随着国内大部分受纳水体的环境容量变小,以及愈加严格的环境政策,越来越多的市政污水处理厂出水水质要求达到《城镇污水处理厂污染物排放标准》(GB 18918-2002)的一级A标准,并有进一步提高标准的趋势。按照《室外排水设计规范》(GB 50014-2006)建议的生物脱氮的污水碳氮比BOD5/TKN>4,目前我国不同地区均存在原水碳源不足、碳氮比低的情况,氮磷达标排放存在难度大和达标成本高的问题。
国内大部分市政污水处理厂采用AAO、氧化沟、SBR等3大类工艺及其变形工艺,主要为生物脱氮除磷方式。反硝化脱氮和生物除磷涉及的微生物大部分是异养细菌,对碳源有竞争,当进水碳源不足时,该矛盾尤其突出。为保证出水达标,通常采用外加碳源的方式提高脱氮除磷效率,增加化学除磷措施保障出水TP达标,两类药剂的投加增加了污水处理成本。因此开发适应低碳源进水的高效低耗脱氮除磷技术具有重要意义。低碳源污水处理可以通过优化工艺参数和控制方式,提升原水碳源的利用效率,从而强化生物脱氮除磷效果并节约运行成本。当系统原水碳源不足以完成脱氮要求时,需要投加外部碳源。针对外加碳源的优化控制方式包含碳源种类的筛选、投加点位的选择和投加量精细化等。
本文对国内不同地区的污水处理厂进水碳源情况进行了统计和调研;针对原水碳源不足的水厂采用不同的技术手段进行了试验研究和工程应用,从工艺优化与碳源高效利用等方面分析提出了低碳源市政污水高效达标的技术措施。
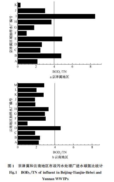
为研究不同地区市政污水的碳源情况,分别选定京津冀地区和云南地区的典型污水处理厂进水进行统计分析。京津冀地区的11座市政污水处理厂原水BOD5/TN不足4的有8座,占72.7%,见图1a。南方市政污水的碳氮比较北方更低,对云南地区的13座污水处理厂的进水进行分析,见图1b,只有一座污水处理厂的进水BOD5/TN超过4,低碳氮比污水占比达到90%以上。郭泓利等选取国内分布在19个省市自治区的127 座污水处理厂的进水水质进行了统计分析,80%的污水处理厂BOD5/TN<3.6,仅10%的污水处理厂大于4。韦启信等基于住房和城乡建设部城镇污水处理数据管理系统的水质数据也表明,我国70%左右的城镇污水处理厂进水BOD5/TN低于4,且南方城市较北方城市碳氮比更低。因此碳源不足的问题在全国范围内普遍存在。

2.1 传统工艺的改良
改良型的AAO、氧化沟和SBR工艺,是在传统工艺的前段增加一段预缺氧区(SBR工艺是在时间顺序上增加一段缺氧反应时间),主要目的是将外回流带来的NO-3-N在此区域进行反硝化,为后段的厌氧释磷创造更好的厌氧环境;同时预缺氧段进水中的原水有机物进行一定程度的水解后,更容易被聚磷菌利用。同时,增加预缺氧区,原水在碳源分配上将具有更多的选择性,有利于污水处理厂在运行时摸索出最佳的碳源分配方式,将原水碳源利用最优化。
深圳某20万m?/d的改良AAO工艺项目中对预缺氧/厌氧的进水比进行了试验研究,结果见图2,在其他工艺条件不变的情况下,预缺氧/厌氧配水比从2降低到1的过程中,溶解性COD在厌氧和缺氧段的浓度下降趋势增大、出水的NO-3-N浓度基本维持稳定、而出水TP浓度逐渐降低。表明在该配水比范围内,随着厌氧进水量的增大,厌氧释磷效果增强,并可维持反硝化效率,原水碳源利用率逐渐升高。当继续降低预缺氧/厌氧进水比到0.5,厌氧释磷达到最大,出水TP进一步降低,但出水NO-3-N升高,当该比例降低到0.2时,出水TP和NO-3-N均升高,并且预缺氧段和厌氧段的NO-3-N浓度明显升高,破坏了厌氧环境,影响除磷效果。


