导读:
以概率模型和已有观测数据为基础,得出管道可靠度与管径、管道长度关系的曲线图,提出了提高管道可靠性的措施;建立了预作用/雨淋阀、消防水泵可靠性模型,提出了提高预作用/水幕系统可靠性的措施。利用可靠性模型,分析了北京大兴国际机场航站楼3种整体消防供水方案的可靠性;分析了不同水灭火设施合用与分设消防泵和供水管网的可靠性,为方案比选提供了重要参考。
0 引言
通过对建筑消防供水系统可靠性的研究,可以分析系统可靠性的主要影响因素并提出提高水灭火系统可靠性的措施;通过建立可靠性数学模型,可以帮助大体量建筑中复杂的消防水灭火系统进行方案比选。可靠性的研究兴起于20世纪中期,最早应用于军事领域,随后在电力系统和电子领域得到广泛应用,以电子产品作为研究对象,产生了可靠性数学模型。系统无故障工作的概率为可靠度(用R表示),R为时间t的函数。关于可靠性模型,前人已有介绍,此处不再赘述。以往的研究中,对于消防供水管道的可靠性按照不可修复系统考虑,与实际情况不符;对于控制方式对系统可靠性的影响研究不多;对于消防供水系统可靠性的判定标准不一;应用可靠性模型分析大体量建筑消防供水系统可靠性的应用案例不多。本研究旨在解决以上问题,并为北京大兴国际机场航站楼消防供水系统设计、维护、保养提供重要依据。
1 系统组件的可靠性研究
1.1 消防供水管道的可靠性研究
1.1.1 修复率对管道可靠度的影响
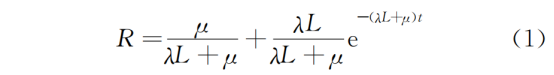
消防供水管道应按照可修复系统考虑,其可靠度既是管道故障率λ[次/(年·km)]、管道长度L(km)和使用年限t(年)的函数,同时也是管道的修复率μ(次/年)的函数。修复率是指时间达到某一时刻尚未修复的产品在此后单位时间内完成修复的概率。当故障密度和修复密度同时服从指数分布时(故障率为λ、修复率为μ),管道的可靠度函数见式(1):

以1 km长的DN150消防管道为研究对象,其故障率为2.17,当使用年限为50年时,管道可靠度与修复率的关系如图1所示。可以看出,当管道修复率达到40次/年时,管道的可靠度可以达到0.95,修复率继续增加,对管道可靠度的提高已不再明显。此时,修复时间为365/40=9.2(d),其含义可近似理解为,在上述条件下,发生故障的管道在9.2 d内可以完成修复,可见管道的修复率与维修单位的数量和工作效率有关。

1.1.2 消防供水系统中管道的可靠度探讨
对于式(1),当计算年限足够长时,第二项趋近于0,即:

对式(2)应用泰勒展开式,

当μ取40次/年时,对于1 km的管道,λLμ=0.054,λLμ2=0.003<<1,因而上式第三项以后可以近似为0,式(2)可推导为:

即管道的可靠度与管道的长度呈线性关系,斜率为λ/μ。对于DN250、DN200、DN150的管道故障率分别取1.16、1.51、2.17,使用年限按照设计年限50年计算,修复率取40次/年,得出管道的可靠度与管道长度、管径的关系。2路供水的管道属于并联系统,应用并联系统可靠度公式,R并=1-(1-R)2=1-λLμ2,见图2。

从图2中看出,管道的可靠度随管径的增加而增加,随管道长度的增加而降低。当采用2路供水时,1 km长DN150的管道系统的可靠度可以达到0.995以上。
1.1.3 提高管道可靠度的措施
(1)保证故障管道的修复率。根据1.1.1节的讨论,建议保证管道故障的修复率不低于40次/年,即管道故障的修复时间不宜超过9 d。在单连锁预作用自动喷水灭火系统(也称喷淋系统)中,现行《自动喷水灭火系统设计规范》(GB 50084-2017)中并未规定设置气压检测装置,建设单位出于造价和维护性考虑,往往会要求设计院取消气压检测装置,这会导致配水管道的故障不能及时发现和修复,因此建议在重要的场所,采用单连锁预作用系统时,应设置气压检测装置。
(2)合理控制支状管道的长度。在自动喷水灭火系统中,报警阀前的管道采用双路供水,其后的管道一般采用1路供水。将报警阀间分散设置,如图3所示,可以减少报警阀后支状管道的供水距离,既提高了管道的可靠度,又避免了报警阀设置过于集中导致报警阀间附近管线综合压力大的问题。
1.2 消防供水设备的可靠度探讨
1.2.1 雨淋阀的可靠度分析
雨淋阀不同于湿式或干式报警阀,其需要外界提供启动信号才能开启。雨淋阀常应用于开式或预作用系统中,图4所示为预作用(双连锁)和湿式喷淋系统配水侧的可靠性示意。可见,预作用系统可靠性的影响因素相比于湿式系统更多,其中火灾探测器与火灾报警控制器之间通过总线传输信号,其可靠性较机械装置和专用控制线路低,另外火灾报警控制器需要经过逻辑判断才能发出启动电磁阀的信号。因此,预作用系统可靠性远小于湿式系统。
1.2.2 临时高压系统消防水泵的可靠度分析
临时高压系统需要通过消防水泵向管道供水。消防泵的可靠度受水泵本身可靠度(RP)、消防电源可靠度(RE)、启泵信号的可靠度(RC)和切换装置的可靠度(RM)的影响,即:

