知识点:换流器
1.1 下垂控制原理
直流配电系统是否稳定关键在于直流电压,因此本文选择 P?Udc 下垂控制,P?Udc指的是换流器输出有功功率和换流器直流侧电压之间的线性关系,利用该控制可以调节换流器的有功功率输出,并维持电压稳定 。P?Udc下垂控制原理如图2所示。

由下垂控制原理图得到换流器下垂表达式如下:

1.2 单个换流器的小扰动稳定性模型
单个换流器小扰动稳定性模型是指图 1 所示的电网母线与直流母线间整体部分的建模,即包括换流器、滤波器、交流线路、交流母线等部分。其中换流器采用下垂控制,控制框图如图3所示。

P?Udc 下垂控制运行在单位功率因数模式中,对直流侧有功功率作线性化小扰动,得到:

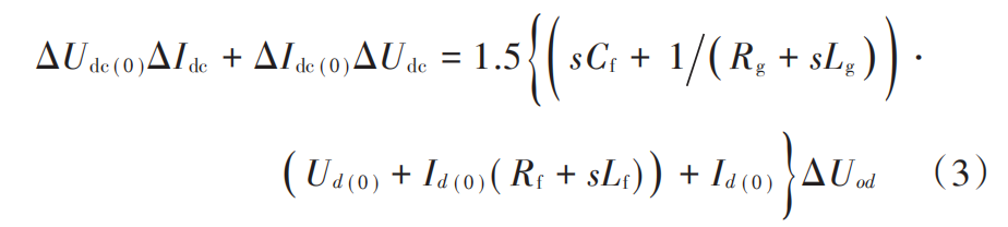
式中:Δ 表示某一时刻的运行值与稳定运行值的偏差;下标(0)表示稳定运行值;Ud为换流器输出交流电压在 d轴上的分量;Id是换流器输出交流电流在 d轴上的分量。考虑交流线路阻抗参数及滤波器对小扰动的影响,得到:

式中:Rf,Lf 表示滤波器的电阻和电感,Cf 是与电抗器并联的接地电容,三者构成滤波器;Rg 和 Lg 是与电网母线直接相连的交流线路的电阻和电感;Uod 是与电网母线直接相连的交流母线的电压。
1.3 多换流器并联的小扰动稳定性模型
以两并联为例分析,其含义是两个换流器小扰动稳定性模型交流侧共同并接于电网母线,直流侧共同并接于直流母线,即换流器的并联是交流侧与直流侧都并联,换流器VSC_1和VSC_2均采用P?Udc下垂控制,因此,并联两换流器的小扰动稳定性模型表达式与式(4)相同,分别用ΔY1(s),ΔY2(s)表示,根据电路原理,并联电路总导纳等于各个支路的导纳之和,所以两并联换流器的小扰动稳定性模型为:

基于以上论述可知,根据单个换流器小扰动稳定性模型快速求解多换流器并联时小扰动稳定性模型,当 n 个换流器并联运行时,各个换流器小扰动稳定性模型为式(4),分别用ΔY1(s),ΔY2 (s),…,ΔYn (s)表示,则多换流器并联的小扰动稳定性模型见式(6),该式表征了电网母线与直流母线间所有的换流器模型。

1.4 直流负荷及直流线路稳定模型
1)直流负荷稳定性模型
本文假定直流负荷功率恒定,直流负荷处的电流为:

式中 PL 是负荷有功功率。对式(7)做线性化小扰动,可以得到直流负荷的输出导纳为:

直流负荷的导纳为负值,表明其具有负阻抗特性,易导致系统不稳定,导纳幅值由负荷有功功率和直流母线电压两者决定。
2)直流线路稳定性模型
在本文中,采用π型集中参数等值电路模型代替直流线路,直流线路导纳 ΔYdcline (s)为:

因此,考虑负荷时的直流侧输出导纳,也即直流侧稳定性模型,表达式为:
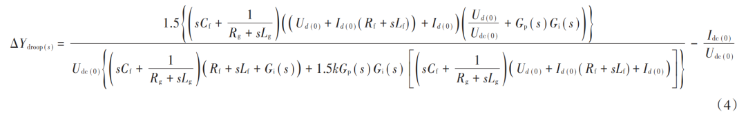
对电压外环控制器在d轴上产生的电流信号参考值Idref及换流器产生的d轴调制解调信号 Pmd 作小扰动, 并联立式(2)和式(3),可得单个换流器交流侧的输入导纳,即小扰动稳定性模型表达式 ΔYdroop (s)如式(4)所示:


以图1中的直流母线为源荷分界点,多换流器并联的交直流互联配电系统的传递函数为直流侧负荷及线路的输出导纳与换流器交流侧输入导纳之比,式(11)为交直流配电系统稳定性分析的基础。