综上所述,改良的AAO工艺通过调整进水比例,在不增加外部碳源的条件下,可较大程度地增加工艺过程的氮磷污染物去除效率。该措施已经在多个项目中进行应用和推广,获得了良好的效果反馈。
2.2 分段进水的技术措施
分段进水是在传统生化处理工艺上的进一步改进,主要目的是通过进水在沿程方向上的分布,精细化利用原水碳源。目前分段进水大多用于多级AO工艺和改良的AAO工艺中,多级AO分段进水中前一段原水的硝化产物直接进入下一段缺氧区进行反硝化,因此可以较大程度地减少硝化液回流,提高TN理论去除效率并节约能源,但该工艺难以形成稳定的厌氧条件,在提高TN去除的前提下,牺牲了TP的去除效果。在改良的AAO工艺中实施分段进水,可一定程度上平衡TN和TP去除对碳源需求的矛盾。
山东济南某AAO工艺市政污水处理厂分三期建设,规模分别为1万m?/d、2万m?/d和3万m?/d,进水BOD5/TN长期小于3,为了改善脱氮效果,该厂二期进行了分段进水的改造。实施方式是将进水分配到厌氧段和缺氧段,缺氧段沿程在池前端和中部进一步分为两部分进水,使缺氧进水更加均匀地分布在整个池内,增加混合程度,提高反应效率。表1的数据表明,在没有外部碳源投加的情况下,分段进水可以将系统TN去除率提升15%以上。

同时,针对冬季和夏季的不同气候条件和进水条件,研究了通过调整缺氧和厌氧段不同的进水比例提高效率的途径,结果表明分段进水配比对出水TN和TP有较大影响。冬季当缺氧池进水比例在20%~50%范围内时,二沉池出水TP偏低,平均1.7 mg/L左右,但出水TN偏高,当缺氧池进水比例提升至70%~80%时,二沉池出水TP平均值升至2.1 mg/L左右,但出水TN可以稳定达标排放;夏季进水TN较冬季略低,因此缺氧池进水比例降至50%左右,此时出水TN可以稳定达标(<15 mg/L),生化池出水TP可以达到1.6 mg/L左右。因此,可以根据不同情况,灵活调整运行方式,在保证出水达标的前提下,最大化利用原水碳源。
2.3 运行参数的优化
系统DO控制对生物脱氮除磷效率和碳源优化利用有一定的影响。缺氧区和厌氧区对氧化还原电位的严格要求和硝化反应池对好氧环境的要求存在矛盾,在回流比确定的前提下,控制好氧池末端DO值,进而确保在硝化完全的前提下内回流携带更低的DO是平衡上述矛盾的关键。
广东省某污水处理厂采用前馈补偿-多参数串级控制精确曝气系统,针对污水处理厂运行特点仿真模拟获得生化需氧模型的特征参数和补偿参数,应用于曝气量计算并精确控制,可以实现好氧池出口DO(2.0 mg/L±0.5 mg/L)的稳定控制,有效避免波动过程中高DO浓度的混合液内回流对系统脱氮除磷厌氧和缺氧环境的影响。山东济南某污水处理厂的AAO工艺采用智能化“前馈+反馈”控制方式,对污水处理厂进水负荷、生物处理运行参数以及出水水质参数进行实时采集与监控,建立符合该污水处理厂实际工艺的在线水质模型,进行曝气工艺关键运行参数的最优化计算与全自动设备联动控制,可较稳定地控制生化池末端的DO。监测了出水TN与生化池末端DO的关系(见图3),随着生化池末端DO降低,生化系统TN浓度也相应降低,且具有良好的相关性,当生化池末端DO由2.5 mg/L降低到1.5 mg/L以下时,出水TN浓度由10~14 mg/L降低到10 mg/L以下。

同时,在好氧池末端增加脱气区也是有效的DO控制手段,可将回流混合液的DO进一步降低,为反硝化创造良好的氧化还原电位条件,降低DO对进水碳源的消耗。在山东济南某污水处理厂的二期AAO工艺的好氧区末端增加水力停留时间为0.5 h的脱气区,对比厂内采用相同的工艺但未设置脱气区的三期,在相同的进水条件下,二期TN去除率和出水TN浓度均好于三期,见图4。

