前言
现代污水处理在经历百年发展之后迎来了理念与技术重大变革,从处理向资源回收转变成为时代发展的主旋律。污水中的碳已被广泛认为是可贵的资源,可用于产生能量(厌氧消化),或开发出以碳为基础的商品。污水中的可生物降解有机物从二级处理转向能量回收的这一转变被称之为碳转向(Carbon Redirection)。碳转向是污水处理实现能量自给的必由之路,已经成为当前及今后一段时间内污水处理技术发展的一个重要方向。
碳转向的重点在于一级处理的高效利用。一级处理是污水处理的经典工艺单元,主要目的是去除进水中的悬浮物和脂肪、油、油脂(FOG)。在现代污水处理一个多世纪的发展历程中,一级处理始终占据着重要的历史地位。同时,污水处理技术越来越朝着密集化的方向发展,节能与占地紧凑成为鲜明的技术特征。在此背景下,污水一级处理领域出现了新的技术动向,这一技术动向总体上符合上述宏观的历史发展背景,由此催生了一级处理技术的新概念。
1 一级处理技术的现状
传统上,一级处理最普遍的应用技术是初沉池,这一技术比活性污泥法的历史还要悠久,在欧美的污水处理厂有大量的应用。初沉池可以有效地削减二级处理的进水负荷,对SS的去除率可以达到50%~70%、BOD的去除率为25%~40%。同时初沉池可以有效地应对暴雨时的峰值水量,避免对二级处理的冲击,初沉池对无机悬浮物(ISS)及漂浮物的去除还可以有效地提高生物处理的效能。当然,传统初沉池也存在着造价高、占地面积大等明显的弊端。
化学强化一级处理(CEPT)在提高初沉池的效率方面有着显著的效果,化学强化一级处理可以获得60%~90%的SS去除率、BOD的去除率为35%~75%,在一些国家沿海污水处理厂中广为使用。同时,化学强化一级处理也用于一些发展中国家的污水处理和暴雨期间溢流污水的处理。化学强化一级处理的主要弊端是产生大量的一级污泥,这些一级污泥较难浓缩与脱水,同时化学强化一级处理对于出水氮磷要求较高的地区难以达到理想的效果。
此外,高速沉淀(High rate clarification)也是应用较多的一种一级处理技术,高速沉淀是将混凝、絮凝、斜板沉淀以及污泥回流集成在一起的技术单元。在国外,高速沉淀主要用于雨季期间合流污水的溢流控制,典型的专利技术包括Actiflo、DensaDeg等。
2 一级处理技术发展的新概念
无论是传统初沉池,还是化学强化一级沉淀,或是高速沉淀,其核心在于沉淀。而近些年来,在一级处理领域出现了一些新的技术动向,其核心技术概念是:一级过滤取代一级沉淀,这一概念的出现正在对传统一级处理产生重要的影响。目前,一级过滤的技术形式主要包括一级出水过滤、一级过滤以及旋转带式过滤机(Rotating belt filter,RBF)等。
2.1 一级出水过滤
一级出水过滤的概念实际上在20世纪80年代就已经出现,但是传统砂滤在这方面的应用并不理想。后来出现滤布滤池,并在三级处理方面的应用获得了巨大的成功,在世界各地的大量污水处理厂中都可以看到滤布滤池的身影。近些年来,新型的滤布滤池已悄然用于一级出水的过滤。一级出水过滤后的污水进入二级生物处理单元后,可以提高二级处理的处理能力、降低曝气能耗。对于有厌氧消化的污水处理厂,过滤截留下的固体物质可以提高厌氧产能,提高污水处理厂的能源自给率。新型滤布滤池的过滤材料不同于以往,堆状的过滤结构使得滤布具有3~5 mm的有效过滤深度,可以实现在很宽的范围内对颗粒物的截留,这种滤池往往又被称为深层滤布滤池(Cloth depth filter)。

图1 一级过滤的滤布结构
Fig.1 Cloth pile structure for primary filtration
美国加州Linda再生水厂从2013~2015年进行了为期2年的一级出水过滤中试研究,滤布滤池及可压缩滤料滤池被用于污水的一级过滤,数据表明一级出水过滤的效果稳定,SS的去除率约为45%左右(如图2所示),BOD、COD的去除率为30%左右,反冲洗水量约为5%~10%。

