导读
随着各地海绵城市建设的推进,模型评估在海绵城市低影响开发设计中得到广泛运用,准确的LID设施模型参数确定是其应用可靠的关键性问题。以厦门海绵城市试点建设为契机,采用Morris分析方法,对SWMM模型中的几类LID设施模型参数进行敏感性分析。研究结果表明,表面粗糙系数对于植草沟设施而言是高敏感参数,土壤导水率对于绿色屋顶、生物滞留池设施而言是高敏感参数,土壤导水率和表面粗糙系数对于透水铺装设施而言是高敏感参数。
0 引言
根据国务院办公厅《关于推进海绵城市建设的指导意见》,到2020年,各城市建成区20%以上的面积达到海绵城市目标要求;到2030年,城市建成区80%以上的面积达到目标要求。随着各地海绵城市建设的推进,模型作为技术评估手段在海绵城市规划及方案设计中得到广泛运用。厦门市在2017年颁布了《厦门市海绵城市建设技术规范》,明确全市建设用地超过1.5 hm?的新建、改建、扩建项目,应采用模型进行建模评估。
目前海绵城市低影响开发模型主要采用以SWMM为内核的模型,其LID设施的模型参数通常采用SWMM用户手册即美国地区的经验参数,而我国地幅辽阔、南北差异性较大,更应尽快积累出各地的属地化LID模型参数进行应用。在确定属地化LID模型参数之前,需对LID设施参数进行敏感性分析,根据参数的优先级通过实测数据进行率定。同时,国内现有的研究主要是在排水防涝模型方面对管网模型参数进行敏感性分析和率定验证,在LID设施的参数研究上较为缺乏。
本次采用Morris法对SWMM模型的LID设施进行敏感性分析,目的在于研究SWMM模型中各类LID的敏感性参数,为厦门市及其他城市的LID模型建模率定及各地市LID属地化参数的研究提供参考依据。
1 敏感性分析方法
1.1 局部与全局敏感性分析
敏感性分析通常分为局部敏感性分析和全局敏感性分析两类。局部敏感性分析是为了确定F(x)这个函数在一个特定输入值附近敏感性,例如函数y=F(x)在x=3附近的敏感度。全局敏感性分析是为了确定函数在输入值域的敏感性,例如函数y=F(x)在输入值域0≤x≤5的敏感性,其主要分析方法包括Morris法、傅里叶幅度灵敏度检验法、多元回归法等。通常情况下,函数F(x)的敏感度不是一个定值的,如x=3所对应的敏感度不同于x=5所对应的敏感度,本次主要研究某个参数在推荐值域的平均敏感度,并且没有固定输入的基准值,因此采用全局分析方法。
1.2 计算算法
通常,在Morris的分析方法中,针对有n个输入参数的函数,需要至少运行n+1次模型,即运算:
y0=F(x1, x2, …, xn)
y1=F(x1+Δ1, x2, …, xn)
y2=F(x1+Δ1, x2+Δ2, …, xn)
…
yn=F(x1+Δ1, x2+Δ2, …, xn+Δn)
如此重复R次来生成一个R×(n+1)个输出值的样本。因此,对于输入值xi的函数的敏感性,则要用第(i-1)次运行和第i次运行的结果来计算的。即di=(yi-yi-1)/Δ。
同时,Morris 方法给出了初始运行的一个随机起始点,这有利于模型可在参数值域中运行。此外,改变输入参数的步长(Δ1, Δ2, …, Δn) 也是随机的,|Δ|是由运行的次数决定的,并且Δ取值的正负有着相同的概率。
2 模型建立及参数选取
2.1 参数选取
在植草沟、绿色屋顶、生物滞留池(雨水花园)和透水铺装4类LID设施的建模分析中,有部分设施的模型参数是设计值,本次研究主要是对海绵方案设计中除了设计值外的模型参数进行敏感性分析,并用于今后的模型参数率定或属地化参数确定,因此此次暂时不对这些设计确定的参数进行敏感性分析,主要包括:表面层下凹深度、表面坡度、植草沟边坡、透水铺装厚度、透水铺装渗透速率、透水铺装孔隙率、透水铺装堵塞系数、土壤层厚度、储蓄层厚度、储蓄层孔隙度、储蓄层渗漏速率、储蓄层堵塞系数、排水层的排放系数、排水盲管偏移高度、海绵设施单体个数、海绵设施单体面积和海绵设施处理不透水表面的比例。
根据筛选结果,选择了四大类12个LID设施参数,首先参考SWMM手册中的推荐值,界定初步的测试范围,具体如表1所示。
表1 SWMM海绵参数敏感性研究选取参数
Tab.1 SWMM sponge parameter sensitivity study selection parameter list