2 谐振分析方法
2.1 基于频域法的谐振机理分析
随着并联换流器数目的增多,各换流器易表现出不同的导纳特性,换流器与电网导纳间,多个换流器的内环控制器之间、外环控制器之间、甚至是内环电流控制与外环电压控制之间均有可能发生交互耦合作用,引发不稳定现象,导致系统阻尼减小,稳定裕度降低。以图 1两换流器并联系统为例,考虑直流负荷、直流线路影响的等效电路如图4所示。换流器和换流器交流侧电抗器等效为电流源,交流线路阻抗、滤波电容等效为交流侧无源网络,直流负荷 RL、直流线路阻抗 Rs + jLs等效为直流侧输出无源网络。不计直流线路电压损耗,且负荷有功功率为20kW,求得直流有功负荷为8Ω,呈阻性。

当ΔY1(s)和ΔY2(s)相位特性不同,在某一频率处两换流器的动态输入导纳相位差接近 180°时发生交互耦合,出现对应于振荡频率的谐波放大现象,直流母线电压达到临界失稳值,VSC_2侧滤波电感较大是造成谐振的直接原因,因此将VSC_1 看作谐波激励源。此时,图4的电网电源短路,VSC_2 断路,Rg1+jLg1与Rs+RL+jLs并联,由于Rg1(Rg1+jLg1)和(RL+Rs) (RL+Rs+jLs)近似相等,故认为 Rg1和 RL+Rs分得的电压相同,Lg1和Ls同理。所以,振荡回路中Rg1+jLg1与Rs+RL+jLs并联可以改为电阻Rg1、Rs+RL和电感Lg1、Ls分别并联再串联的形式。考虑VSC_1输出电流的RLC并联电路简化模型如图5所示,并联后的阻抗值见式(12)和式(13)。

式中:RN 为交直流线路电阻 Rg1,Rs + RL 并联后的总电阻;LN为交直流线路电感 Lg1,Ls并联后的总电感。首先推导出并联 RLC电路总导纳的标准形式:

由电路原理可知,令式(14)虚部为零,即得到振荡频率表达式为:

将式(12)和式(13)代入,得到两换流器并联系统直流母线电压振荡频率表达式为:

根据式(16),滤波器输出电流受控于给定的电流指令值,因此其电感、电阻值并不改变电路的振荡频率,对系统振荡频率起主要作用的是直流线路、直流负荷、交流线路以及并联电容器参数。另外,换流器的并联数目也不影响振荡频率,主要改变振荡的幅值。
为验证上述论据的正确性,首先根据式(11)在Matlab中表示出单一换流器系统以及两换流器并联系统的传递函数,利用奈奎斯特曲线比较两种模式下系统的稳定性情况,如图6所示,单换流器模式下,直流母线电压未发生失稳;而两换流器并联模式下,奈奎斯特曲线与 x 轴的交点位于 ( -1, j0 )的左侧,理论上会出现失稳现象,具体参数如表1所示。
通过波特图可以进一步分析并联失稳时的频率响应,如图 7 所示,系统在低频段出现谐振峰值,峰值处对应的频率为 8.1 Hz,即为系统的振荡频率。经计算,该值与式(16)求得的 fr 近似相等,说明机理分析是正确的。换流器动态导纳将在 fr 处达到最大值,不满足并网换流器性能优良的必要条件,即换流器输入导纳幅值在各个频率段越小越好[8]。由波特图可知,系统幅值裕度为-2.17 dB,对应的穿越频率 ωx 为 0.798 Hz,谐振峰值处的幅值大于 0 dB,相位小于-180°,因此可以确定直流母线电压是不稳定的,会出现低频振荡。


2.2 时域仿真验证
在 DIgSILENT 仿真软件中搭建如图 1 所示的交直流配电系统仿真算例,参数仍按表 1 设置。仿真时间设置为 5 s,直流母线电压的仿真波形如图 8a)所示,电压表现为正弦式的振荡,随着时间的增加,振荡幅值逐渐增大,3.47 s 后变为等幅的正弦振荡,等幅振荡频率为7.69 Hz,与 2.1 节理论分析所得的结果基本一致。另外,单一换流器配电系统的直流母线电压未出现失稳,仿真曲线如图 8b)所示。


