导读
针对湿陷性黄土地区海绵城市建设雨水渗蓄引发环境地质灾害风险等问题,系统梳理国家海绵城市建设试点经验,结合理论研究与工程实践,提出开展湿陷性黄土地区海绵城市设计预评估的建议与方法,探讨构建包括主动消除湿陷性、设置安全防护距离、贯穿湿陷性黄土层、防渗漏处理、强化疏排水、变形观(监)测与处置在内的系统化防控体系。
0 前言
我国不同地区海绵城市建设路径与方法存在区别,特别是湿陷性黄土、膨胀土等特殊地质区海绵城市建设适宜性问题备受行业关注与质疑。海绵城市建设强调雨水的“渗、滞、蓄、净、用、排”技术措施与源头径流总量-峰值-污染综合管控等要求较传统“快排”模式,增加了下垫面雨水停留时间与渗蓄总量,部分措施引导雨水中深层入渗,在湿陷性黄土、膨胀土等地质区实施时,雨水渗漏大概率引发土体结构浸水沉降或膨胀,承载力迅速衰减等可能危害建(构)筑物基础安全问题。截止目前,国家规范尚未就上述特殊地质区海绵城市建设提出明确技术指引,相关城市工程实践大多采用“严防死守型(全面防渗)”做法或设置“豁免清单(特殊地质区不建设)”,缺乏科学论证。为此,笔者通过国家试点城市调研,结合团队专项研究,就理性认知湿陷性黄土区海绵城市建设问题、鼓励开展项目设计预评估等进行探讨,提出了雨水渗蓄风险防控典型措施及其适用场景。
1 湿陷性黄土地区海绵城市建设再认知
我国湿陷性黄土地质分布广泛,主要集中在干旱、半干旱气候区,其在天然状态下的高孔隙率和低湿性(天然湿度≤塑限含水量)是其产生湿陷的重要条件。湿陷性黄土组成以粉粒为主,其中粗粉土(0.01~0.05 mm)颗粒居多,同时含有少量粘土(<0.005 mm)和细砂(0.1~0.25 mm)颗粒。粗粉粒在黄土结构中起骨架作用,细粉粒依附于其表面,并与粘粒和土体中无定型盐类等胶体物质作为填充料。遇水时,在土体自重或附加压力下产生显著沉降一方面归因于其干旱气候下的形成机制(蒸发影响深度大于降水,压力、湿度不良)带来的欠压实状态(富含空隙、垂直节理发育),另一方面则是内部粒间胶结物遇湿软化(盐晶溶解)、强度降低、破裂所致。
湿陷性黄土地区海绵城市建设遭受质疑、“谈水色变”问题的根源归结起来有两方面原因。
1.1 缺乏对黄土湿陷性致灾机理与触发条件的认识
黄土湿陷性致灾影响是由土体本身微观结构(粘粒含量与赋存状态、孔隙结构、胶结物性质等)与环境因素(水分、荷载、周边建构筑物基础埋设条件等)共同作用决定的。工程实践中,一般将含水率与荷载压力作为触发湿陷变形的重要因素予以控制。自重湿陷性黄土含水率达到一定饱和度时,即发生显著附加沉降(含水率上升,土体发生增湿变形,达到一定程度时变形激增)。非自重湿陷性黄土除土壤含水量饱和度影响外,自重压力叠加外部荷载压力大于湿陷性起始压力时,湿陷发生。为评估此影响,《湿陷性黄土地区建筑标准》以湿陷性系数测定区间(0.015~0.03、0.03~0.07、>0.07)划分黄土湿陷程度(轻微、中等、强烈),以自重湿陷量、湿陷量划分场地地基湿陷等级(Ⅰ轻微、Ⅱ中等、Ⅲ严重、Ⅳ很严重),并给出不同建筑类型、不同等级湿陷性黄土地基处理方法及建筑、结构、给排水设计等防护措施。在湿陷性黄土区开展海绵城市建设时,须清晰掌握该区域水文气象、地形地貌、黄土湿陷性质、等级、厚度及场地建筑环境,因地制宜开展设计,同时注意:
①湿陷性黄土场地房屋与市政基础设施建设时,已采取相应基础处理与结构、防水设计,并赋予安全余量(设置防护距离、外扩基础处理等),海绵设施布置与衔接应尽量不扰动现有防护体系,确有影响,须采取强化防护措施(材料、结构防水);
②城市开发建设挖填置换(道路开挖、建筑小区地下车库建设等)、浸水、浇灌或受力历程中,受扰动强的黄土,其湿陷性消除程度相对较高或已不具湿陷性;
③海绵设施施工时,对于一定范围湿陷性黄土层上部压力发挥“减荷”作用(远离湿陷起始压力临界点),防控重心应集中在高等级、大厚度湿陷性区域、建(构)筑物结构基础紧邻海绵设施的有限空间雨水渗漏防控;
④远离建(构)筑物结构基础的湿陷性场地(低风险区)可做集中雨洪控制空间利用。
1.2 缺乏对海绵雨水设施构造与运行原理的认识
海绵雨水设施种类繁多,按其主项功能(许多设施兼具多重功能)可划分为:渗透设施(绿色屋顶、透水路面、下凹式绿地、生物滞留设施、渗塘、渗井等)、传输设施(植草沟、排水沟、渗管(渠))、调蓄设施(蓄水池、调节池、调节塘等)、净化设施(初雨弃流设施、过滤设施、湿地等)及其他附属设施。除渗井、蓄水池等设施外,源头小区、市政道路大多应用浅表性设施(结构深度<2 m,透水路面、植草沟、下凹式绿地、生物滞留设施应用最广)。因此,防控重心应放在规避设施渗蓄雨水向中深土层无组织入渗方面。
通过评估,当雨水入渗对建筑基础、道路结构存在损害风险时,一方面设计安全防护距离(结合场地湿陷等级、建(构)筑物基础形式与应力场范围、土层压实度等研究论证基础上设定),距离不足时强化防渗处理;另一方面慎用全透型设施,在渗透、调蓄设施结构中设置排空管、防渗层,缩短雨水蓄存时间。
海绵设施对汇水区地表径流总量、峰值、污染的控制效能取决于其结构设计。图1为典型生物滞留设施结构示意。