式(4)为单泵无备用系统,式(5)为1用1备,式(6)为2用1备。RE取决于消防供电负荷和配电形式;RM取决于控制柜;RP取决于电机和水泵本体;RC则较为复杂,既受自动控制系统的影响,也受人为因素的影响。
1.2.3 提高预作用/开式水幕系统可靠性的措施
北京大兴国际机场航站楼地下服务车道采用单连锁预作用喷淋系统,行李机房设置了防护冷却水幕系统(通过雨淋阀控制),为提高系统可靠性,采取了如下措施:消防控制室设置直接启动消防泵、预作用报警阀、雨淋阀和快速排气阀的按钮,通过多线控制;消防泵房设置现场应急启动消防泵的按钮;预作用报警阀、雨淋阀设置现场应急启动报警阀的手动阀门。消防供电采用一级负荷,电气管廊内消防负荷电缆采用矿物绝缘电缆。
除以上措施外,应急操作、维护保养及时到位对于保证系统可靠性同样重要。由图4可知,在预作用/水幕系统中,火灾探测器和火灾报警控制器正常工作是该系统火灾时能正常启动的前提,现行《火灾自动报警系统施工及验收规范》(GB 50166-2016)中虽未提及采用预作用自动喷水灭火系统/开式水幕系统的区域要适当提高火灾探测器的维护保养水平,但实际工作中应加强维护。
2 消防供水整体方案的可靠性分析
2.1 系统可靠度的判定标准
消防供水系统不同于市政管网,其只向发生火灾的地点供水,可见,离水源越远的地点,系统向其供水的可靠度越低,系统向最不利点供水时,其可靠度最低。为简化计算,本文将系统向最不利点供水时的可靠度作为系统的可靠度。
系统按照同时发生2起火灾设计时,计算可靠度不能将系统向两处最不利点供水的可靠度直接相乘,而应该将系统同时向两处最不利点供水作为一个事件考虑。可靠性示意如图5所示a。将系统模型分为部件5正常工作和失效2种情况,得到图5b和图5c 2个模型,又由于部件5正常工作和故障的概率分别为R5和1-R5,则得出式(7)所示结果。


2.2 备选方案介绍
在北京大兴国际机场航站楼消防系统设计中,根据消防局组织初设专家评审会意见,本工程室内消防系统按照同时发生2起火灾设计,为选择最优的消防供水方案,提出3种方案并进行了可靠性分析。消防供水方案干管示意见图6,消防供水方案干管可靠性模型见图7。




方案1:对平面区域进行分区,各个区域设置独立的消防水池、水泵房、消防泵和供水管道;2处消防水池、水泵和管网分别满足1倍消防用水量,如图6a。
方案2:对平面区域进行分区,各区域共用消防水池和水泵房,消防泵和供水管道相互独立,消防水池储存2倍消防用水量,各分区水泵和管网满足1倍消防用水量,如图6b。
方案3:平面区域不分区,全楼各系统分别共用1套消防水池、消防泵及供水管网,消防水池、消防泵组和中心区环管满足2倍消防用水量,指廊按照1倍消防用水量设计,如图6c。
2.3 可靠性模型
可靠性模型如图7所示。
根据本文1.1.2节的结论,当管道采用2路供水时,管道的可靠性能达到0.995以上,为简化计算,不再单独计算每个管段的可靠度,而以0.995表示2路供水管道的可靠度,末端管道和设备可靠度的取值不影响3个方案的比较结果,因此假设末端管道和设备的可靠度为1。系统可靠度计算公式见式(8)~式(10):

对于1起火灾的情况,图6中上述3种方案的可靠性公式分别为式(11)和式(12),其中方案1和方案2的可靠性模型相同,因而计算公式也相同,式(12)中[RERC(3RP-3R2P+R3P)RM]为水泵1用2备时的可靠性。

