程合理性为出发点,建筑结构专业必须围绕这个前提配合好。 这些项目都是因供热锅炉房的环保要求,增设脱硫设备和更换除尘设备而配建厂房。扩建的厂房有的新建、有的需要增高4.5米,建设方指定了采用钢结构制作。 二、方案 原单层厂房本身高度大约都在8.5米,要增高,按理说得做鉴定,根据其结论在加固,目前结构资料全无,只能概念上想想。现阶段主要是控制投资,具体怎么搞还待深化。
回帖成功
经验值 +10
全部回复(0 )
只看楼主 我来说两句抢沙发