图1 典型生物滞留设施结构示意
降雨期间,除超渗产流带来溢流外排情形外,雨水在结构内下渗、滞留、净化、排泄过程形态可分为顶部蓄水、种植层与砾石层内部蓄水、下渗土壤或底部出流,这在其容积计算时已考虑,见式(1):

式中V——生物滞留设施调蓄容积,m?;
A——设施表面积,m?;
hx、hz、hl——分别为设施临时蓄水层深度、种植土层深度、砾石排水层深度,m;
nv——植物横截面积占蓄水层表面积比例,%;
nz、nl——分别为种植土层、砾石层平均孔隙率;
fm——土壤入渗率,mm/h;
t——降雨历时,h。
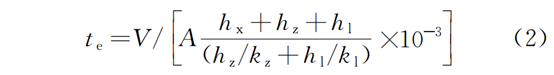
除调蓄容积外,设计时还须考虑排空时间。设施排空时间与设施整体渗透性能有关,过慢影响植物生长(耐淹)、孳生蚊蝇,过快影响径流与污染削减效果。一般生物滞留设施排空时间上限为48 h,下限不宜低于6 h。根据达西定律,近似考虑种植土层、砾石层孔隙水饱和状态下,推导调蓄容积与排空时间关系如式(2)所示:

式中te——设施排空时间,h;
kz、kl——分别为设施换填土层、砾石层饱和渗透系数,mm/h。
由于砾石层饱和渗透系数远大于种植土层(种植土层雨水下渗过程为设施整体下渗“限速步”),其内部通常存在自由水面,因此式(2)可简化为式(3):

