知识点:消声器
消声器是一种在允许气流通过的同时,又能有效地阻止或减弱声能向外传播的装置。
它主要用于机械设备的进、排气管道或通风管道的噪声控制。一个性能好的消声器,可使气流噪声降低20~40dB(A)。但是,消声器只能降低空气动力设备的进排气口噪声或沿管道传播的噪声,不能降低空气动力设备的机壳、管壁等辐射的噪声。

消声器类型很多,按其降噪原理主要有如下三种类型:阻性消声器、抗性消声器和复合式消声器。
安装在管道中或进、排气口上的消声器,能让气流通过,对噪声具有一定的消减作用,其性能主要包括:声学性能、空气动力性能、结构性能,具体来讲,对一个好的消声器要有五方面的基本要求:
1)声学性能要求。具有高的消声值和宽的消声频率,即在所需要的消声频率范围有足够大的消声量;
2)空气动力性能要求。消声器的气流阻力小,安装消声器后所增加的阻力损失,要控制在实际容许的范围内;
3)机械结构性能要求。体积小,重量轻,结构简单,便于加工,安装和维修;
4)外形和装饰的要求。符合实际安装空间的需要,美观大方,表面装饰与设备相协调
5)价格费用要求。价格便宜,使用寿命长。
消声器声学性能评价量
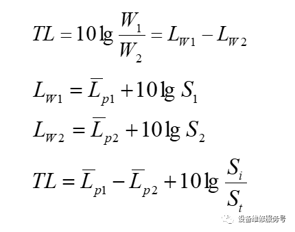
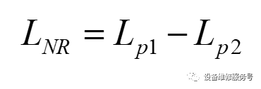
消声器声学性能评价量有插入损失(IL)、传声损失(TL)、减噪量(LNR)、衰减量(LA)。
1.插入损失(IL) 系统中插入消声器前后在系统外某点测得的声功率级之差。在声场分布情况近似保持不变时,也可用指定测点上声压级差代替。插入损失适合现场测量。它反映了声源、消声器及其末端声学特性的综合效果,不单纯代表消声器的效果。

2.传声损失(TL) 消声器进口端声功率级与出口端声功率级之差。由于声功率不宜直接测量,一般通过声压求得。传声损失仅反映消声器本身的特性,不受声源、管道及出口端的影响。

3.减噪量(LNR) 消声器进、出口端测得的平均声压级之差。

4.衰减量(LA) 消声器内部两点之间的声压级之差。通常用消声器单位长度上的衰减量来表征,dB/m。

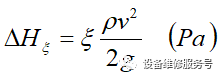
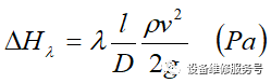
消声器的空气动力性能


消声器结构性能

阻性消声器
消声原理:利用吸声材料消声。把吸声材料固定在气流通道内壁或按一定的方式在管道中排列起来,就构成了阻性消声器,与电学类比,吸声材料就相当于电阻,故称阻性消声器。
包括的形式:直管式、片式、折板式、声流式、蜂窝式、弯头式等。
消声的频率特性:具有中、高频消声性能。
适用范围:消除风机、燃气轮机进气噪声(即气体流速不大的情况)。

消声原理:通过控制声抗的大小来进行消声的。与阻性消声器不同,它不使用吸声材料而是在管道上接截面积突变的管段或旁接共振腔,利用声阻抗的改变,使某些频率的声波在声阻抗突变的界面发生反射、干涉等现象,从而在消声器的外测,达到了消声的目的。
包括的形式:扩张室式、共振腔式、干涉型。
消声的频率特性:具有中、低频消声性能。
适用范围:消除空压机、内燃机、汽车排气噪声(气体流速较高气速的情况)

消声原理:把阻性与抗性两种消声原理通过适当结构复合起来而构成的。可定性地认为阻性和抗性在同一频带的消声值的叠加(并非简单的叠加关系)。
包括的形式:阻~扩型、阻~共型、阻~扩~共型等。
消声的频率特性:具有低、中、高频消声性能。
适用范围:消除鼓风机、大型风洞、试车台噪声。

消声原理:利用微穿孔板吸声结构制成的消声器。
包括的形式:单层微穿孔板、双层微穿孔板等。
消声的频率特性:具有低、中、高频的宽带消声性能。
适用范围:适于高温、潮湿,有水、有油雾及特别清洁卫生的场合。

消声原理:不是在声音发出后进行消除,而是从发生机理上使干扰噪声减小。喷注噪声值频率与喷口直径成反比,如果喷口直径变小,喷口辐射的噪声能量将从低频移向高频(频移),于是低频噪声被降低,而高频噪声反而升高,如果孔径小到一定值时,喷注噪声将移到人耳不敏感的频率范围。
包括的形式:小孔喷注型、降压扩容型、多孔扩散型 、引射掺冷型等。
消声的频率特性:具有低、中、高频的宽带消声性能。
适用范围:消除压力气体排放噪声,如锅炉排气、高炉放气、化工厂工艺气体放散。

