知识点:阻尼器
某化工厂的一台透平驱动泵是为反应塔提供冷却水的三台泵之一,另两台是电动机驱动的,这台透平驱动的机组处于慢滚动待机状态,以应急电源故障。完全失去冷却液将不可挽回地损坏非常昂贵的工艺设备。起初只需要两台泵就能满足要求,但不久产量提高使得运行三台很有必要。很不幸,老的慢滚动待机透平效率非常低,运行成本很高,因此采购并安装了一台新的多级透平。这台机组的布局如图1所示。

图1 –透平驱动冷却泵
透平的问题几乎是同时发生的,当通过临界转速时观察到高振动,涡流探头监测器指示如此大的振动水平,以至于所有报警被解除。有几次发生了严重摩擦,透平必须做很多次修复。尽管非常认真地组装,平衡和安装,多次失效最后迫使工厂寻求重新设计。
最紧迫问题是,做一次修理有多快?在透平停机只有两台电机驱动的泵运行的条件下,一次供电故障将导致巨大的资金损失。第一步是测量转子和轴承并创建一个模型,这一步迅速完成了,然后开始探讨一个根本性解决的问题的新设计。很不幸,很快就发现它并不容易,当前的轴承是5瓦块可倾瓦LOP型,它大概是这台机器可以应用的最好的一个设计了,因此,仅仅更换轴承不太可能有效。
图2是实际透平转子的实物模型,这个设计包括一个复合Curtis级叶轮,和达8个Ratteau级,取决于功率要求,通常转速为3,600 RPM。无阻尼临界转速绘图,如图3,揭示了存在的问题,轴承刚度曲线与一阶临界转速曲线交叉于渐近线部分,表明轴太过柔性,或者轴承太过刚性。没有时间考虑更刚性的轴,并且更柔性的轴承也没有。无阻尼模态振型,如图4,表明轴承几乎位于节点上。

图3:原透平转子

图4:原蒸汽透平转子的无阻尼临界转速曲线
对这台机器的原始状态,尽管没有瞬态数据,但模型预测的不平衡响应表明临界转速在3,050 RPM,放大系数是14.9,这意味着阻尼很差。原始设计只有3.4%的临界阻尼,透平有如此多的问题就不足为怪了。在最后一次修复之前,一些勇敢的技术人员在中断的起机过程中测量轴承座的振动达60 mil。这个情况看起来相当无望,直到专家建议考虑一下挤压油膜阻尼设计。

图5 –原始轴承条件下无阻尼一阶临界转速模态振型
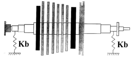
经过讨论,决定对轴承施加挤压油膜阻尼器,庆幸的是机器上有足够的空间。挤压油膜阻尼器就是一个围绕常规轴承的非旋转的环形薄油膜,如图6所示。这个油膜只有约10mil厚并且利用O-形环做密封,当转子横向运动时,油被挤压从而导致振动能量被吸收。

图6 –挤压油膜阻尼器的截面图
设计这种类型的挤压油膜阻尼器的技巧之一是,O-型环凹槽必须与孔偏心,这样当施加转子载荷时,阻尼器位于环的中心。这就要求O-型环的刚度是已知的。对这个案例,使用了一个简单的载荷变形装置来测量O-环的刚度。挤压油膜阻尼器的刚度和阻尼特性,很容易从封闭方程进行计算。

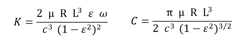
这里,ω 是频率,单位弧度/秒;μ 是动态粘度,单位雷恩;ε 是偏心率;π 是3.14159…;R是阻尼器的半径,L 是阻尼器的长度,c 是阻尼器的径向间隙,单位都是英寸。很有意思的是,注意,阻尼器的系数极大地取决于间隙和长度。
重要的是不要过设计一个阻尼器,否则它将不能正常工作。一旦计算了阻尼器的刚度和阻尼系数,必须结合它们计算系统等效刚度和阻尼。
除了阻尼器轴承,对转子增加了假圆盘,以便降低一阶临界转速。更大的质量也使得转子对湿蒸汽扰动较不敏感,已知这个扰动以某种规律发生。修改的转子如图7所示。

图7 –用假圆盘修改后的蒸汽透平转子
原来的轴承本身具有大约1百万LB/IN的刚度和2,000 LB-S/IN的阻尼,结合挤压油膜阻尼器,有效刚度降低到20万LB/IN,并且阻尼下降到1,000 LB-S/IN。尽管阻尼降低了一半,但是刚度的急剧降低意味着这个阻尼更加有效。阻尼器安装后一阶临界转速模态振型,如图8所示,在轴承上有大得多的相对幅值,同时小得多的轴变形。

图8 –阻尼器轴承条件下的一阶临界转速模态振型
预测的不平衡响应如图9,原始轴承和轴没有增加圆盘,与修改的设计 - 安装了假圆盘和新的挤压油膜阻尼器之间的比较。

图9 – 蒸汽透平带阻尼器轴承的不平衡响应比较
整个分析过程,O-型环测试,轴承的加工和重建的透平安装只用了10天的时间,很多人合作投入了很多时间来完成这个壮举。当透平重新开机时,起动过程中测量的振动几乎和预测的完全一样,图10表明放大系数从14.9下降至4.4,同时临界转速从3,050 RPM下降至2,600 RPM。

图10 – 修改的蒸汽透平的起机伯德图
现在,这台机器已经在这个原阻尼器轴承上运行超过8年,除了例行的维修和检查外,没有任何问题,甚至监测系统报警也正常投用。
相关推荐:
0人已收藏
0人已打赏
免费2人已点赞
分享
电气工程原创版块
返回版块2.2 万条内容 · 598 人订阅
阅读下一篇
隔振器传递率计算的理论与试验浅谈知识点:隔振器 风机、水泵等设备在运行过程中,由于旋转部件的惯性力、质量配置偏心产生的扰动力的作用,会引起振动,还会引起设备底座及与之连接的管道等的振动。为了消除或减少振动对建筑、管道等的影响甚至破坏,通常要采取必要的隔振措施,在设备底部安装隔振元件是广泛采取的措施之一。 隔振是指为减少或隔离动力机械产生的振动对周围环境的影响而采取的措施,隔振器一般是指具有衰减振动功能的支撑元件,隔振体系由需要采取隔振措施的机器、仪器等隔振对象、台座结构、隔振器和阻尼器组成。隔振体系的固有频率由隔振器的总刚度和隔振体系的总质量决定。
回帖成功
经验值 +10
全部回复(0 )
只看楼主 我来说两句抢沙发