在湿陷性场地,鉴于安全考量,防止设施内部长期存水(水压下沿防渗薄弱处渗漏),应尽量缩短设施排空时间。由式(3)不难看出,提高种植土渗透系数是一种途径,工程中可通过改良种植介质或局部牺牲径流污染控制效果实现,在安全为重的原则下不失为选择。但不能无限提高渗透性(植物生长保水、径流控制有效性需要),因此设计时可通过加大砾石层内穿孔排水管泄排能力实现。
对于透水铺装、调节塘等设施亦可通过提高底部渗排管、放空管排泄能力,减少雨水停留,结合强化防渗处理降低雨水积存渗漏致灾风险。
2 湿陷性黄土场地海绵城市建设预评估
为保障湿陷性黄土地区建(构)筑物安全,合理开展海绵城市建设,规避次生灾害,笔者建议在海绵城市专项规划和项目勘查设计阶段开展预评估工作,指导工程设计,并与施工、运维反馈结合,形成闭环管控。设计阶段预评估工作建议涵盖:
(1)场地环境分析。在传统海绵城市专项设计场地分析(地形竖向、现状场地排水方式、积涝点、管网分布、绿地与建(构)筑物空间关系等)基础上,开展详细勘察,明确拟建场地湿陷性黄土层埋深、厚度、湿陷系数及类型、湿陷起始压力及含水率深度变化、湿陷等级平面分布、地下水位、渗透变形与承载力参数;地上地下建(构)筑物类型与重要程度、基础形式、承载力要求、地基处理方式。这些直接关系海绵雨水设施选择、结构设计、平面布置与防渗方式。
(2)适用性海绵城市技术措施分析。根据上述分析,结合海绵城市建设要求(年径流总量控制率、年径流污染削减率等),分析场地竖向与下垫面,划分汇水分区,设计雨水组织,开展设施选型。设施选择时须注意:
①宜采用浅表型设施。对于Ⅱ级及以上大厚度自重湿陷性黄土地层,不应设置深层、大型渗透设施(渗井、渗塘等);传输类设施宜采用防渗型植草沟或混凝土、树脂、HDPE排水沟等,不宜采用渗管(渠)。
②设施结构设计以“临时调蓄(节)为主,缩短雨水积存时间,适度有限渗透或不渗透”为原则,自重湿陷性场地(Ⅱ~Ⅳ级)的建筑小区、市政道路,海绵设施结构中须设置防渗层与疏排水系统;非自重湿陷性场地,无不良地质发育,建设场地较大,渗透、滞留设施与建(构)筑物间满足《湿陷性黄土地区建筑标准》规定安全防护距离时,可不采取防渗。
③各级湿陷性黄土地基上的海绵设施,当地基湿陷变形、压缩变形或承载力不满足设计要求时,应针对不同土质,在地基压缩层或湿陷性黄土层内采取处理、防水和结构等措施。④设施平面布置应优先选择远离建构(筑)物基础的外围公共绿地、红线外绿地;设施溢流雨水就近接入小区或市政管网,尽量减少新建长距离、高密度地下衔接管,规避对场地既有基础处理、防水层、防护结构破坏或扰动。
在此原则下,完成海绵设施选择、规模计算、结构设计与平面布设初步方案。
(3)场地海绵化建设安全风险预判。应用数值模型,分析评估上述方案对邻近建(构)筑物变形和稳定性影响。评价可采用GeoStudio、ABAQUS等软件进行,流程如图2所示。

图2 湿陷性黄土场地海绵城市建设风险模拟评估流程
根据模拟分析,确定场地不同区域风险等级;评估渗漏高风险点最不利工况(长时积水)致灾影响,强化薄弱环节处理,指导设施布置、防渗与基础处理措施强化,反馈设计、施工。在此原则下,优化设施选择布置,指导方案比选,完成详图设计。
3 湿陷性黄土场地海绵城市建设风险防控典型措施
3.1 主动消除湿陷性法
《湿陷性黄土地区建筑标准》中根据建筑类别、湿陷性黄土等级与厚度、地基承载要求等给出几类典型地基处理方法(挤密、强夯、垫层、注浆、预浸水等)及其适用范围。这些方法主要针对具有较大自重、明显增加场地荷载(附加应力)、须严格控制结构沉降的建(构)筑物。对于一般浅表性海绵设施而言(植草沟、下凹式绿地、生物滞留设施等)不会增加下方土体荷载,通常采取沟槽开挖、素土夯实后铺设防渗土工膜的方式处理;对于钢筋混凝土雨水池、排水沟、溢流井、沉砂井等设施,多采用换填垫层法(土垫层、3∶7灰土垫层等)处理(见图3),处理深度及范围根据下卧土层承载力确定;对于自重湿陷性场地大体量、深层混凝土雨水调蓄池(库)建设,可采用换填垫层、冲击碾压、强夯、灰土挤密桩等方式组合处理,消除地基全部或部分湿陷量,或采用桩基础穿透全部湿陷层。对于湿陷性黄土层较薄(<3 m)场地,综合考虑安全性、经济性基础上,可采取一定范围整体换填方式消除设施下方基础湿陷性(见图4)。上述施工均须评估对临近建筑、市政设施、地下管线等变形与稳定的影响。


