摘要
文章首先阐述了钢筋混凝土水池的研究现状,其次介绍了水池结构荷载及基本工况组合,接着分析了水池结构设计中混凝土裂缝的控制措施,最后总结了水池抗浮设计中存在的问题及解决方法,并结合盘锦市某污水池对钢筋混凝土水池进行了抗浮计算。
关键词:钢筋混凝土水池(RCP);荷载;裂缝;抗浮
引言
随着工程技术的迅猛发展,越来越多的钢筋混凝土水池(Reinforced Concrete Pool,简称RCP)得到广泛应用,特别是在污水与工业废水的处理过程中,水池扮演着不可或缺的重要角色[1-3]。在对水进行处理过程中,水池的投资比例不容忽视,水池结构设计的科学性、合理性对于整个工程的运营成本有着巨大影响[4-5]。
RCP属于特种结构范畴,设计人员往往要结合项目所在地区的水文地质条件等开展工作。在水池设计工作中,不仅要处理好RCP裂缝、抗浮等问题,而且需提高水池结构的整体性、耐久性,并做好水池结构的相关计算[6-8]。
01
钢筋混凝土水池的研究现状
大连交通大学朱媛媛[9]的硕士学位论文中对RCP结构国内外研究现状进行了综述,分析了RCP结构的基本理论,包括RCP荷载与荷载组合、RCP设计计算原理和理论修正;基于有限元软件ANSYS模拟了RCP池壁裂缝宽度、水池底板裂缝宽度和加型钢暗梁水池底板裂缝宽度,并对数值模拟结果加以分析。穆凯旋[10]的研究发现,国内设计规范中RCP结构最大裂缝宽度计算公式计算结果与实际工程中裂缝宽度实测值存在差异,并对现行规范中RCP结构最大裂缝宽度公式提出了修正意见,进行了进一步的研究。李著策等[11]从设计、施工和使用等方面解释了RCP上浮的原因,分析了水池上浮的机理,探讨了水池抗浮设计的抗浮方案,并对不同抗浮方案(配重抗浮、降水抗浮和设观察井抗浮等)的应用范围、合理性和经济性进行了比较。基于此,本文将根据RCP结构在目前运行中所面临的问题加以分析和研究,对某水处理工程项目中的污水池进行抗浮计算。
02
水池结构荷载及基本工况组合
在RCP结构设计中,应按照《给排水工程钢筋混凝土水池结构设计规程》(CECS 138:2002)等相关规定检验水池在正常使用极限状态下的挠度、裂缝及承载能力极限状态下的配筋等验算。
针对RCP结构荷载,主要考虑永久荷载、可变荷载两部分。永久荷载包括结构及设备自重、池顶覆土重、土体的竖向及侧向压力、池内的水压力及物料压力,而可变荷载一般包含池顶活荷载、设备检修荷载、地面堆载、雪荷载、浮力、温湿度荷载等。其中,针对池内水的侧向压力一般按满水工况考虑,池内水压力呈三角型分布;针对池外侧土压力需根据朗肯土压力理论,按主动土压力计算,若设计抗浮水位在水池底板以上,则主动土压力按地下水以上和以下分别计算,并分土层叠加计算[12]。
当水池墙外的地面上有额外的荷载时,在额外土压的计算过程中,应根据地面上附加荷载的类型和分布情况进行相应的调整。而温度荷载是由于温湿度变化、工艺使用要求、混凝土水化热等因素导致池体自身变形与约束产生冲突而产生的应力,温度荷载很容易使池体产生裂缝,从而影响使用。因此,对于环境温度变化大且比较敏感的水池结构,温湿度荷载计算亦是必不可少的,具体计算可参考《给排水工程钢筋混凝土水池结构设计规程》(CECS 138:2002)中第4.3.5条和《石油化工钢筋混凝土水池结构设计规范》(SH/T 3132—2013)中第6.4条。另外,在水池结构计算中可不考虑风荷载及竖向地震影响,设防烈度为6、7度的水池及8度时的地下式、半埋式水池和地面圆形水池则不考虑水平地震影响。
在RCP结构设计中主要考虑以下三种工况组合,具体如表1所示。其中,组合3为水池正常工作运行阶段,组合1、2分别为水池结构主体完工后回填土前试水状态和使用检修中排空水状态。一般情况下,通常需验算内力最大的最不利组合1、2,若不能确定该工况是否为最不利工况时,应进行全面验算出现的各种工况。

