土木在线论坛 \ 电气工程 \ 电气工程原创版块 \ 地理探测器太多人用?还是你不会巧用?

地理探测器太多人用?还是你不会巧用?

发布于:2023-03-22 10:54:22 来自:电气工程/电气工程原创版块 [复制转发]

知识点:

空间统计学经典论文《地理探测器:原理与展望》论文引用量已将近3000,多年来凭其原理明晰、操作简便的巨大优势,影响力可见一斑。

图片
处理数据>跑地理探测器模型>得出结果>描述分析,这是地理探测器模型应用的入门程度,相应的成果也只能刊发在普通期刊,对于着急毕业的研究生无可厚非。

如果目标期刊为C刊或SCI,相应的要求肯定不止于此,但是也不是说一定需要复杂的模型或高端的方法,更重要的是研究的科学问题:
高端的食材往往只需简单的烹饪

如何巧用地理探测器模型,以下提供三点思路:

  1. 时间异质性

  2. 尺度效应

  3. 因子探测与交互探测的差异

  • 时间异质性

地理探测器模型有很多优势就不多说了,但也有个局限,那就是结果不具空间异质性,也就是说结果的维度存在局限,那我们可以自己DIY拓展结果的维度,提升研究的饱满程度:既然空间不行,那就挖时间, 多时间节点建模,结果进行时间维度的比较

例:
图片
Fig.1

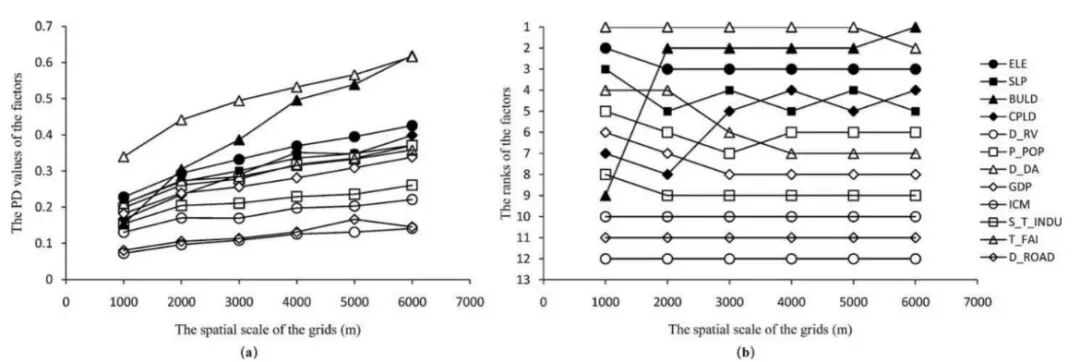
  • 尺度效应

地理探测器模型具有结果不稳定性的特性,这当然不是模型的缺点,而是给我们应用者开辟了一个小研究分支,那就是建模尺度效应的探讨名词解释:基于不同尺度建模的结果差异,可理解为尺度效应)。当应用该模型基于格网的时候,设置多大的格网就是一个问题了,拍脑袋?也不是不可以,只是不够科学。可以尝试的做法:比如先设置100-1000m十套格网,并处理聚合数据,比较十套格网建模的结果差异, 当全部因子平均Q值相对较高,且各因子Q值排序相对稳定,此时的建模格网尺度可视为较优尺度格网。

例:
图片
Fig.2

    图片
    Fig.3

    • 因子探测与交互探测的结果差异

    地理探测器模型常用的两个子模型是因子探测器和交互探测器,前者量化各因子对因变量的独立影响力,后者量化每对因子对因变量的共同交互影响力,这是地理探测器模型区别于其他空间统计模型的最大优势。那么既然以上两方面都应用了,何妨再进一步比较两个模型之间的结果差异呢?即比较因子交互时的Q值,与该因子的独立Q值相比提高了多少%?

    例:
    图片
    Fig.4
    图片

    相关推荐:

    1、GB5226.1-2008 机械电气安全

    2、GB19517-2009国家电气设备安全技术规范


    全部回复(0 )

    只看楼主 我来说两句抢沙发
    这个家伙什么也没有留下。。。

    电气工程原创版块

    返回版块

    2.2 万条内容 · 598 人订阅

    猜你喜欢

    阅读下一篇

    倒流防止器的工作原理

    知识点:倒流防止器 倒流防止器 backflow preventer 倒流防止器是一种采用止回部件组成的可防止给水管道水流倒流的装置。 倒流防止器根据自来水供水设备,尤其是生活饮用水管道回流污染严重,又无有效防止回流污染装置的情况下,研制的一种严格限定管道中水只能单向流动的水力控制组合装置。

    回帖成功

    经验值 +10