土木在线论坛 \ 给排水工程 \ 建筑给排水 \ 管道压力、流速、流量计算,标况和工况流量的转换

管道压力、流速、流量计算,标况和工况流量的转换

发布于:2023-02-23 13:49:23 来自:给排水工程/建筑给排水 [复制转发]

在实际工业管道工程设计中,我们经常会根据客户所给的相关技术参数来设计符合实际生产要求的合理的工程方案,所以,如何确定管道内流速V、压力P、流量Q三者之间的关系变得尤为重要。

现简单从理论上介绍一下三者之间的关系,

举个例子:

 不锈钢无缝管φ25.4x1.65 ,工作介质为氮气N2,工作压力P=0.8MPa,工作温度t=20℃ 求工况流量Q?

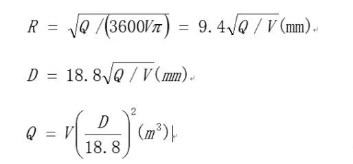
 取不锈钢管内某一截面为参考面,那么介质在1h内留经管道截面的流量有:

Q=VπR2 x 3600

式中, 

Q: 工况流量— m?

V: 介质流速— m/s

R: 管道半径 — m

所以我们得到以下流量计算公式 :

图片
图片

 

在实际工程应用中,管道内流速(V)受很多因素影响(使用压力、管道通径、使用流量等等),所以合理的流速应根据经济权衡决定。

一般液体流速0.5~3m/s,

气体流速10~30m/s。

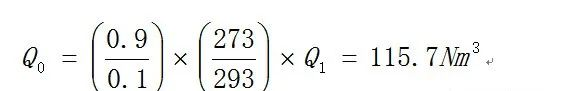
现在0.8Mpa情况下我们取:

流速V=10m/s , 

管道内径22.1mm

则在工况下每小时流量

图片


 

那么,

怎么换算到标况流量呢?

在实际生产中气体的使用压力往往不尽相同,所以一般把工况流量换算成标准状况下的流量,以方便计量使用。

气体在实际使用过程中受各种因素影响,其相关参数往往在不断变化,所以在工程实际计算中往往把气体认为理想气体,从而大概计算出其实际流量。

理想气体状态方程:

PV=nRT

式中, 

P—气体绝对压力 KPa

V—气体体积 m3

n—气体的物质的量 kmol

R—气体摩尔常数 8.314kj/(kmol .K)

T—气体的热力学温度 K

t —工作温度 ℃

 

所以在工况和标况下有:

P0V0=nRT0(标况)

P1V1=nRT1(工况)

联合两式得:

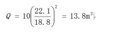
V0=(P1/P0)x(T0/T1)

    = V1(P1/P0)x【273/(273+t)】

注:式中P1为绝对压力,P0为标准大气压力

所以例题中换算成标况流量为:

图片


 

 

标况和工况流量换算公式与实例

 

(一)标况和工况的区别

工况:实际工作状态下的流量,单位:m?/h

标况:温度20℃、一个大气压(101.325kPa)下的流量,单位:Nm?/h

注意:通常所指的标况是温度为0℃(273.15开尔文)和压强为101.325千帕(1标准大气压,760毫米汞柱)的情况,区别于我国工业气体标况的规定。

两种状态下的单位都是一样的,只是对应的流量不同而已。另外不同国家所指的标态也不一样。

 

(二)计算方程

根据理想气体状态方程:pV=nRT。

这个方程有4个变量:p是指理想气体的压强,V为理想气体的体积,n表示气体物质的量,而T则表示理想气体的热力学温度;还有一个常量:R为理想气体常数。

PV/T=nR为常数,所以P1×V1/T1=P2×V2/T2

设标况下体积流量为V0,温度T0=273+20=293k,压力P0=101.325Kpa=0.101325Mpa,

工况下体积流量为V,温度T(摄氏度),压力P(表压力,Mpa),忽略压缩因子的变化有V*(P+0.101325)/(T+273)=V0*P0/T0

 

图片


 