03
水池结构设计中混凝土裂缝的控制措施
由于RCP规模的不断扩大、内部构造多样化、布局综合化,裂缝的预防和控制成为了水池结构设计整个工作的重点。RCP裂缝基本分为外荷载产生的结构性裂缝和由温度作用、变形变化、不均匀沉降等引起的非结构性裂缝两种,水池的裂缝主要根据《给排水工程钢筋混凝土水池结构设计规程》(CECS 138:2002)中附录A和《混凝土结构设计规范》(GB50010—2010)(2015版)中第7章内容进行确定,然后根据水池的盛水性质、使用功能参考《工业建筑防腐蚀设计标准》(GB/T50046—2018)中的要求进行最大裂缝宽度的计算。根据混凝土收缩以及温度应力的本质,水池结构裂缝控制分为“抗”与“放”。在工程中向混凝土施加应力约束变形从而达到减少裂缝产生的方法为“抗”;通过释放混凝土收缩变形,减少约束应力而达到减少混凝土裂缝的方法为“放”。水池结构设计主要遵循“抗放兼施,以抗为主”的原则分了以下几种控制措施和设计思路。
(1)优化结构构造。合理的结构布置是控制裂缝的前提,在RCP结构设计中可以通过设置腋角、增设转角处钢筋和底部加强筋来加强水池转角处的刚度和抗裂度,在满足设计要求的前提下合理选用较小直径钢筋和减小钢筋间距,延缓裂缝的产生、减小裂缝的宽度。
(2)做好预应力钢筋混凝土结构设计。针对大型的RCP结构设计,施加预压应力或者设置预应力钢筋也可以达到控制裂缝的效果。这是因为预压应力以及钢筋与混凝土之间产生的粘结力可以抵消部分侧土压力、温度应力和由收缩产生的拉应力,从而可以减少并控制水池裂缝的产生。
(3)优化原材料。在设计大型RCP水池结构时,当满足泵送坍落度条件时,应将水灰比降至最低,增大骨料含量,选择合理的配合比,并采用低热水泥(例如低热矿渣硅酸盐水泥等)。同时,在混凝土中加入外加剂,以提高混凝土的和易性,降低水化温升速度和温峰高度,有效控制并减小温度裂缝。
(4)设置后浇带、膨胀加强带。为了减少RCP结构的裂缝,在设计大型RCP结构时可设置后浇带或膨胀加强带,这样可大大降低混凝土分段浇筑硬化过程中的水化热,避免产生较大收缩应力,遵循了裂缝控制中“放”的原则。同时,设计RCP主体结构时可直接选用补偿收缩混凝土,与普通混凝土不同,补偿收缩混凝土中的膨胀剂可以抑制混凝土硬化过程中的收缩,并在混凝土中产生一定的压应力,从而延长了RCP的伸缩间距、提高了RCP的抗裂能力。在设计RCP结构时若选用膨胀加强带,则可分为三种方式,分别为连续式、间歇式和后浇式三种,如图1、2、3所示。连续式是指同时浇筑膨胀钢筋带位置的混凝土和两侧混凝土;间歇式是指钢筋带位置混凝土与一侧混凝土同时浇筑,而另一侧是施工接头;后浇式则与常规后浇带形式一致。膨胀加强带通过增大混凝土内部压应力来抵抗养护期混凝土的收缩变形,可以有效防止混凝土硬化过程中产生的收缩裂缝。

