应县木塔位于山西省北部,朔州应县佛宫寺内,全称“佛宫寺释迦塔”,是我国如今唯一保存完好的木构塔式建筑。据明万历年间田蕙(字应芳,号绎斋,今山西应县人,1535-1610)《应州志》记载,应县木塔于辽代清宁二年(1056,北宋至和三年)由田和尚奉敕募建,至金代明昌六年(1195)增修益完(修建年代学界有争议)。
如图1所示,塔身自下往上分为四个部分:第一部分是砖石阶基,高4.40m;第二是木塔塔身,高51.14m;第三是砖刹座,高1.86m;第四是最上的铁制塔刹,高9.91m。全塔总高度67.31m,大约相当于今天的21-24层楼的高度(按楼层高2.8m-3.2m计算)。

图1 应县木塔整体及局部图 来源:网络搜索
世界高层建筑委员会(属联合国教科文组织)曾建议将高层建筑分为四类,I类为9-16层,高度不超过50m;II类为17-25层,高度不超过75;III类为26-40层,高度不超过100m;IV类为40层以上,高度在100m以上。可见,在这一标准中,应县木塔可归类为II类高层建筑。但不要忘记,这是960多年前的木建筑,而且全塔大木结构无钉无铆,仅使用榫卯连接,在当时的科技条件下建造II类高层建筑,其高超的建筑水准可见一斑。
相比于低层建筑,高层建筑高度跨度大,随着高度的增加,侧向载荷(如横向风载)将表现出非线性快速增加的趋势,如图2(a)所示。由此引起的结构内部的水平位移/内力随高度的变化规律也将发生不同的变化。如图2(b)所示,高层建筑内竖向轴力随高度按照线性规律增加,弯矩则按照二次规律增加,水平位移则以四次规律增加。

图2 高层建筑随高度增加载荷、内力、水平位移的变化趋势 彭伟《高层建筑结构设计原理》
我们通常见高层建筑施工时都会有一个很深的基坑,如果是地质条件较差的地区还需要打桩,相当于增加了建筑的埋深。一般规定桩基深度不小于建筑总高度的1/18,桩基所受的约束就像固定端,因此,在力学上,常将高层建筑简化为竖立的“悬臂梁”(承受压弯组合变形)。

图2 高层建筑的“竖悬臂梁”模型
(其中,Δ表示水平位移,M表示高层建筑截面弯矩,N表示高层建筑截面轴力)
为简化分析,我们假定侧向风载为均匀载荷(实际上,风载随高度变化,且具有随机性),以此画出高层建筑的变形曲线、轴力、剪力图如图4所示。

图4 高层建筑的内力和位移分析
依据轴力图和弯矩图,高层建筑适合采用自下而上截面逐步收缩的变截面造型,可达到依次增强低层区承载能力的目的。应县木塔就采用了这样逐步内缩的整体造型,连接2层以上各层外檐柱柱头,它们大致落在同一条直线上,由此大致可推测出应县木塔的内缩角度大约在8o左右(依图5(a)比例量得)。
我国古建筑另一个神奇之处在于,它不像现代建筑那样,利用基坑把建筑深深的“埋”入地下,而是通过很大的基座平台将建筑“放”在基座之上。“埋”入地下的做法相当于固定端,可为高层建筑提供足够抗倾覆力矩,以确保建筑的稳定性。虽然应县木塔基础的细节还不完全清楚,但根据其它古建筑的经验,应县木塔应该也是“放”在基座之上,巨大的砖石阶基就是证据。那么,应县木塔如何提供建筑的抗倾覆力矩呢?
这主要涉及到三个方面:首先,向上收缩的变截面保证了木塔的中心尽可能的在中线上,横向载荷产生的倾覆力矩在各方向相同,所需的抗倾覆力矩在各方向也相同;其次,应县木塔第一层直径较上面各层直径有明显的增加,对于没有大底座的建筑(参见图5(b)),在横向载荷下,地面支撑力与重力形成抗倾覆力矩较小(d很小),若横向载荷偏大极有可能翻到,但如果有大底座(参见图5(c)),一方面它降低了建筑整体的重心,另一方面使得地面支撑向外移动,这就大大增加了建筑的抗倾覆能力;最后,古建筑的屋顶通常都很重,增加了建筑物的重量G,也起到了增加抗倾覆能力。