3.1 外部碳源的筛选
外部碳源根据其来源可分为两大类:包括甲醇、乙酸、糖类等有机物的传统碳源;工业废水、垃圾渗滤液等有机污水碳源。不同有机物在生化系统中具有不同的代谢途径,导致相应的利用效率具有差异性,碳源来源和经济性也是筛选中重点考虑的因素。有机污水碳源的利用具有地域性和项目特殊性,因此一般市政污水处理厂多选择甲醇、乙酸/乙酸钠或葡萄糖。利用北方4个不同市政污水处理厂的活性污泥进行反硝化速率试验,评价不同污水处理厂污泥对碳源的利用效率,见表2。结果表明,4个不同污水处理厂的活性污泥对不同的碳源表现出不同的反硝化速率,并且具有较大差异,但外加乙酸钠的反硝化效果均是最佳,葡萄糖和甲醇的反硝化效果则视不同污泥来源而异。夏琼琼等的研究也表明乙酸作为反硝化碳源的反应速率高于甲醇、葡萄糖和乙醇,但也有研究表明甲醇作为碳源的反硝化速率和脱氮效果要好于乙酸钠。因此,在进行碳源选择时,应根据实际项目采用上述方法进行试验,最终结合经济效益综合筛选最优碳源。

3.2 碳源投加方式的优化
针对补充外部碳源的二级生化处理脱氮,大部分污水处理厂采用在缺氧池投加的方式。投加量的精准控制是节省成本的重要方向。碳源精确投加系统可以实现电气柜就地控制、远程点动控制和远程自动控制,具有碳源自动化投加和专家库投加等混合投加模式,以流量为前馈、水质仪表参数为反馈的控制模型进行控制。在北京某市政污水处理厂(AAO工艺,规模3万m?/d),采用并联运行的两组生化池,分别用碳源精确投加系统和人工调节操作控制碳源投加,对比TN的处理效果。如图5所示,进水TN浓度波动较大(23.5~57.6 mg/L),由碳源精确投加系统控制碳源投加量的生化池出水TN全部达标(<15 mg/L),且波动范围与人工投加系列相比较为平稳。由于碳源精确投加系统可根据处理水量及NO-3-N反馈浓度,实时调节外加碳源投加量,并在硝酸盐浓度低于一定值时,停止外加碳源的投加,数据统计周期内,采用碳源精确投加系统的碳源投加量较人工投加量降低32.1%。因此碳源投加的精确化控制对于保证出水TN浓度稳定达标并降低投加量具有较好的实际应用效果。

我国市政污水普遍存在的低碳源特性使得污水处理厂强化脱氮除磷的难度增加。试验研究和工程实践表明,可以通过原水碳源高效利用和外部碳源筛选及精确投加等两大类技术手段加以解决。在不大幅实施改造与增加投资的前提下,可对传统AAO工艺进行改进,采取增加预缺氧段,实施分段进水并优化控制进水比例,控制好氧池出水DO等措施,在生物脱氮除磷对碳源需求的矛盾中找到最佳平衡点,提高原水碳源利用效率。当通过以上手段仍不能实现稳定达标,需要投加外部碳源时,通过试验测算不同种类碳源的反硝化速率是评价碳源利用效率的有效手段;碳源精确投加系统可在保证TN达标的前提下有效地节省外部碳源投加量,实现高效低耗达标。因此,应根据不同项目的具体特点,在适用的边界条件范围内,选择最优的技术手段或技术组合。
内容源于给水排水,旨在分享,如有侵权,请联系删除
相关资料推荐:
https://ziliao.co188.com/p49156710.html
知识点:低碳源污水处理优化运行的研究与工程应用
0人已收藏
0人已打赏
免费4人已点赞
分享
中水处理回用
返回版块9852 条内容 · 214 人订阅
阅读下一篇
国际常用污水处理指标及其适用性分析污水处理监管指标对行业管理的健康发展起到至关重要的引导和指挥作用。分析国际常用污水处理指标的内涵、优势及其在我国的适用性,研究提出国际常用指标在我国推广应用还需考虑纳管管理、管网质量、流动人口、统计方式等问题,建议我国在监管指标的设置上“质”、“量”并重,采用污染物收集处理总量与污染物产生总量比值的方式核算污水收集处理效率。
回帖成功
经验值 +10
全部回复(1 )
只看楼主 我来说两句 抢板凳好资料,对于污水处理厂运行有很好的参考作用,学习啦,谢谢楼主分享
回复 举报