图1 连续式膨胀加强带

图2 间歇式膨胀加强带

04
水池抗浮设计中存在的问题及解决方法
当场地内有地下水或抗浮设计水位较高时,若水池体积较大,则相应的浮力也会较大,若在空池的运行工况下,水池则会轻易上浮;同时,由于突发性暴雨,地下水位可能会突然上升,也可能导致水池出现上浮;此外,如果施工过程中没有严格按照要求进行施工降水,水池亦会上浮。鉴于上述上浮原因,在RCP结构中可采用以下措施进行抗浮设计。
4.2 水池抗浮设计方法
(1)自重抗浮。在抗浮设计中,可以利用RCP自身的重量来进行抗浮,在特殊情况下可以加厚水池壁板和底板的厚度。由于水池自重的增加,水池的体积可能会相应增大,浮力也会相应加大,因此在不具备采用其他抗浮措施或者水池自重与水浮力相差较小的情况下,才建议使用此种方式进行抗浮。根据工程经验和实践,当RCP重量与水浮力之差小于10%时,该方法具有良好的经济性。如果RCP自身重量和水浮力之间差值约15%时,考虑到抗浮系数和池体加大后新增的浮力,在不减小池容的前提下,池体需要增大25%以上的重量才能满足抗浮要求,此时应考虑采取其他抗浮措施,以达到经济合理的目的。
(2)配重抗浮。针对配重抗浮,一般是通过增加RCP本体外的重量来进行,但不包括设备荷载、安装荷载等重量。配重抗浮措施包括压重抗浮和池底配重抗浮两种。压重抗浮是通过在RCP池内、池顶板或底板外挑增重进行抗浮,一般可在池内浇筑细石混凝土等材料来进行抗浮,由于池内净高度的限制,此种做法会增加RCP结构高度,同时也会加大基坑的开挖深度。若采用池顶板覆土的抗浮措施,则需要考虑顶板附加荷载,加大池顶板配筋。RCP底板外挑可利用底板上覆土或砌体来进行抗浮,底板外挑可能会对邻近的构筑物产生一定的作用,所以此措施适用于中小型RCP的抗浮。池底配重防浮是将配重混凝土垫设置在RCP底板下方,将其与锚肋连接到底板,并通过底板与配重混凝土的可靠连接满足防浮要求,但需要注意在进行施工时应避免底板与配重垫层缝隙过大,防止配重垫层与池底板脱开引起的抗浮失效。
(3)抗浮桩。针对抗浮桩,主要利用桩与土的摩擦力来抵抗浮力,所以一般无需打入岩石等硬土层。另外,由于大部分RCP为筏板基础,若单桩抗拔力过大,对水池底板的集中荷载作用较大,须采取对底板局部加强或改变底板的结构形式,这样会增加造价,故宜选用桩径较小、单桩抗拔力相对较小的桩为抗浮桩[13]。在RCP的抗浮设计中,应根据水文地质条件、水池的结构特点和施工现场环境采取合理的抗浮措施。当抗浮系数与规范允许值相差较大,且场地有较厚的软土层时,通过工程桩实现水池抗浮是一种经济合理的措施。在采用抗拔桩时,不仅要验证桩基础的整体稳定性,还要将桩土作为整体的抗浮体系,避免群桩效应导致整体抗浮承载力小于水浮力而发生整体破坏。此外,还应检查抗拔桩承载力与中间支承区水浮力的关系,避免单桩拔出的非整体破坏。在采用预应力高强混凝土管桩作为抗拔桩时,需注意加强桩与承台的连接,保证桩接头的有效性,避免出现抗拔失效的情况。
(4)人工排水法。除了上述抗浮方案外,还可采用人工降排水法进行抗浮[14]。通过在池底部设置一定厚度的砂砾石水过滤层,在工程基坑周围设置盲沟和井点,并配置一定的抽水设备,不断抽走地下水,使基坑范围内的地下水减少到设计深度。常用的基坑排水法共分为明沟排水法、井点降水法、盲沟排水法三种。其中,明沟排水方法是将流入沟渠或基坑的地下水收集到集水井中,然后抽走。在开挖地基低或水量少的沟渠或基坑时,可以使用明沟排水的方法。井点降水法是在基坑开挖前在基坑周围埋设一定数量的滤水管(井),并利用抽水设备抽水,使开挖的土壤保持干燥状态的方法。盲沟又称暗沟,盲沟排水法是在地基上设置碎石、砾石等粗料并铺设有倒置过滤层(其中有的埋有透水管道)排水、截水的暗沟。在盲沟排水中可以根据地下工程的外轮廓布置管网,确定盲沟结构防过滤层的选择以及盲沟与基础之间的最小距离,从坑壁、坑底渗出的地下水,经排水沟汇集到排水井内,并由水泵排出坑外。
05
工程实例
盘锦市某污水池平面尺寸为25 m×42 m,高4.2 m,埋深4.5 m,底板厚度500 mm,壁板厚度为300 mm,顶板厚度为200 mm,底板外挑长度为500 mm。柱间距为3.35 m×3.05 m,场地类别II类,抗震设防烈度7度,地震加速度0.10 g,抗震设防标准丙类,基础设计等级丙级。
场地自上而下存在杂填土、粉质粘土夹粉土、粉砂、粉细砂等土层。场地地下水类型主要为潜水及弱承压水,地下水位埋深较小,根据地区经验,水位变幅1 m左右,历史最高水位在地表附近,抗浮设计水位取室外地坪。