2.2 模型设置
本次研究考虑到实测降雨数据的不确定性,在建模的参数敏感性分析时仍采用设计降雨进行敏感性分析。此外,结合厦门试点区的LID在线监测数据发现,在1年一遇高频率降雨时,大部分LID设施在实测数据及模型中出流量很小,因此最终采用2年、3年和5年一遇的2 h设计暴雨进行测试分析,待参数敏感性确定后,再采用实测数据对SWMM模型的LID设施进行参数率定。考虑到雨水调蓄池的模型参数通常取决于设计值,本次分析的LID设施主要包括植草沟、绿色屋顶、生物滞留池(雨水花园)和透水铺装4种海绵设施类型,对总出流量,峰值流量和峰值时刻3个输出变量分别进行分析。
2.3 模型建立
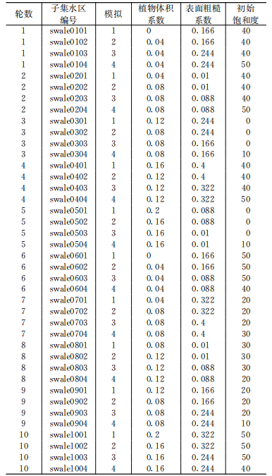
对于每类LID对象,都有不同个数的输入参数,在建立测试模型时,需要先对每个参数给出一个“基准值”,再在基准值的基础上进行改变,则每类拥有n个参数的LID设施,加上这个“基准值”,需要建立的测试模型个数就是n+1。对于Morris敏感性测试,最少需要4轮的测试,以达到相对可信的分析结果,本次测试决定采用10轮分析来增强敏感性分析的可信度,见表2。因此,需要对植草沟建立40个单体水文模型,对生物滞留池建立110个单体水文模型,对绿色屋顶建立120个单体水文模型,对透水铺装建立100个单体水文模型,用于单体LID设施模型参数敏感性参数测试的分析。下面以植草沟为例介绍模型的建立过程。
表2 植草沟敏感性分析参数取值
Tab.2 Vegetative swale sensitivity analysis parameter value list

2.4 敏感性指数计算
根据Morris在1991的研究结果,并没有建议使用特定的敏感性指数,而是鼓励用户去参考这些变量的物理意义。在本次研究中,假定敏感性指数(SI)为所有di的平均值,主要认为该方法包含所有输出值的标准化度量方式(总流量,峰值流量,峰值时刻),并且说明了参数在整个值域范围内的敏感性,即SIi=R·mean(di)。
按照敏感性指数的计算方法,针对这3个指标给予一定的权重,水量的控制是厦门海绵设施需要发挥作用最关键的地方,其次是峰值流量的控制,最后是峰值出现时刻的控制。因此,本次将敏感性分为1~10个等级,并对总出流量、峰值流量和峰值到达时间这3个指标设置了3∶2∶1的权重,从而可以计算出每个LID设施在设计工况下的具体量化数值,根据敏感性指数的量化结果,将海绵参数的敏感性分为3个等级:SI≥6.0:高敏感参数;2.0≤SI<6.0:中敏感参数;SI<2.0:低敏感参数。
针对每种海绵设施,本次研究分别对3种设计暴雨和3个指标分别进行了敏感性的量化,以下称为“分类参数敏感性”;同时又将每个参数在以上暴雨工况下和指标下的敏感性的量化进行了加权平均,得到“总体参数敏感性”。详见表3,表4。
表3 植草沟分类参数敏感性分析结果记录矩阵表
Tab.3 Vegetative swale classification parameter sensitivity analysis result record matrix
表4 植草沟总体参数敏感性分析结果记录矩阵
Tab.4 Vegetative swale overall parameter sensitivity analysis result record matrix

3 LID设施参数敏感性分析与讨论
3.1 植草沟
植草沟的敏感性分析包含3个海绵参数,分别是初始饱和度(initial saturation)、表面粗糙系数(surface roughness)和植物体积系数(surface vegetation volume fraction)。通过分析,得到图1、图2的“分类参数敏感性”和“总体参数敏感性”分析结果。根据敏感性指数的高、中、低敏感度划分,表面粗糙系数对于植草沟是高敏感参数,植物体积0系数是低敏感参数,而初始饱和度没有敏感性,主要原因在于SWMM模型中,植草沟并没有专门设置土壤层参数或者储蓄层的参数。

图1 植草沟参数敏感性分析结果(分类)
Fig. 1 Sensitivity analysis results of vegetative swale parameters (classification)