图3 湿陷性黄土场地海绵设施基础处理典型做法
图4 沣西新城数据六路全透水路面(Ⅰ级非自重湿陷)
3.2 设置安全防护距离法
若建设场地较大,海绵设施与建(构)筑物间满足安全防护距离,则可不采取防渗(漏)处理措施或只做有限处理。《湿陷性黄土地区建筑标准》中规定了不同地基湿陷等级、不同建筑类别下埋地管道、排水沟和水池与建筑物间防护距离(见表1),可指导海绵设施布置。
表1 埋地管道、排水沟和水池等与建筑物间防护距离

实际工程中,上述距离难以保证时(市政道路侧分带及湿陷等级较高的高密度建筑小区),一般可采取两种方式间接防护:
(1)避开临近绿地,将屋面、地面径流通过防渗型传输设施引流至开放空间远离建筑的公共绿地、红线外绿地等集中调蓄。图5a山城名邸小区海绵化改造时,将屋面及路面雨水通过现状雨水管、排水沟、截水沟引流至多功能雨水广场集中调节控制,避开建筑宅前绿地;图5b空港花园小区海绵化改造时,取消建筑散水排放,将屋面雨水立管通过环形管道连接后统一收集转输至远离建筑的公共绿地调蓄。二者皆采用此法。

图5 湿陷性黄土场地海绵城市建设安全防护距离设计
(2)在海绵设施靠近建(构)筑物侧增加防渗措施,改变雨水渗流路径及对地基场作用影响范围,缩小设施与建(构)筑物基础水平防护距离。团队以常见多层(6层)建筑浅基础(埋深1.5 m)为对象,采用有限元法研究不同湿陷等级和水力条件下(压力水头0.2 m),雨水花园底部渗流点距建筑物基础水平距离L值对地基土含水量、应力场及沉降等影响(见图6)。

图6 海绵设施防渗设防距离对建筑地基沉降的影响
以地基不均匀沉降模拟结果与结构允许沉降差,得出不同湿陷等级场地雨水花园防渗设防距离L的优化结果:无湿陷性地基,L>1.0 m;Ⅰ级非自重湿陷,L>1.5 m;Ⅱ级非自重湿陷,L>2.0 m。《海绵城市建设技术指南》中关于设施边界距建筑物基础水平净距≥3 m的控制规定符合设防要求。自重湿陷性场地鉴于黄土本构关系和湿陷机理复杂性,未探明规律前,建议全防处理。上述结论可为相关工程提供参考,但仍需实践长期验证。
3.3 贯穿湿陷性黄土层法
当场地湿陷性黄土层厚度较薄,海绵设施结构深度大于湿陷下限深度时,可采用贯穿法(穿透整个湿陷层)处理。
图7为咸阳职业技术学院贯穿式渗井结构(上部钢筋混凝土滤料池+下部玻璃钢管),用于校园内无管网覆盖的易积涝区雨水渗排(汇流比1∶200,3年一遇1.5 h降雨控制)。其结构侧壁不开孔,地面径流经滤料池(填料体积分数:90%河砂+5%活化沸石+5%海绵铁;饱和下渗速率1.58×10-3 m/s)渗滤净化后通过玻璃钢管底部排泄,回补地下水。玻璃钢管贯入中砂层≥0.5 m,距地下高水位>4 m。4年来运行良好。此法在湿陷土层下限深度<10 m、土层下方潜水位以上有连续稳定砂层、周边无不良地质发育时适用,但在大厚度自重湿陷场地不宜设置。