图2 Linda再生水厂一级出水过滤TSS去除效果
Fig.2 TSS removal performance of Linda WRP primary effluent filtration
不仅滤布滤池用于一级出水的过滤,其他一些专利性的过滤技术也正在这方面一展身手,这种专利性的技术通常是一类为可压缩滤料的过滤技术,主要包括Fuzzy FilterTM、FlexFilterTM等商业性技术,其滤料为人工合成物,具有较强的弹性和多孔性,密度较水轻。这类过滤技术的主要特点是滤速较高,一级出水过滤时的滤速可以达到24~60 m/h,反冲洗水量一般低于10%。
2.2 一级过滤
一级出水过滤的成功应用也推动了原污水的直接一级过滤,上文述及的Linda再生水厂在对一级出水过滤的概念验证之后,又于2017年开始了原污水的直接一级过滤概念的生产性规模验证,这一项目得到了加州能源委员会(CEC)的资助,CEC的项目除此之外,两个中试规模的研究分别在Manteca污水处理厂和Lancaster再生水厂展开,以研究不同的特点的污水水质及不同工艺带来的性能影响。
Linda污水处理厂的设计规模为1.9万m?/d,该厂的处理工艺由格栅、初沉池、硝化反硝化、二沉池、三级过滤、污泥厌氧消化组成。2017年的平均处理水量为5 000 m?/d,由于收集了附近另外城市的污水到2018年底处理水量达到了9 700 m?/d。生产性规模的测试分为两个阶段,第一阶段是在2018年秋季前全部的污水经预处理后跨越初沉池直接进入一级过滤单元,然后再进入生物处理单元;第二阶段是由于进水量提高了将近1倍,50%的污水直接进行一级过滤,如图3所示。表1为该厂一级过滤效果。

图3 Linda再生水厂工艺示意
Fig.3 Process schematic of Linda WRP
表1 Linda再生水厂一级过滤主要水质数据
Tab.1 Effluent of Linda WRP primary filtration

Linda生产性规模的试验结果表明,一级过滤的SS平均去除率达到了86%,远远高于传统初沉池的SS去除效率(50%~60%)。相比于传统初沉池,一级过滤减少了75%的占地面积,提高了15%~20%的生物处理能力,沼气产量提高了30%~40%。Linda再生水厂近些年生产性规模的一级过滤试验研究对于北美污水处理提倡的碳转向具有重要的风向标意义。
2.3 旋转带式过滤机/微筛
与一级出水过滤、一级过滤相比,旋转带式过滤机/微筛从本世纪初期已经用于一级过滤,主要是在欧洲地区。旋转带式过滤机/微筛与滤布过滤的不同之处在于过滤孔径不同,旋转带式过滤机/微筛的孔径通常为200~400 μm,而深层滤布过滤或弹性滤料过滤的孔径通常小于10 μm。
旋转带式过滤机通常需要设置在格栅和沉砂池之后,水中的悬浮物在环形旋转滤网上截留下来,旋转滤网速度可调,截留下的污泥含固率约3%~8%,可无需进一步浓缩而直接进行脱水(见图4)。
图4 旋转带式过滤机
Fig.4 Schematic diagram of the rotating belt filter
旋转带式过滤机对SS、BOD的去除率与进水水质有关,一般情况下BOD的去除率可以达到20%~40%、SS的去除率约50%~60%,占地面积仅为初沉池的1/10,投资费用较传统初沉池节约30%~60%。旋转带式过滤机已经应用于欧洲的Tiendeholmen污水处理厂、Breivika污水处理厂、Bangsund污水处理厂、Nedre Romerike污水处理厂的一级处理。旋转带式过滤机的滤速与SS去除率有关,一般为144~240 m/h。
微筛是一般是转鼓或盘式过滤的方式,用于一级过滤时一般需要上游处理设施设置必要的格栅、沉沙、除油单元,占地面积为初沉池的10%~20%,在不加药剂的情况下SS的去除率约为50%,BOD的去除率约为30%,与初沉池的效能基本相当。欧盟POWERSTEP项目的技术报告显示,包括瑞典、挪威、法国、德国的几个污水处理厂从2003年起逐渐开始在一级处理中应用微筛。
从上述一级处理的技术发展动向来看,设备化、人工材料的过滤方式在今天这个追求碳转向与设施老化并存的时代背景下,已经在国外一些地区开始取代庞大的传统初沉池,并逐渐成为行业明显的发展方向。
3 中国污水一级处理技术的
现状与发展机遇
3.1 国内污水一级处理技术的现状
长期以来中国污水处理领域内忽视一级处理,绝大多数污水处理厂不设初沉池。而北美的技术观点认为从污水处理厂的全寿命周期费用来看,规模大于3.8万m?/d(10MGD)的污水厂设置初沉池是经济划算的。
不设置初沉池会严重降低生物处理工艺的实际效能,特别是进水中的无机悬浮物(ISS)不经过初沉池而在曝气池内积累,导致生物处理工艺段的MLVSS/MLSS远远低于正常值,所需的生物池池容相对较大,这种情况对于进水无机悬浮物较高的污水处理厂尤为明显。
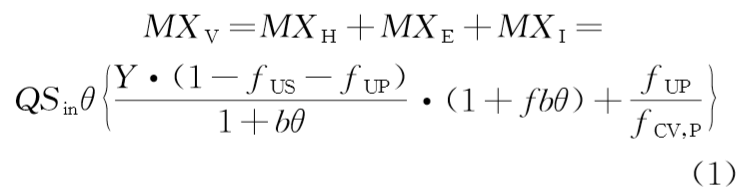
生物处理单元的MLVSS/MLSS是衡量生物处理单元效率高低的一个重要参数。MLVSS的组成共有3部分,分别是活性微生物部分(MXH)、内源代谢残留物(MXE)、进水不可生物降解VSS(MXI),如式(1)所示。

