知识点:滤波器
1、二阶压控低通滤波器
二阶压控低通滤波器电路如图所示,由R1、C1 及R2、C2 分别构成两个一阶低通滤波器,但C1 接输出端,引入电压正反馈,形成压控滤波器。

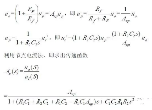
(1) 传递函数

(2) 频率特性

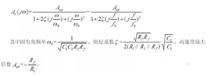
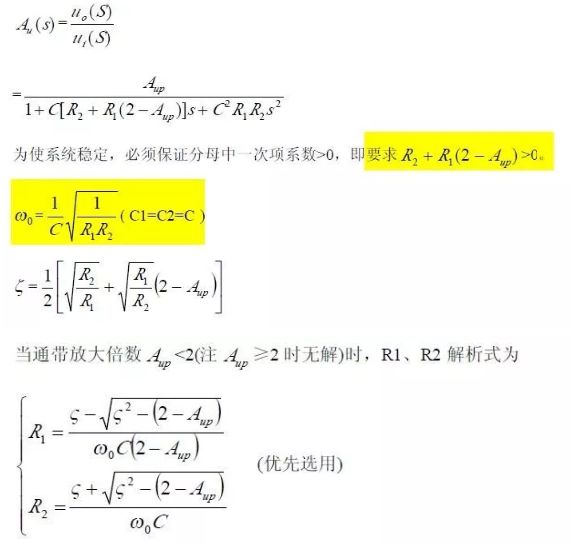
可见该低通滤波器特点是阻尼系数ζ 由电阻R1、R2,C1、C2 的比决定;而固有频率ω0与R1、R2、C1、C2 具体数值有关,即ω0与ζ 独立可调,互不影响。
(3) 参数选择
为方便参数匹配,考虑到标称电容种类较少,一般选择C1=C2=C。通过选择不同的R1、R2 满足特定的固有频率ω0 、ζ 。



2、单位增益二阶压控低通滤波器
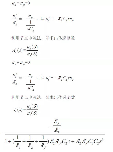
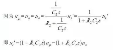
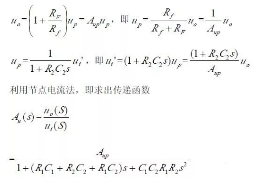
对于二阶压控低通滤波器来说,当通带放大倍数Aup =1(单位增益)时,图所示电路变为图所示,其中RF=R1+R2。

(1) 基本关系

(2) 传递函数

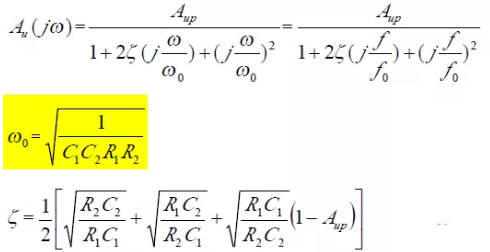
(3) 频率特性参数


(4) 参数选择
在固有频率ω0 、阻尼系数ζ 已知情况下,设计步骤如下:


(1) 传递函数

(2) 频率特性


(1) 传递函数

(2) 频率特性

相关推荐:
0人已收藏
0人已打赏
免费2人已点赞
分享
电气工程原创版块
返回版块2.2 万条内容 · 598 人订阅
阅读下一篇
回火的原因及回火防止器原理知识点:回火防止器 在火焰加热和焊接中,通常会产生燃气回烧、回火问题,给企业的用气安全带来威胁。通常需要回火防止器来避免回火问题造成实质性危害,但回火防止器的使用有一定的寿命,我们也可以从使用的角度来减少回火问题的发生。 回火问题的产生一般都是由混合气的配比不正确造成的。燃气和氧气由喷火嘴喷出的速度小于燃气燃烧的速度,火焰就会转到加热炬(也有叫加热器,下同)内部燃烧,主要可能的原因如下: 第一,气体压力不足导致的限流
回帖成功
经验值 +10
全部回复(0 )
只看楼主 我来说两句抢沙发