图7 贯穿式人工雨水渗井结构
3.4 防渗(漏)处理法
当湿陷性黄土层较厚,安全防护距离不足,周围建筑消除地基全部湿陷量或穿透湿陷性黄土层存在困难时,海绵设施防渗处理成为关键环节。防渗包括材料防渗、结构防渗两种形式(常联合使用)。材料防渗多用复合防水土工布、HDPE膜、GCL防水毯、防水水泥砂浆等;结构防渗常用防水砖墙、钢筋(素)混凝土防渗挡墙等,防渗同时亦可加强海绵设施及邻近建(构)筑物抗变形能力。图8为湿陷性黄土场地海绵型市政道路常用三种防渗处理方式,其分别适用于:侧分带较宽(4.5~6 m)、湿陷等级较低情形(见图8a);侧分带较窄(2.5~3.5 m)、湿陷等级及道路等级较低情形(见图8b)和侧分带相对较宽(3~5 m)、湿陷等级及道路等级较高的换填段情形(见图8c)。三种方式工程造价:钢筋混凝土防渗挡墙>防水砖墙>自然放坡,根据侧分带空间,可单独或联合使用。



图8 市政道路侧分带海绵设施防渗处理方式
设计时,防渗膜、防渗挡墙材料性能可参考《土工合成材料应用技术规范》、《水利水电工程混凝土防渗墙施工技术规范》等选取;防渗膜尺寸与包裹方式(全包、半包)、防渗挡墙位置及贯入深度等根据场地湿陷等级、建筑或道路基础保护要求,结合模拟监测优化,安全前提下降低造价。施工时,注意防渗膜搭接宽度、焊缝质量、平整度与渗漏检测(双电极法、水枪法),防渗挡墙完整性(不得有混浆、夹泥、断墙、孔洞),抗压、抗渗性能检测与原材料配合比,预留材料、结构胀缩变化量,合理组织工序,保障施工质量。此外,溢流井、沉泥井、埋地排水管道及接口等做法参考《湿陷性黄土地区室外给水排水管道工程构筑物》国标图集设计;混凝土雨水调蓄池须满足《地下工程防水技术规范》要求,竖向条件允许情况下,宜用地上调蓄代替地下调蓄,分散浅层调蓄代替集中深层调蓄。
湿陷致灾风险较高地区,除做好上述工作外,还须关注渗漏风险点强化处理。图9道路路沿与HDPE防渗膜连接处(S1)施工时须将膜外延10~15 cm与路沿紧密搭接,同时上部第一层路基压实度不小于0.93。当渗透点在S1-S2时,将严重影响路基安全,为此路基应呈梯形延伸至绿地内1~1.5倍路基深度,基槽侧向宜用灰土回填,压实系数不小于 0.94,严格控制该区域渗透系数。HDPE膜与砾石层连接处(S3)应采用人工运送砾石至沟槽底,防止划破HDPE膜。溢流井与市政雨水井连接管在穿越防渗膜部位(S4)须采取热熔机焊接或防渗土工膜专用胶粘接,穿越防渗挡墙时须埋设防水套管,填充柔性密封材料。

图9 市政道路海绵设施渗漏风险点
3.5 强化疏排水法
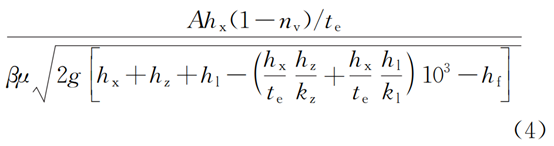
一般地区,为提高生物滞留设施调蓄功能常在穿孔管下方增设一定厚度砾石调蓄层(见图10a);或为实现缺氧反硝化脱氮功能,抬高穿孔管排口标高(见图10b)。但在湿陷性黄土地区,为缩短雨水积存时间,设计时取消砾石调蓄层,穿孔管敷设于砾石层底(见图10c),排水坡度及末端管底标高(高于接入溢流井的市政雨水连接管管底标高)利于渗滤后雨水排出;另一方面,提升设施渗排能力。设施运行初期,种植土层具有良好透水性能,影响设施外排的瓶颈为底部穿孔管排水能力。由于砾石排水层高度(250~300 mm)限制,穿孔管直径一般取DN100~150。管道敷设坡度结合管长、砾石层厚度、溢流设施衔接高程等确定,宜与道路纵坡同坡,但不小于05%。根据孔口出流公式,结合相关研究,在设施结构层水饱和渗透状态下,推求穿孔管开孔面积与设施排空时间关系如式(4)所示:

式中s——穿孔管开孔总面积,m?;
β——孔口堵塞系数;
μ——孔口出流系数,取0.6;
g——重力加速度,m/s?;
hf——透水土工布水头损失,m。

图10 生物滞留设施底部穿孔排水管埋设方式
依据式(4),按照设施结构与排空时间下限(6 h)确定穿孔管开孔面积,并根据制造商规格进行校核。一般PE、PVC-U塑料管开孔率控制在1%~3%,开孔孔径8~12 mm,根据计算结果可适度上调或增大孔径(<最小砾石粒径),在保障管材抗压强度基础上,针对汇水范围较大的设施可设置双管排水,也可采用软式渗透管(FPH)增强排泄能力。除生物滞留设施外,底部防渗处理的透水路面(使用穿孔管或排水盲沟+钻孔钢管等边缘排水系统)同理设置。随着上述设施使用时间延长,渗透性能衰减,影响设施外排能力的瓶颈逐步转化为种植土层(透水面层)渗透能力,超渗产流现象增加,富余雨水通过溢流井(地表坡度)进入管网(周边绿地),并不会造成设施内积水。
此外,设置溢流竖管的雨水塘、采用重力放空的调蓄池等设施,其放空管排水能力(管径、流量)及放空时间等可依据《城镇雨水调蓄工程技术规范》计算确定,兼顾径流调节、下游排水系统排水能力等因素基础上,合理缩减雨水停留时间。
3.6 湿陷变形观(监)测与处置
基于防护体系完备性和事故隐患及时预警、“止损”考虑,在合理选用上述措施基础上,建议结合设计预评估,对自重湿陷性场地上的重要建筑工程(甲类、乙类建筑)、道路工程(快速路、主干路)、海绵设施等增加变形观(监)测与处置,制定监测与应急处置方案,纳入湿陷性场地海绵城市建设运维全过程。观(监)测对象包括临近建(构)筑物变形与海绵设施变形等。建(构)筑物监测重点关注基础沉降量(差)、倾斜、位移、裂缝、地基土含水量等,监测方法参考《湿陷性黄土地区变形监测规范》;海绵设施监测重点关注设施结构变形、附属构筑物沉降、防渗材料(结构)破损、渗漏风险点处土基含水量变化等。综合采用检漏管沟(井)观测、水准测量、传感器(应力应变、湿度等)在线监测等方式实施,根据规范,结合区域降雨特点、海绵设施运维情况合理设定监测频率。当建(构)筑物沉降变形超过允许值,继续发展可能导致破坏性影响或无法满足使用要求时,须及时加固、纠倾和修复。海绵设施防渗系统(防渗膜、防渗挡墙等)损坏时须及时修补,植草沟、下凹式绿地、生物滞留设施、雨水塘等进水口、溢流口水土流失时,须及时补土并设防冲刷措施;及时加固坍塌的设施边坡,避免防渗结构(材料)暴露;加强对溢流井、连接管道等定期检查加固,防止不均匀沉降产生。
4 结语
湿陷性黄土地区海绵城市雨水渗蓄风险防控是一项系统工程,防控思路应由“海绵设施单向被动防渗”向“平面+竖向防护、材料+结构防渗、场地改良+设施构造优化的综合防护体系”转变,针对不同类型海绵设施、不同等级、厚度湿陷性场地、不同应用场景及建(构)筑物种类,分级分类制定防护措施;重视加强水专业与岩土专业对话,在湿陷性黄土饱和-非饱和流固耦合分析、雨水入渗量(路径)与地基不均匀变形关系、海绵设施径流调控效能平衡与水力优化设计等方面开展融合研究,不断丰富湿陷性黄土地区雨洪管理风险防控体系,为科学推广海绵城市建设夯实技术保障。
内容源于给水排水,旨在分享,如有侵权,请联系删除
相关资料推荐:
湿陷性黄土地区建筑规范2004
https://ziliao.co188.com/p51111533.html
知识点:湿陷性黄土地区海绵城市建设雨水渗蓄风险防控
0人已收藏
1人已打赏
免费8人已点赞
分享
市政给排水
返回版块23.68 万条内容 · 858 人订阅
回帖成功
经验值 +10
全部回复(5 )
只看楼主 我来说两句-
songliangt1
沙发
2023-03-01 09:46:01
赞同0
-
doushengf
板凳
2023-03-01 09:07:01
赞同0
加载更多非常好
回复 举报
湿陷性黄土地区海绵城市建设雨水渗蓄风险防控,谢谢楼主分享好资料谢谢啦。
回复 举报