图2 植草沟参数敏感性分析结果(总体)
Fig.2 Sensitivity analysis results of vegetative swale parameters (overall)
3.2 绿色屋顶
绿色屋顶的敏感性分析中包含11个海绵参数,见图3、图4,分别是初始饱和度(initial saturation)、排水垫层粗糙系数(drainage mat roughness)、排水垫层孔隙率(drainage mat void fraction)、土壤吸入水头(soil suction head)、土壤导水率坡度(soil conductivity slope)、土壤凋萎点(soil wilting point)、土壤田间持水能力(soil field capacity)、土壤孔隙率(soil porosity)、土壤导水率(soil conductivity)、表面粗糙系数(surface roughness)和植物体积系数(surface vegetation volume fraction)。根据敏感性指数划分,土壤导水率和土壤初始饱和度对于绿色屋顶而言是高敏感参数,表面粗糙系数和田间持水能力是中敏感参数,其他的参数如排水垫层粗糙系数、排水垫层孔隙率、土壤吸入水头、土壤导水率坡度、土壤凋萎点、土壤孔隙率和植物体积系数则为低敏感参数。而由于绿色屋顶表面层通常较薄,一般不做成下凹形式,因此与下凹深度有关的植物体积系数在绿色屋顶中暂不考虑。

图3 绿色屋顶参数敏感性分析结果(分类)
Fig.3 Sensitivity analysis results of green roof parameters (classification)
图4 绿色屋顶参数敏感性分析结果(总体)
Fig. 4 Sensitivity analysis results of green roof parameters (overall)
3.3 生物滞留池
生物滞留池的敏感性分析中包含10个海绵参数,见图5、图6,分别是初始饱和度(initial saturation)、暗渠排水指数(underdrain flow exponent)、土壤吸入水头(soil suction head)、土壤导水率坡度(soil conductivity slope)、土壤凋萎点(soil wilting point)、土壤田间持水能力(soil field capacity)、土壤孔隙率(soil porosity)、土壤导水率(soil conductivity)、表面粗糙系数(surface roughness)和植物体积系数(surface vegetation volume fraction)。根据敏感性指数划分,土壤导水率对于生物滞留池是高敏感参数,土壤初始饱和度、暗渠排放指数、土壤凋萎点和表面粗糙系数是中敏感参数,其他的参数如土壤吸入水头、土壤导水率坡度、土壤孔隙率和植物体积系数是低敏感参数。

图5 生物滞留池参数敏感性分析结果(分类)
Fig. 8 Sensitivity analysis results of bio-retention cell parameters (classification)
图6 生物滞留池参数敏感性分析结果(总体)
Fig. 6 Sensitivity analysis results of bio-retention cell parameters (overall)
3.4 透水铺装
透水铺装的敏感性分析中包含9个海绵参数,见图7、图8,分别是初始饱和度(initial saturation)、暗渠排水指数(underdrain flow exponent)、土壤吸入水头(soil suction head)、土壤导水率坡度(soil conductivity slope)、土壤凋萎点(soil wilting point)、土壤田间持水能力(soil field capacity)、土壤孔隙率(soil porosity)、土壤导水率(soil conductivity)和表面粗糙系数(surface roughness)。根据敏感性指数划分,土壤导水率和表面粗糙系数对于透水铺装而言是高敏感参数,其他的参数如土壤初始饱和度、暗渠排放指数、土壤吸入水头、土壤导水率坡度、土壤凋萎点、土壤田间持水能力和土壤孔隙率都是低敏感参数。

图7 透水铺装参数敏感性分析结果(分类)
Fig. 7 Sensitivity analysis results of permeable pavement parameters (classification)

图8 透水铺装参数敏感性分析结果(总体)
Fig. 8 Sensitivity analysis results of permeable pavement parameters (overall)
3 结论
(1)通过模型结合Morris敏感性分析方法,得到不同LID设施参数对应的敏感性指数,从峰值流量、峰值延迟时间、总出流量3个方面综合评估了各个海绵系数的参数敏感性(以“总体参数敏感性”分析结果为依据),结果见表5。
表5 各类LID设施模型参数敏感性汇总表
Tab.5 Various LID facility model parameter sensitivity summary table

(2)通过本次的敏感性分析,精确识别了SWMM模型中LID设施的参数敏感因素,可为各地市的海绵城市属地化模型参数确定提供参考依据。
(3)后续将结合厦门海绵试点区的实测LID设施监测数据,对模型进行构建和率定,提出厦门市本地的海绵城市LID设施模型属地化参数。
内容源于给水排水,旨在分享,如有侵权,请联系删除
相关资料推荐:
https://ziliao.co188.com/p61039856.html
知识点:LID设施模型参数敏感性研究
0人已收藏
0人已打赏
免费2人已点赞
分享
市政给排水
返回版块23.68 万条内容 · 858 人订阅
阅读下一篇
揭秘老城区海绵城市实践模式为有效推进2020年20%城市建成区的海绵城市建设,同时避免海绵城市推进过程中存在的工程系统性不足,建设成效不够明晰等问题,以厦门市思明区为例,从系统化方案的编制原则、思路、具体问题需求、规划目标指标体系和各目标所对应的系统方案上进行探讨,提出基于老城区的海绵城市实践模式。
回帖成功
经验值 +10
全部回复(0 )
只看楼主 我来说两句抢沙发