式中 Q——进水流量,m?/d;
Sin——进水COD,mg/L;
θ——泥龄,d;
fUS——溶解态不可生物降解COD比例;
fUP——颗粒态不可生物降解COD比例;
f——内源残留物比例;
b——衰减系数,d-1;
fCV,P——进水VSS的COD当量,mgCOD/mgVSS。
在MLSS的构成中,会有一部分来自于进水的无机悬浮物(ISS),这样MLSS的构成可表示为式(2):

式中 XISS——进水的无机悬浮物,ISS=TSS-VSS。
MLVSS/MLSS的比例可由上述两式计算得出,以进水COD=300 mg/L、ISS=20~100 mg/L的变化为例,说明ISS对MLVSS/MLSS的影响,其他参数采用典型值,如表2所示。计算结果如图5所示。
表2 典型进水组分
Tab.2 Typical influent value


图5 进水无机悬浮物对MLVSS/MLSS的影响
Fig.5 Influent ISS effects on MLVSS/MLSS
从图5可以看出,在进水COD一定情况下,进水无机悬浮物对MLVSS/MLSS的影响很大,ISS越高MLVSS/MLSS越低。显然,ISS的去除对于提高生物处理单元的效率至关重要。王洪臣对全国467座污水处理厂的调查结果也显示,60%的污水处理厂的MLVSS/MLSS低于0.5,在某种程度上与不设初沉池有密切关系。
另外一个业界关心的问题是一级处理单元的设置会导致生物脱氮除磷所需的碳源不足,实际上这一观点并非如此。生物脱氮所需的碳源是易生物可降解COD(RBCOD),这种COD绝大部分是溶解状态,而初沉池所去除的基本为颗粒态COD,如图6所示。

图6 COD组分的组成
Fig.6 COD components
为了评估初沉池对生物脱氮除磷的影响,以1座处理规模为10万m?/d、进水COD=400 mg/L、TN=50 mg/L、TP=5 mg/L的污水处理厂为例,对无初沉池、有初沉池、初沉污泥发酵3种模式下的AAO工艺进行模拟分析。3种模式下的工艺建模见图7,各项参数见表3、表4。