根据以上计算,RCP的抗浮系数远小于规范允许值1.05。水池整体抗浮和局部抗浮不符合要求。因此,需要增加抗浮措施以抵抗水浮力。在整体抗浮和局部抗浮计算中,抗浮重量与水浮力相差约35%,相差较大。通过增加自重抗浮,结构截面尺寸将过大,最小配筋率将会增加。因此,针对污水池采用直径400 mm的预应力混凝土管桩进行抗浮设计。在进行桩基设计时应分别进行抗压和抗拔计算,并取最不利的结果。
在抗压计算中,根据场地土层空间分布及物理力学强度综合分析,桩端持力层选择粉细砂层,桩长9 m,桩端进入持力层不小于1 m。经计算,单桩竖向承载力特征值Ra=460 kN,考虑到水池满水工况下运行时,水池总重G=91 470 kN,总桩数n=198,实际桩数为228根。
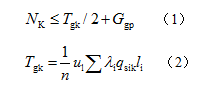
在抗拔计算中,桩基的抗拔承载力破坏可能呈现非整体破坏或整体破坏模式,对两种形式破坏的承载力均应进行验算。按照桩长9 m计算基桩的抗拔承载力特征值,抗拔系数取0.7。根据《建筑桩基技术规范》(JGJ 94—2008),整体破坏时基桩抗拔承载力应满足:

计算可得=360kN,桩土自重=355kN,标准组合下桩基承受的拔力:
,
,故桩基不会发生整体破坏,水池抗浮满足要求。
根据JGJ94-2008,非整体破坏时基桩抗拔承载力应满足:

计算可得=430kN,桩土自重=28.6kN,由
可判断桩基不会发生非整体破坏,水池抗浮满足要求。
06
结语
本文对目前钢筋混凝土水池(RCP)结构研究和应用中存在的问题进行了分析和探讨,并结合某污水处理站工程污水池进行抗浮计算,得出以下结论:
(1)RCP荷载的种类及分布情况对水池的整体受力影响差别较大,一般需验算内力最大的最不利工况组合,若不能确定是否为最不利工况,应全面验算可能出现的各种工况。
(2)对于结构性裂缝应通过结构分析或是结构设计来加以控制,对于非结构性裂缝可以通过设置后浇带、加强带、优化原材料等构造措施进行控制。在设计中,只有尽可能多地考虑裂缝的成因,通过采取各种措施消除隐患,才能最大限度地控制好RCP裂缝。
(3)在RCP的抗浮设计中,应根据水文地质条件、水池的结构特点和施工现场环境选择合理的抗浮措施。当抗浮系数与规范允许值相差较大且场地有较厚的软土层时,通过工程桩实现水池抗浮是一种经济合理的措施。同时,采用预应力高强混凝土管桩作为抗拔桩时,还应注意加强桩与承台的连接,保证桩接头的有效性,避免出现抗拔失效的情况。
知识点:钢筋混凝土水池的优化设计
0人已收藏
0人已打赏
免费3人已点赞
分享
水池水塔烟囱设计
返回版块1.2 万条内容 · 149 人订阅
回帖成功
经验值 +10
全部回复(3 )
只看楼主 我来说两句-
d113375743
沙发
2023-06-16 14:52:16
赞同0
-
天地不言
板凳
2023-05-15 10:57:15
赞同0
加载更多现在主流结构软件都有水池的整体建模和分析了。
回复 举报
文中提到的两个水池设计规范都是现行版本,文章内容详实、分析透彻,值得我们认真学习,工作中很好的参考资料。
回复 举报