知识点:隔振器
风机、水泵等设备在运行过程中,由于旋转部件的惯性力、质量配置偏心产生的扰动力的作用,会引起振动,还会引起设备底座及与之连接的管道等的振动。为了消除或减少振动对建筑、管道等的影响甚至破坏,通常要采取必要的隔振措施,在设备底部安装隔振元件是广泛采取的措施之一。
隔振是指为减少或隔离动力机械产生的振动对周围环境的影响而采取的措施,隔振器一般是指具有衰减振动功能的支撑元件,隔振体系由需要采取隔振措施的机器、仪器等隔振对象、台座结构、隔振器和阻尼器组成。隔振体系的固有频率由隔振器的总刚度和隔振体系的总质量决定。
工程上常用橡胶材料进行隔振,隔振效果的好坏常用传递率来近似描述。
本文的对象为某航天研究所研制的T型隔振器,如下图所示。T型减振器及安装位置的剖视图如下图所示,T型减振器可在三个方向起到减振的作用。

(a) T型减振器及安装位置的剖视图;(b) 实物图
图1 T型减振器
将4组该隔振器应用于某工程项目中,用模拟配重代替实际产品,如下图所示。

图2 T型减振器工程应用
图2可简化“载荷支撑激励引起的强迫振动”,如下图所示。

图3 载荷支撑激励引起的强迫振动
其微分方程为:

即为

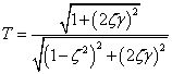
设激振源位移为y=Im(yeiω)=Ysin(t),通过推导以λ=ω/ωn 为横坐标,ωn=√k/m,ζ=c/2mωn,X/Y 为纵坐标,可以做出不同阻尼系数情况下的幅频晌应曲线,如下图所示。

图4 不同频率比对应的幅值比
从图4中可以看出,不论阻尼大小,只有当频率比λ>√2时,才有隔振效果;但λ 也不宜过大,因为λ 大意味着隔振器要设计的很柔软,静挠度要很大,相应的体积要很大,并且装置的稳定性也差,容易摇晃。另一方面λ>5后,传递率的变化并不明显,这表明即使将弹箸支撑设计的更软,也不能显著改善隔振效果,一般实际采用的频率比常在2.5-4.5之间,相应的隔振效率为80%-90%。
由于阻尼的存在,传递率随频率的变化是连续的,且不论阻尼比的大小如何,所有的传递率曲线均在λ=√2处相交。当λ<√2,阻尼的增加能减小传递率值,特别是在共振区域 (λ=0.8~1.2) 内作用更明显。当λ<√2时,阻尼增加,传递率的值反而也增加。因此,如单纯从隔振观点来看,阻尼增加会降低隔振效果,但在生产实践中,常会遇到一些不规则的外界冲击和扰动,为避免弹性支撑的物体产生大幅度的自由振动,常人为地增加一些阻尼以抑制其振幅,且可使自由振动很快地消失,特别是当隔振对象在起动及停止过程中需经过共振区时,阻尼的作用就更为重要。
振动传递率曲线是通过对隔振器试验件在振动台上,保持振动台面的激励加速度a1 为定值,进行正弦扫描试验。振动台的激励通过试验件后传递到质量块上,同时记录质量块上振动响应加速度。振动传递率的定义如下:

或

当共振时,γ=1时,则阻尼比为

其中,a2 为试验件振动响应加速度,γ 为频率比,ζ 为阻尼比。
振动试验的原理示意图如下图所示,控制点传感器振动输入,通过减振器后监测点的振动输出响应,可以得到减振器传递率曲线。

图5 振动试验原理图
针对本文所用的减振器,设计振动试验如下图所示。

图6 减振器振动试验
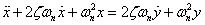
试验扫频范围为4Hz-400Hz,扫频幅值为0.2g,得到下图所示,其中粉色实线为响应点振动加速度曲线,蓝色虚线为振动控制曲线,其一阶频率为108.44Hz,响应点共振加速度为1.34g,即共振时振动传递率T=6.7,根据上式可知,该隔振器系统的阻尼比为3.31。

图7 隔振器振动试验控制曲线与响应点曲线
相关推荐:
0人已收藏
0人已打赏
免费2人已点赞
分享
电气工程原创版块
返回版块2.2 万条内容 · 598 人订阅
阅读下一篇
换流器并联运行的直流配电系统振荡分析知识点:换流器 0 引 言 直流配电技术与传统交流配电技术相比,具有供电容量高、线性损耗小、电能质量高等优点[1?2]。此外,随着直流用电设备及分布式电源大量接入交流配电网,诸多的电力电子变换环节给交流配电网的安全可靠运行带来了影响。直流配电网能够更灵活地消纳直流负荷及分布式电源,必将会成为未来城市配电系统的重要组成部分。目前直流用电设备日益增多,为满足用电容量需求,采用换流器并联的直流配电拓扑结构,但直流配电系统固有的低惯性、弱阻尼特性易导致系统振荡,尤其采用
回帖成功
经验值 +10
全部回复(0 )
只看楼主 我来说两句抢沙发