注意:一般天然气都是中低压输送,低压入户,都是带有压力的,属于工况。天然气的计量按标准状态(严格的说是准标准状态,我们叫它常态)来计量的,一般贸易计量按20℃,1个大气压力(0.1013MPa)状态下的体积计量,比标准状态下的体积稍大一些,对卖方有利(因为本来是乘以273,按照20℃的话就是乘以273+20,所以变大了)。在国际标准中的标准状态是0℃,1个标准大气压力。对于气体来说不同的压力,其体积会差很大(气体很易压缩),当然体积流量会差很大,同径条件下不同工况下的流速自然也会差很大,比方同直径蒸汽管线对于10bar和3.5bar时最大流量是不同的。工艺计算时用工况或用标况取决于你查的图表、用的常数,两种状态的计算都是可能出现的。比方在定义压缩机参数时,我们常用标况下的参数来给厂家提条件,同时我们也提供温度大气压力等参数供做工况下的校正,这么做的好处是我们可以用同一个状态来表明参数,就如同泵的性能曲线都是用清水来说的,没人会说汽油的性能曲线是什么,原油的性能曲线又是什么。在很多计算中用的都是工况,比方计算流速时。

 

(三)气体的标准状态

气体的标准状态分三种:

(1)1954年第十届国际计量大会(CGPM)协议的标准状态是:温度273.15K(0℃),压力101.325KPa。世界各国科技领域广泛采用这一标态。

(2)国际标准化组织和美国国家标准规定以温度288.15K(15℃),压力101.325KPa作为计量气体体积流量的标态。

(3)我国《天然气流量的标准孔板计算方法》规定以温度293.15K(20℃),压力101.325KPa作为计量气体体积流量的标准状态。

    天然气标况体积换算公式和普通气体的不一样,必须符合中国石油天然气总公司发布的标准。

    气体的气态方程式:

    Qn=Zn/Zg*(Pg+Pa)/Pn*Tn/Tg*Qg

    式中:

    Qn——标准状态下的体积流量(Nm?/h)

    Zn——标准状态下的压缩系数

    Zg——工作状态下的压缩系数

    Pg——表压(KPa)

    Pa——当地大气压(KPa)

    Pg+Pa——工况下的绝对压力

    Pn——标准大气压(101.325KPa)

    Tn——标准状态下(天然气国标20℃)的绝对温度(293.15K)

    Tg——介质的绝对温度(273.15+t)K

    t——被测介质的摄氏温度(℃)

    Qg——未经修正的体积流量(m?/h)

    注:带n的是标况参数,带g的是工况参数。


(四)标况与工况之间的换算实例

通常我们所说的流量为了便于统一的单位,都是述说的标况状态的流量;而工厂运行记录的实际流量基本都是工况状态下的流量。

1.标况流量到工况流量换算的实例:

问题:空压机额定产气量2立方/分钟,管道压力8公斤,实际管道的工况流量是多少?

解答:粗略计算,假设压缩空气温度20度。

工况流量=2/(0.8+0.101325)*0.101325=0.2248立方/分钟

式中:0.101325是大气的绝对压力;0.8为管道压力,单位是MPa。

2.工况流量到标况流量换算的实例:

问题:氧气管道压力12公斤,工况流量10立方/小时,标况流量是多少?

解答:假设温度为20度,不参与运算。

标况流量=10/0.101325*(1.2+0.101325)=128.43立方/小时

式中:0.101325是大气的绝对压力;1.2为管道压力,单位是MPa。

 

(五)流量计选型计算实例  

问题:已知某一供气管线的实际工作压力为(表压)0.8MPa~1.2MPa,介质温度范围为-5℃~40℃,供气量为3000~10000Nm?/h(标况流量),在不考虑天然气组分情况下,要求确定流量计的规格型号。

解答:根据气态方程先将标况流量换算成工况流量,然后再选择合适的口径。气体方程式如下:

Qb=Q×PTb/PbT×Zb/Zg=QCF2

 式中:C为换算系数;F为气体压缩因子

计算:

①当介质压力最低,温度最高时,应具有最大标况体积流量,

即Qb=Q×PTb/PbT×Zb/Zg=QCF2=1200.87m?/h

②当介质压力最高,温度最低时,应具有最小标况体积流量,

即Qmin=213.51m?/h

从以上计算结果得知,要选择的流量计其工况流量范围为(214-1200)m?/h。

根据计算的流量范围,选择满足工况要求的流量计。

内容源于网络,旨在分享,如有侵权,请联系删除


相关资料推荐:

各种管道流量计算

https://ziliao.co188.com/s55953820.html


知识点:管道压力、流速、流量计算,标况和工况流量的转换


全部回复(0 )

只看楼主 我来说两句抢沙发

建筑给排水

返回版块

47.29 万条内容 · 1370 人订阅

猜你喜欢

阅读下一篇

基坑排水技术

    基坑内排水技术尽管不是建筑行业中建设性技术,但其作为一种补偿性措施,在近些年建筑项目建设中应用日益重要。

回帖成功

经验值 +10