图5 自下而上逐渐内缩的造型
应县木塔正是利用上述三点,虽然貌似“放”在基座上不如埋入地下稳定,但实际上,在较大重量和底座的配合也可以获得足够的抗倾覆力矩。值得注意的是,这种“放”在基座上的建筑保留了一定的自由度,在遇到如地震等强外载荷时,建筑可以产生一定范围内的“移动”,从而消耗强大的能量输入。据统计,应县木塔建成至今,共经历了40余次地震,200余次枪击炮轰,却安然无恙,令人不由得为之惊叹、称奇。
在我国的《高层建筑混凝土结构技术规程》中,高层建筑被分为A级和B级两类,这种划分没有明确指明楼高,而是将其与结构形式、抗震设防烈度相关联。表1给出了几类典型结构体系对应抗震设防烈度下的最高楼层高度,从中可以看出,筒中筒结构在相同抗震设防等级下,能取得最高的高度,体现了筒中筒结构的合理性。应县木塔就采用了这样的筒中筒结构体系。
表1 A级钢筋混凝土高层建筑的最大适用高度

顾名思义,筒中筒结构体系由内筒和外筒两层组成,如图6所示。常见的外筒形式包括钢框架筒(框架结构)、桁架筒(有明显的节)和网格筒(外筒看不到节,但内部与内筒以节相连)三种,内筒有桁架筒和剪力墙筒体两种形式。

图6 筒中筒体系举例 来源:网络搜索
筒中筒体系的设计灵感很可能来源于竹。竹有两个明显特征:有节、腹空。正是这两个特征才使得竹可以高耸挺拔,直入云霄。依旧采用“悬臂梁”模型,来竹在强度、刚度、稳定性三方面的特点,以体会筒中筒结构的优势。
从强度条件看,高耸的竹子侧向载荷显著,强度主要考虑弯矩产生的应力,最大弯曲应力的求解公式为

其中,Wz为抗弯截面系数,由上式可知该系数越大,求得最大应力越小,结构的安全储备就越多,结构越安全。
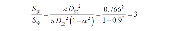
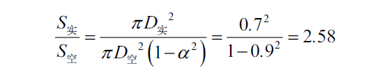
当外载荷确定后,梁所受最大弯矩Mmax即为常数,其强度取决于抗弯截面系数。假设有空心和实心梁。设空心梁外径为D空,实心梁外径为D实,设空心梁内外径之比α固定为0.9,且空心和实心梁抗弯截面系数相同时,有

则,两者的面积之比为

这意味着,在相同强度条件下,空心结构的重量几乎只是实心结构的38%(1/2.58)。同理,如果假定两中结构的重量相等,即横截面面积相等(设高度相等),有

其抗弯截面系数之比为

这说明在同等重量下,实心梁的抗弯截面系数只有空心梁的24%。可见,合理的设计“腹空”结构,可在减少重量的同时提高结构的抗弯截面系数。
再考虑刚度条件,在均布载荷下,梁的最大挠度为

对于确定的高度、载荷、材料,q, H, E均为常数,因此与截面形状有关的截面惯性矩就成为影响最大挠度的关键量。这里,EI被称为抗弯刚度,显然,抗弯刚度越大,产生的位移越小。仿照前面分析,同样可得,当结构取得相同抗弯刚度时,即

因此两者的面积比为

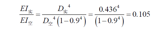
说明考虑相同刚度条件,空心结构用材只有实心结构用材的1/3。如果考虑空心和实心梁横截面相同(两个直径比为0.436),抗弯刚度之比为

这意味着当空心梁与实心梁横截面积相等时,实心梁的抗弯刚度,只有空心抗弯刚度的10%,也意味着实心梁的最大挠度将是空心梁最大挠度的10倍。
由此可见,竹的“腹空”结构可极大的提高强度储备和刚度,增加高耸结构的稳定性。筒中筒结构相当于两个筒体耦合在一起,增加了筒的壁厚,但内筒与外筒之间形成的回廊增加了建筑空间,提高了适用性。
图7所示为应县木塔的结构体系,显然它和现代高层建筑的筒中筒结构十分类似。从一层结构来看,其内筒和外筒均采用了“柱框架+剪力墙”的结构,这就像是从框架结构过渡到剪力墙结构。从结构强度的角度来看,剪力墙可增强高层建筑的竖向承载能力和横向承载能力。

图7 应县木塔的筒中筒结构 来源:网络搜索
据说梁思成1933年第一次测绘应县木塔时,木塔二层以上都有夹泥墙(做剪力墙使用),但在随后的一次修缮中,因相关专家认为剪力墙使得木塔看起来不够“玲珑剔透”,因此将二层以上的夹泥墙拆除,全部换成木格。等到梁思成再次关注到应县木塔时,心痛的说“现在不惟壁画失亡,且因改换格子门,拆去斜戗,危及塔身结构,比民国十九年战争中弹时损害尤烈,可谓为木塔八百余年以来最大的厄运。”如今,木塔二层已有明显的残损和倾斜变形,成为木塔的薄弱环节。

图8 左有夹泥墙的应县木塔和右侧更换木格后的木塔 来源:网络搜索
最后考虑失稳问题。由于高层建筑属于“细长结构”,又承受巨大的竖向压力载荷,因此“压杆失稳”也是高层建筑必须考虑的。依据欧拉公式,求解压杆失稳的临界载荷为