图7 3种模式下的工艺建模
Fig.7 Model setup for three scenarios
表3 模型的污水组分主要参数
Tab.3 Wastewater characteristics of model input
表4 该厂的物理参数
Tab.4 Physical parameters of the plant

从图8、图9可以看出,有无初沉池其实对出水氮磷水质并无显著的影响,无初沉池的情况会比有初沉池的情况略好一些。James Barnard也认为处于优化运行状态下的初沉池不会去除显著的易生物降解COD。

图8 3种模式下的出水氮浓度数据
Fig.8 Effluent nitrogen results for three scenarios simulation

图9 3种模式下的出水磷浓度数据
Fig.9 Effluent phosphorus results for three scenarios simulation
但是当采用初沉池+发酵模式时,出水溶解性磷酸盐、总磷较其他两种情况有明显的好转。没有初沉池或只有初沉池时,出水的TP分别为2.0 mg/L和1.9 mg/L,而采用初沉+发酵模式时,出水的TP可降低至1 mg/L。这是由于初沉污泥在发酵过程中沉淀的颗粒态COD产生VFA促进生物除磷的结果。
实际上,初沉污泥发酵开发内部碳源的技术应用在欧美已经屡见不鲜,在过去30年里,初沉污泥发酵技术成功地用于北美、欧洲、南非、澳大利亚、新西兰的众多污水处理厂。
一级过滤截留下来的污泥与初沉污泥类似,并且由于停留时间更短,厌氧导致的COD损失更少。Rusten对旋转带式过滤机对后续生物脱氮碳源的影响进行了深入的研究,研究结果表明即使是用33 μm的过滤孔径,旋转带式过滤机对生物脱氮没有显著的负面影响。在欧盟的智慧厂(SMART-Plant)项目中,意大利Carbonera污水处理厂已经开始尝试用旋转带式过滤机来进行碳分离,同时将分离后的一级污泥进行发酵产生碳源供后续生物处理所需。
3.2 未来的发展机遇
毋庸置疑,设置初沉池的弊端是显然易见的,占地面积大、造价高是其最主要的缺点。然而,由于一级过滤技术的不断实践成功,这种情况可能会有所改变。一级过滤技术可以在占地面积很小的情况下,降低生物处理能耗、提高生物处理效能,同时一级过滤技术大幅度降低了传统初沉池的建设成本。在国内污水处理厂布局已经成型、没有多余土地可利用的情况下,如何提质增效效能俨然已经是一个不能回避的问题,显然新型一级处理技术的发展为当前的局面提供了值得借鉴的技术手段。
因此,重新反思一级处理的问题、挑战及未来的发展意义重大,及早展开一级过滤技术在我国污水处理领域内的实践也非常必要,不仅关系到当前污水处理的提质增效,更关系随着未来管网收集系统逐渐完善,进水水质浓度的逐步提高,生物处理系统如何实现可持续的发展。
4 结论
在追求污水处理密集化的时代背景下,污水一级处理领域出现了一些新的技术动向,过滤取代沉淀成为明显的技术发展方向。由于历史的原因,中国绝大多数污水处理厂忽略了一级处理,导致生物处理效能低下,随着污水处理的提质增效及可持续的发展需求,一级过滤技术为中国污水一级处理在错失了历史发展机遇之后又带来了新的曙光。
内容源于给水排水,旨在分享,如有侵权,请联系删除
相关资料推荐:
https://ziliao.co188.com/d116133.html
知识点:取代初沉池?污水一级处理的新概念与新机遇!
0人已收藏
0人已打赏
免费3人已点赞
分享
中水处理回用
返回版块9852 条内容 · 214 人订阅
阅读下一篇
重启背后污水厂稳定运营技术总结1 发生疫情的地方要强化医疗污水消毒处理 在新型冠状病毒引起的肺炎疫情期间,医疗污水的处理重点是杀菌消毒,去除COD、氨氮等指标退居其次,杀灭“新冠病毒”等是重中之重。“新冠病毒”有通过粪口传播的可能性,更加需要对医疗污水进行强化消毒处理。
回帖成功
经验值 +10
全部回复(0 )
只看楼主 我来说两句抢沙发