知识点:低压电容器
在电网实现无功补偿实际上是通过对电容器进行投切来进行的,使电网系统能够处于稳定状态。通过确定电容器容量的补偿容量,可提高整个无功补偿系统的可靠性以及补偿效果。但在进行无功补偿之前必须要确定所需补偿容量的大小,这就需要掌握电容器补偿容量的计算方式。假设配电网中的有功功率为P,所需补偿的无功功率为QC,补偿前的功率因数为cosα,补偿后要得到的目标功率因数为cosβ,则补偿容量可用下图计算:

通过QC=U2ωC可以计算出补偿所需要的电容器容量,即:

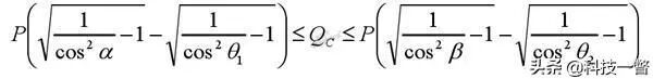
如果无功补偿投入与切除电容器的功率因数门限分别设定为cosθ1、cosθ2,则通过计算,可得到的补偿容量公式如下图所示。

在实际应用中,如果一次投入电容器组容量过大,会对电网造成冲击。所以在得出补偿容量之后,需要把电容器分成多组进行投切。合理的分组,可以使各组电容器的投切次数基本相等,降低电容器投切频率,从而提高了电容器的使用寿命。电容器的分组方式可分为等容分组与不等容分组方式。
所谓的等容分组方式,就是各组电容器的容量相等,这样比较容易控制,在补偿时各组电容器可以相互替换。海文斯电气给出的建议是让各分组电容器容量不相等,例如需要补偿200kvar,可采取180kvar、20kvar进行组合补偿,日常自动采用180kvar补偿,当补偿不够是,投切20kavr的分组,这样可以大大提高补偿精度。
在综合考虑补偿效果和经济效益的前提下,给出的建议是采用容量不相等分组方式,该方式控制过程虽然较为复杂,但是可大大提高补偿精度。
相关推荐:
0人已收藏
0人已打赏
免费2人已点赞
分享
电气工程原创版块
返回版块2.2 万条内容 · 598 人订阅
阅读下一篇
电容器容量怎么读?几种最常见的容量标识法知识点:电容器容量 对于插件电容来讲,电容器上面一般都会印一些很重要的参数,比如电容的品牌、容量、耐压、误差等,其中容量部分很多人看不懂,不知道容量到底是多少,今天就抽时间跟大家普及一些相关的知识。 1、直标法。 这种容量大小比较容易判断,电容上面直接印的就是电容器的容量,比如大多数电解电容上面,都是使用的这种直标法,如下图所示:可以明显看出,这是一个470μF50V的电解电容。 2、不标单位的直接表示法。
回帖成功
经验值 +10
全部回复(1 )
只看楼主 我来说两句 抢板凳文章很有用,收藏一下
回复 举报