这里,l相当于楼的高度,μ称为长度因数,与约束有关。由上述公式可以看出,当楼层越高,即l越长,其临界载荷越小,就越容易发生失稳。不过,我们也应该注意到高层建筑竖向载荷的变化。由于高层建筑的竖向载荷主要来自于建筑的自重,因此,竖向载荷自上而下逐渐增加,越是下层受到的压力越大。
楼层很像竹子竹节的作用,竹节给“压杆”增加了约束,将长长的竹子划分为多个小段,每一段都是一个两端固定的压杆(μ=0.5),减小了欧拉公式中的l,使得每一段都是“短杆”而不是长杆,从而保证了在竖向载荷下的稳定性。
竹子的节总是下面的短、上面的长,这体现了竹子在抵抗压杆失稳时的“聪明才智”,由于下面的载荷大,短一些可提高失稳临界载荷,上面载荷小一些,可适当的增加长度,从而保证自身能够长的最高。高层建筑也是这样,底层区应该矮一些,高层区可以高一些。有的时候,一层需要某种使用功能,需要高开间,那么一层的柱或墙就需要做的粗壮、厚实一些(加大截面惯性矩I)。如图9所示,应县木塔第一层开间大,柱径也明显大于其它层的立柱,增加柱径除了具有增大承载能力,也是确保立柱不发生“压杆失稳”的重要保证。

图9 应县木塔框架示意图 来源:网络搜索
应县木塔塔身表面上看是5层,但实际上有9层,被称为5明层,4暗层(参见图10)。暗层的作用就像是竹子的“节”,它利用斜撑增加了暗层的刚度,使木塔整体表现出一刚一柔,刚柔并济的特点。从压杆失稳的角度看,缩短了称压柱的长度,提高了承压柱的临界载荷。大概也因为此,有学者认为应县木塔不是简单的筒中筒结构,而应该是单层建筑的“叠摞”结构。

图10 应县木塔暗层示意图 公众号:无用研究社
如果从力学分析角度看,分析“承压稳定性”(类似于压杆失稳),就需要将其视为“叠摞”结构模型,但是如果分析强度和刚度,则需要用筒中筒结构模型。根据分析目的的不同,变换力学模型,选取不同的研究对象,也是力学分析的基本特征。
在搜集应县木塔的资料时,读到上世纪30年代应县木塔拆除二层以上的夹泥墙引起塔身倾斜,心中五味杂陈。我们在欣赏木塔的艺术成就时,除了看得见的斗拱、壁画、牌匾之外,结构所遵循的、看不见的力学原理也应被视为艺术组成部分,只有这样,艺术才能具有长久的生命力。
如今木塔因倾斜,不再允许游客登塔,我在《无用研究社》和《朔州市文物保护与利用中心》公众号中看到了木塔内景的照片,优美壮丽的雕塑使人恍入仙境、心不染尘......

第1层 中央为高约十一米的坐佛

第2层 方形佛坛,一佛、二协侍菩萨及文殊、普贤坐像

第3层 八角形佛坛,坛上为四方佛,塑像朝向分别面对东、南、西、北四个方向。

第4层 长方形佛坛,上设一佛、二弟子及文殊、普贤。

第4层 局部

第4-5层间暗层

第5层 方形佛坛,上设一佛八菩萨,菩萨按八角形布置环绕在佛像周围
来源:力学酒吧
知识点:应县木塔的静力学浅析
0人已收藏
0人已打赏
免费11人已点赞
分享
中国建筑史
返回版块5.15 万条内容 · 173 人订阅
阅读下一篇
浅谈古建筑的加固与维修古建筑作为历史文化遗产,是历史传承的主要载体,古建筑所拥有美学与科学的高度统一性,极具有科学研究价值,凝聚着民族自豪感。尽可能的延长古建筑的寿命是每个人的心愿。然而,由于我国古建筑以木结构为主,在长期的风吹雨淋、虫蛀、以及自身载荷等作用下,发生损坏和腐烂在所难免,因此古建筑的加固与维修就成为了古建筑保护的重要内容。 “修旧如旧”是古建筑的加固、维修的基本原则,如我国新版的《古建筑木结构维护与加固技术标准》(GB/T50165-2020)中规定,古建筑维护与加固应保存其原形制、原结构、原材料和原工艺,根据勘察结果,遵循最少干预原则。
回帖成功
经验值 +10
全部回复(11 )
只看楼主 我来说两句-
阿巅2019
沙发
2023-02-28 12:09:28
赞同0
-
战争结束了
板凳
2023-02-27 14:03:27
赞同0
加载更多谢谢分享 很好的资料,谢谢分享!!!
回复 举报
学到了
回复 举报