2.4 结果分析与结论
参考系统可靠性等级划分原则及调研结果,分别取R池=0.99,RE=RC=RM=RP=0.95,得出3种方案的可靠性,结果见表1。

可以看出,按照同时发生2起火灾设计时,方案3的可靠度要高于方案1和方案2,这主要在于方案3维持系统的正常工作需要的组件更少;按照同时发生1起火灾设计时,3个方案可靠度无差别。实际设计中还综合考虑了机房面积、设备造价等因素,最终选择了方案3作为系统供水方案。
3 不同灭火设施合用供水设备和管道的可靠性分析
3.1 自动灭火系统可靠性模型
北京大兴国际机场航站楼指廊高大空间区域采用自动扫描射水高空水炮(简称水炮)保护,其供水采用独立的消防泵和供水干管或者与湿式自动喷水灭火系统合用均符合规范要求。通过建立可靠性模型,比较了2种方案的可靠性。
根据《建筑设计防火规范》(GB 50016-2014,2018年版)8.3.5条,消防水炮用于在高大空间等场所替代自动喷水灭火系统。消防水炮和自动喷水灭火系统不重复设置,火灾时由于起火点位不同,分别开启自动喷水灭火系统和水炮系统。
可见,自动喷水灭火系统和水炮系统的关系既非相互替代也非同时使用,二者共同组成自动灭火系统,自动灭火系统的可靠度通过全概率分析法得出,如式(13)所示,其中P喷淋为最不利点着火时启动喷淋系统的概率,P水炮为最不利点着火时启动水炮系统的概率,可见P喷淋+P水炮=1。

由于喷淋和水炮在平面上不重叠布置,因此R喷淋和R水炮不受系统是合用还是分设的影响,R喷淋和R水炮的可靠性示意如图8所示。

3.2 结果分析与结论
湿式报警阀的本质是具有报警功能的止回阀,其可靠性体现在压力开关发出启泵信号的可靠性,在供水管路中其可靠性与普通止回阀无异,因而其可靠性取值为1。其他取值参照2.4节:R池=0.99,RE=RC=RM=RP=R水炮=0.95,由于合理控制报警阀后支状管道的长度,报警阀后接出的支状管道可靠度取0.99,得出可靠度如表2所示。

可以看出,无论合用还是分设消防水泵和管网,自动灭火系统的供水可靠度无差别。由于2种方式的可靠度无异,考虑到分设消防水泵有利于系统的操作控制及检修,因此设计时选择了分设管网。
3.3 问题延伸
依据2.4节的讨论,系统完成正常工作需要依靠的相同设备或组件越少,其可靠性越高。对于需要同时使用的2套水灭火装置,如消火栓系统和喷淋系统,如果合用消防泵,系统正常工作只需要依靠1组消防泵,因此消火栓和喷淋合用消防水泵其可靠性更高。实际工程中较少合用消防泵的原因在于分设消防水泵控制逻辑更清晰、维护更方便。但是出于系统可靠性和经济性,在消火栓系统和喷淋系统需要的消防泵扬程差异不大时,是否可以尝试合用消防泵,值得进一步探讨。
4 结论
(1)保证管道的修复率、合理控制消防系统中支状管道的长度可以有效提高消防供水管道的可靠性。
(2)雨淋阀、消防水泵的可靠度受开启信号的影响显著,通过加强人为干预和对火灾探测器等火灾自动报警系统组件的维护,可以明显提高预作用/开式水幕系统的可靠度。
(3)对于占地规模大的建筑,若设计时对管道系统进行2路供水的校核,那么,当按照同时发生2起火灾设计时,系统不分区时可靠性更高;当按照同时发生1起火灾设计时,系统是否分区对可靠性影响不大。
(4)自动扫描射水高空水炮与自动喷水灭火系统在报警阀前合用或分设供水设备及管道,系统可靠性无区别。分设系统是为了降低控制的复杂程度以及提高系统的可维护性。
内容源于给水排水,旨在分享,如有侵权,请联系删除
相关资料推荐:
https://ziliao.co188.com/p154509.html
知识点:深挖北京大兴国际机场背后的消防供水
0人已收藏
0人已打赏
免费3人已点赞
分享
建筑消防给水
返回版块28.41 万条内容 · 744 人订阅
阅读下一篇
消防水池水质和水量监测与物联网系统构建导读: 为解决消防给水系统中消防水池(箱)存在的维护管理问题,提出了运用物联网技术来建立消防水池(箱)水质和水量监测系统的对策。分析研究了消防水池监测的评价指标,提出消防水池水量的评价可采用水位指标,水质的评价可采用温度、浊度、pH、耗氧量、动植物油以及溶解氧和电导率等指标,并给出了推荐指标参数。引入物联网技术与本质安全的概念,明确消防水池(箱)需要加强水质和水池的本质安全。创新地构建了消防水池(箱)物联网监测系统的体系架构,提出了系统功能和传感器设置的技术要求。基于物联网的消防水池水质和水量监测系统,有利于提升建筑消防给水的可靠性和智能化水平。
回帖成功
经验值 +10
全部回复(0 )
只看楼主 我来说两句抢沙发