消声器设计原则
1.根据噪声源所需的噪声量、空气动力性能要求以及空气动力设备管道中的防潮、耐蚀、防火、耐高温等要求,选择消声器的类型。
2.根据声源空气动力性能的要求,考虑消声器的空气动力性能,是消声器的阻力损失控制在机械设备正常的工作范围内;
3.设计消声器时,考虑到气流再生噪声的影响,是气流再生噪声小于环境允许的噪声级;
4.注意消声器和管道中的气流速度;
5.还应考虑到隔声及坚固耐用、体积大小与空气机械设备匹配问题。
|
|
|
低、中频为主(离心式通风机) |
阻性或阻抗复合式消声器 |
带宽噪声源(高速旋转鼓风机、燃气轮机) |
阻抗复合式消声器或微穿孔板消声器 |
脉动性低频噪声源(空气内燃机) |
抗性消声器或微穿孔板消声器 |
高压、高速排气放空噪声(排气噪声) |
小孔消声器 |
潮湿高温、油雾,有火焰空气动力设备 |
抗性消声器或微穿孔板消声器 |

节流降压的消声量按下式计算 Z=r+jwm=jctg(WD/c)
式中: ρ--空气密度(kg/cm3); c--空气中声速(m/s); D--腔深(mm); m--相对声质量; r--相对声阻; W--角频率,W=2πf(f为频率);
实例应用举例说明
(一)噪声控制标准
(二)消声器设计要求
a)根据工程的通风空调平面图、系统图(电子文件)、风机相应参数(如风量、风压、倍频噪声值、转速、电机功率、效率、叶片数等)进行系统消声设计及消声器的选型配置。
b)对各风亭进行噪声计算并提供综合噪声治理方案,该方案必须达到地面风亭的噪声控制标准;如在工程实施过程中,买方的风机参数、通风空调系统的设计发生修改后,应及时修改消声方案;并保证最终使用效果满足噪声控制标准。
c)消声器设计的片间风速应不大于12m/s。
1) 材料、部件要求
(1)材料要求
a)消声器采用的全部材料,必须符合国家或行业标准规定的牌号、规格、品种。
b)材料性能应能满足消声器使用安全及寿命要求。
c)采用的吸声材料应满足JC/T 469-2005《吸声用玻璃棉制品》的要求,应为超细玻璃棉,且应经过国家认可的声学试验室鉴定,有详细吸声系数与频谱特性,资料数据齐全。承包商应提供其直径及填充密度。
d)吸声材料允许容量误差应不超过±5%,允许含湿量不大于5%,含杂质量不大于3%。
(2)吸声材料护面结构
a)对于室内安装的消声器,吸声材料护面、消声片两端的导流罩均应采用厚度为不小于0.8mm的热镀锌钢板,其厚度应保证护面穿孔后在正常使用寿命内,在正常风速及消声材料挤压力作用下不发生变形,其镀锌层厚度应不小于175g/m2,穿孔后应有在运行过程中保证由于穿孔而不使钢板锈蚀的措施及详细的方案说明,并提供相应的使用实例证明材料。
b)吸声材料护面板的穿孔率应满足消声性能要求,平面度不应超过2/1000(mm),穿孔板边缘要求平整,表面应光滑无毛刺,无污物或锈痕,孔板平面度按GB1184未注公差D级精度执行,孔板最小周边距不小于5mm。
c)采用粘贴玻璃布的穿孔板护面层,其玻璃布应为平纹无碱玻璃布,并不允许有堵塞孔洞的情况。
d)吸声材料护面的开孔率、孔径的大小应针对该工程的声学特性进行方案的详细比选,并进行详细的方案说明;同时推荐的开孔方案应使得消声器在运行的过程中雨水不易透过护面进入吸声体、吸声孔不易被灰尘堵塞、方便清理表面灰尘等特性。
e)消声器密封材料应采用理化性能稳定、耐高温、抗老化冲击、无腐蚀并不产生污染的橡胶制品或者其他材料。
f)全部标准件、外构件、外协件应有产品检验证明或者产品合格证。
(3)框架要求
2) 消声弯头(超细玻璃棉)
相关推荐:
0人已收藏
0人已打赏
免费2人已点赞
分享
电气工程原创版块
返回版块2.2 万条内容 · 598 人订阅
阅读下一篇
信号隔离器的应用和选型知识点:隔离器 引言 在工业系统中,信号隔离器多在外设与接口设备之间,保证信号的输入和输出隔离以及后级设备的稳定运行,解决了不同设备、仪表信号间的参考点的电位差,同时可以进行干扰过滤,信号便可以完整的传输。若所有仪表、设备的信号只有一个共同的参考点则可达到好的效果,但在实际应用环境中,这一点几乎是不可能。
回帖成功
经验值 +10
全部回复(0 )
只看楼主 我来说两句抢沙发