3 直流电压振荡的主要影响因素
3.1 下垂系数对振荡的影响
以两并联换流器系统为例,当下垂系数增大时,根据换流器导纳式(4),输入导纳 ΔY12 (s)的值减小,输入阻抗幅值增大,有利于提高稳定裕度;此外,下垂系数 Kp存在于换流器的外环控制中,其值的增加减弱了两换流器的外环控制器间的动态交互作用,这也意味着交互强弱与下垂系数Kp的大小呈负相关。采用表1中的参数,逐渐增大VSC_1和VSC_2的下垂系数Kp1及Kp2,其余参数均保持不变,下垂系数变化时的奈奎斯特曲线如图9所示。当Kp1=Kp2=5及Kp1= Kp2=6时,奈奎斯特轨迹包围了(-1, j0)点 ,直流母线电压失稳振荡,而Kp1=Kp2=7时,奈奎斯特轨迹未包围(-1, j0)点,即奈奎斯特曲线与x轴的交点位于(-1, j0)点的右侧,系统稳定。随着Kp的增加,系统的稳定性逐渐变好,逐渐由不稳定向稳定过渡,但Kp=7时,奈奎斯特曲线与x轴的交点距离(-1, j0)点较近,故系统的稳定性较差,且换流器下垂系数不宜过大,因此,仅通过调节下垂系数不足以使系统获得较好的稳定性能。

不同下垂系数的直流母线电压时域仿真波形如图10所示,下垂系数对母线电压的振荡频率影响较小,随着Kp的增大,振荡频率略微升高,Kp=5及 Kp=6时,直流母线电压的振荡频率分别为 7.69 Hz和 8.33 Hz。
3.2 交流线路电感 Lg对振荡的影响
交流线路电网电感相对换流器滤波电感来说非常小,极易被忽视。在配电系统中,当传输线路长度超过一定值时,交流线路参数需要考虑。
随着 Lg 增大,换流器动态导纳小扰动幅度增大,两换流器回路间产生越来越多的低频谐波,其含量超过允许上限后,谐波激励源将会迅速接近振荡频率,换流器间的交互愈加剧烈,使换流器直流侧电压出现振荡现象。此外,Lg 增大后产生的低频谐波激励,增强了两换流器内环控制器间的交互作用,使并网谐波电流严重放大,降低了换流器电流控制的有效性,系统稳定性变差。在振荡频率时,换流器自身的导纳较大,网侧导纳相对较小,因此谐波电流只在两换流器间流动,而不会经过电网,导致系统的谐振为低频段的振荡,并且也说明了振荡是由于换流器间的相互作用产生的,与电网侧无关。两并联换流器系统中,同时改变表1中Lg1和Lg2的值,其余参数不变,由图11的奈奎斯特曲线可知,系统的稳定性随着 Lg的增加变得更差。


Lg变化时的时域仿真曲线见图 12,Lg的增加使得直流母线振荡频率略微变化,可以忽略不计,但振荡的幅值却明显增大,总体来说,系统的稳定性变差,电压遭到更严重的破坏,与频域分析结果一致。

4 结 语
本文针对换流器并联运行的直流配电系统的振荡现象进行了研究,将两换流器交互失稳的机理分析简化为 RLC 并联回路振荡频率的求解,并采用频域分析与时域仿真相结合的方法验证机理分析的正确性,主要结论如下:
1)与单换流器模式相比,并联换流器模式不利于直流配电系统的稳定性。并联换流器结构下,滤波电感Lf1 增大到临界值后,换流器输出电流将作为激励构成振荡电路,导致换流器间发生并联耦合使直流侧母线电压振荡,更严重的导致系统崩溃。
2)参数变化会对换流器稳定性模型的小扰动幅值产生影响,当两换流器的下垂系数同时增大时,换流器小扰动幅值减小,有利于实现系统的电流均分以及直流母线电压稳定;然而,当交流线路电感 Lg同时增大时,换流器小扰动幅值也随之增大,加强了两换流器间的耦合,不利于直流电压稳定。
相关推荐:
0人已收藏
0人已打赏
免费2人已点赞
分享
电气工程原创版块
返回版块2.2 万条内容 · 598 人订阅
阅读下一篇
熔断器的种类分类、结构、以及工作原理和选型!知识点:熔断器 1、简介 熔断器是根据电流超过规定值一段时间后,以其自身产生的热量使熔体熔化,从而使电路断开;运用这种原理制成的一种电流保护器。熔断器广泛应用于低压配电系统和控制系统以及用电设备中,作为短路和过电流的保护器,是应用最普遍的保护器件之一。 熔断器是一种过电流保护器。熔断器主要由熔体和熔管以及外加填料等部分组成。使用时,将熔断器串联于被保护电路中,当被保护电路的电流超过规定值,并经过一定时间后,由熔体自身产生的热量熔断熔体,使电路断开,从而起到保护的作用。
回帖成功
经验值 +10
全部回复(0 )
只看楼主 我来说两句抢沙发