根据可能发生的回流所造成的危害程度(详GB50015《建规》附录A),一般可采用设置真空破坏器或倒流防止器的回流污染防止措施。
两者的主要区别是:
真空破坏器是防虹吸回流,不能用于防背压回流,用于生活饮用给水系统中规格一般不大于DN50mm,重量轻、体积小;
倒流防止器是防背压回流,当然也可以防虹吸回流,用于生活饮用给水系统中规格一般不小于DN50mm,重量重、体积大。
1)大气型真空破坏器:一种可在给水管内压力小于大气压时导入大气,在不通水时与大气相通的真空破坏器。

2)压力型真空破坏器:一种在给水管道内失压至某一设定压力时先行断流,继后产生真空时导入大气防止虹吸回流的真空破坏器。


3)软管型真空破坏器:一种专用连接软管的真空破坏器。
真空破坏器的局部阻力按其结构形式可按表1选用。
GB50015《建规》第3.3.5条

GB50015《建规》第3.3.10条 (强制性条文)

GB50015《建规》第5.5.9条

大气型与压力型真空破坏器的根本区别在于大气型只有在给水管道内负压真空时才打开进气阀进气破坏虹吸回流;
而压力型在给水管道内压力降至某一设定压力,但在尚未产生真空之前,就靠止回阀弹簧设定压力关闭切断管道内的水流。
故压力型真空破坏器可适用于高危险等级的虹吸回流场所。
不同场所下设置真空破坏器的种类:
1)当生活饮用水池(箱)等构筑物的进水管采用淹没出流时,应在其管顶装设管顶形真空破坏器。
2)在可能产生虹吸回流的给水横支管的起端可设置水平直通形或角形真空破坏器。当角形真空破坏器设置在室内时,应选用防溢型。
3)在支管、立管上无设置防倒流装置的给水管道出口接有软管时,应设置软管型真空破坏器。
1)水平直通形或角形真空破坏器的规格应与给水横支管管径相同。
2)软管型真空破坏器所选规格不得小于所连接的供水支管管径。
3)管顶形真空破坏器规格选用应符合下列规定:
①真空破坏器的补气流量应大于水的回流量;
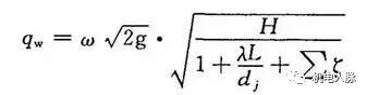
②水的回流量应根据可能产生回流的立管管径、回流落差、管道长度、管材摩阻系数、管道局部阻力系数等按下式计算:
式中:
qw——水的回流量(L/S);
ω——管道截面积(m2);
g——重力加速度,9.8m/s2;
H——回流落差(m):真空破坏器下流溢流水位至立管底部倒流泄水面之间垂直高度;
λ——管材摩阻系数;
L——管道长度(m);
dj——管道计算内径(m);
ξ——管道局部阻力系数。
③管顶形真空破坏器的补气流量应根据真空破坏器高出溢流水位的高度,按下表2确定。
注:1 表中高度指真空破坏器进气口下沿高出下游溢流水位垂直距离;
2 表中未列高度可采用内插法。
回流水量计算示例:设有一高层屋顶水箱进水管(淹没出流),详见图1,其管径为DN 100,H为100 m,h为0. 60 m,管道长度(L)为120m,管材为衬塑钢管,试计算其回流水量及选用管顶形真空破坏器的规格。
又根据真空破坏器的补气流量应大于水的回流量的规定,由表2查得:DN40的真空破坏器补气流量为74.7(L/s),大于计算所得的qw=73.7(L/s)。所以应选用DN40的管顶形真空破坏器。
1)在真空破坏器的下游管道上不设关断阀门和控制阀。
2)通过前置控制阀,控制下游用水器具的工作。
3)在下游用水器具停止用水时,真空破坏器不受压。
4)有冻结可能时,在连接管道的底部设置泄水阀和地面排水设施。
1-前置控制阀;
2-泄水阀;
3-单顶管型真空破坏器;
4-水平直通型真空破坏器。
1)在真空破坏器的下游管道上设置关断阀门或控制阀,控制下游用水器具的工作。
2)在下游用水器具停止用水时,真空破坏器受有上游的压力。
3)不允许停水检修时,应在真空破坏器与连接管道之间应设置检修阀门。
4)有冻结可能时,在连接管道的底部设置泄水阀和地面排水设施。
1-进水控制阀;
2-单顶管型真空破坏器;
3-止回阀;
4-出口止回型真空破坏器。
1)真空破坏器设在软管控制阀上游时应选择单顶管压力型真空破坏器。
2)真空破坏器设在软管控制阀下游的,应选择进口止回型的真空破坏器。
3)有冻结可能时,在进水管道的底部设置放空阀、进水控制阀和地面排水设施。
1-控制阀;
2-泄水阀;
3-前置控制阀;
4-进口止回型真空破坏器;
5-软管接头;
6-软管。
1)真空破坏器的进气口应朝向下方,且进气口距下方障碍物的最小净距不应小于其公称直径;
2)真空破坏器宜明装,特殊情况下如需安装,应安装在箱(盒)内,箱(盒)的大小应满足检修的需要,并在箱(盒)的门上设置通气口,其通气口的面积应大于真空破坏器的给水管道断面积的5倍;
3)真空破坏器不得安装在通风柜或通风罩内,不得安装在有害气体的环境中;
4)在严寒和寒冷地区,当真空破坏器设置在非采暖房间内或室外时,应采取防空等防冻措施;
5)安装真空破坏器前应彻底冲洗管,安装在室外的真空破坏器供水端应设泄水阀。
内容源于机电人脉,旨在分享,如有侵权,请联系删除
相关资料推荐:
真空破坏器选用与安装
https://ziliao.co188.com/p62490727.html
知识点:生活给水系统中真空破坏器的设置、选用及安装
0人已收藏
0人已打赏
免费4人已点赞
分享
建筑给排水
返回版块47.29 万条内容 · 1372 人订阅
阅读下一篇
地下室给排水与消防设计优化措施随着客户对于车库经济性、车库品质等方面要求的不断提高,车库给排水设计面临的挑战越来越多,也存在诸多可优化项,以下结合安全、经济、实用等方面考虑,从消防泵房及水池、车库消火栓系统、车库气体灭火系统、车库集水坑等方面 提出若干设计优化措施,与诸位同行探讨。 #1消防泵房、水池设计优化 《消防给水及消火栓系统技术规范》GB50974-2014及《建筑设计防火规范》GB50016-2014的实施,对于消防泵房、水池的设置有诸多明确要求。《消水规》第5.5.12条及《建规》第8.1.6条有如下要求:“附设在建筑内的消防水泵房,不应设置在地下三层及以下或室内地面与室外出入口地坪高差大于10m的地下楼层”。
回帖成功
经验值 +10
全部回复(0 )
只看楼主 我来说两句抢沙发