一般情况下,工程中的梁大多是等截面梁,即沿着梁的长度方向,梁的横截面不发生变化。以矩形截面简支梁为例,将其自重等效为均布载荷q,画出该梁的剪力、弯矩图如图1(b)和(c)所示。

图1 受均布载荷梁的剪力、弯矩图
显然,从剪力图来看,在梁两端约束所在截面上,剪力达到最大,梁将承担剪切破坏的风险;同理,从弯矩图来看,而在梁的跨中1/2截面上,弯矩达到最大,梁将承担弯曲破坏的风险。
当梁两端发生剪切破坏时,剪应力达到最大值,此时梁两端截面上的剪应力最大,有

但是,这种情况下,位于梁跨中的材料,尤其是1/2处的材料,几乎没怎么“出力”,这实际就造成了材料的浪费。如果考虑剪力变化,理想的梁截面应该随剪力的变化而变化,不妨使梁的高度变化与剪力变化一致(也可以选择变梁的宽度),跨中少用一些材料,两端多用一些材料,如图2所示。这样,当梁两端截面上达到最大剪应力时,所有截面上的材料都达到剪应力最大值,这就意味着在梁发生剪切破坏时,梁所有截面上材料都发挥出了最大的“效能”。

图2 剪力图启发下的理想梁截面分布
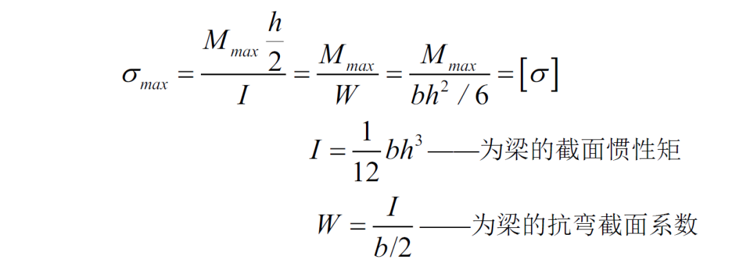
另一方面,从弯矩图来看,当梁跨中截面上弯矩将首先达到最大,发生弯曲破坏时,跨中截面弯曲正应力达到最大,有

对于等截面梁,梁跨中材料承受最大正应力时,梁两端的材料几乎还没怎么“出力”。同理,设计随弯矩而变化梁的截面(保证惯性矩应随弯矩变化),同样以变高度为例(也可以变宽度)可保证使梁所有截面上的材料都发挥出最大“效能”,如图3所示。这样,也就意味着跨中截面即将破坏时,梁所有截面上的材料都达到了应力最大值。

图3 弯矩图启发下的理想梁截面分布
像这样横截面随剪力和弯矩变化的梁,在发生破坏时,梁上所有截面都能发挥出最大“效能”的梁被称为等强度梁。将图2和图3梁进行形状叠加,可得到综合考虑剪力和弯矩的等强度梁。
在实际工程中,通常为了简便,一般先以梁弯曲强度为依据,得到梁截面的变化规律,然后在确保弯曲强度条件下,对梁两端的剪切危险截面进行强度校核,获得梁的最小截面,以此进行的等强度梁设计,因其形状也被称为鱼腹梁,如图4所示。
图4 鱼腹梁示例
如果我们仔细观察斗拱结构,在斗拱中也可以找到类似的“等强度梁”的应用。图5所示为珍藏于成都香米园汉陶艺术博物馆的一件展品,从图中可以看出,在其一斗三升结构中,拱的造型即有鱼腹梁的外形,这或许说明汉代人们已经获得了梁构件破坏的特征,并针对性的进行了增强,具有了“等强度梁”的朴素概念。

图5 汉陶艺 水榭 (现收藏于成都香米园汉陶艺术博物馆)
将斗拱中的拱设计为鱼腹状,也是后来斗拱设计的基本造型,如唐代建筑代表佛光寺大殿斗拱(图6(a)),宋代建筑代表广东肇庆市梅庵(图6(b)),一直到明清时期,拱构件都保持了这样的鱼腹造型。
修建于明万历年间的广西玉林真武阁(图6(c)),拱的鱼腹状更为纤细、个性更为突出,这充满表明了人们对“等强度”的深刻认识,也使得设计更为大胆。如果从真武阁斗拱整体来看,它们又组成一个更大规模的鱼腹状等强度梁,使得整体又表现出轻盈、巧妙。

(a) 五台山 佛光寺大殿斗拱(唐)
(b) 广东肇庆 梅庵

(c) 广西玉林 真武阁
图6 唐、宋、明代斗拱代表
毫无疑问,鱼腹状的拱构件,既增强了古建筑的艺术性,又遵循等强度梁设计,体现了朴实的科学性。除了拱构件外,一些辅助出檐的斗拱组件或构件也采用了等强度设计。出檐也称为悬挑,其主要承载结构为悬臂梁。同样将悬臂梁自重等效为均布载荷q,绘制悬臂梁的剪力、弯矩图如图7所示,即

图7 悬臂梁的剪力、弯矩图
由悬臂梁可以看出,剪力和弯矩都在固定端最大,自由端最小(为0),因此对于等强度悬臂梁,固定端的截面要大,而在自由端的截面可以小。一般情况下,为了简便,通常使梁截面按直线分布(忽略弯矩的曲线变化),即等强度悬臂梁就具有了三角形式,如图8所示,

图8 等强度悬臂梁形式
位于广西壮族自治区玉林市的真武阁,在其二层、三层的出檐部分的插拱(插入立柱,起悬挑屋檐的作用)就组成了类似三角形的等强度梁。不过需要注意的是,插拱组成的等强度梁不是一个整体,而是由多层拱组成的,它们就像是梁的不同纤维层,组合在一起就具有了三角形等强度悬臂梁的功能。

图9 广西玉林市 真武阁
有些学者认为,斗拱在发展的早期起到了结构承载功能,到了明清时期,建筑的出檐悬挑规模较唐宋时期小很多,斗拱在用料和尺寸上也趋于缩小,因此认为明清时期斗拱的结构承载功能退化,明清斗拱的功能以装饰美化、区分等级为主。但我总感觉,斗拱模式的缩小不是简化斗拱的结构功能,而是斗拱在历史演变中的优化体现,正如等强度梁,使得材料物尽其用、充分发挥材料的承载功能。
正如早期人们穿衣的目的是保暖,随着时代的进步,人们在保暖之外,更加注重衣服的美观,但不能说衣服自此没有了保暖功能。应该是保暖是衣服设计的第一要求,在保证第一要求的基础上,再进行的装饰、美化设计。斗拱的演变也是这样,首先是要保证结构功能,其次才是它的装饰功能。换言之,只有遵循力学原理的斗拱设计才具有真正的美学价值。
知识点:斗拱中的等强度梁
0人已收藏
0人已打赏
免费1人已点赞
分享
中国建筑史
返回版块5.15 万条内容 · 173 人订阅
阅读下一篇
斗拱之计心造与偷心造将屋顶载荷传递至立柱,增强了结构的稳定性。图1所示为山西平遥镇国寺万佛殿斗拱,为了描述方便建立图示坐标系,设X轴为房屋的面阔方向,Y为房屋的进深方向,Z为高度方向。所谓华拱即指Y轴方向的拱,负责向房屋内外出挑,X方向的拱为横拱,如图1中的令拱、慢拱等。 图1 斗拱坐标系示意图 来源:网络 制作斗拱时,最下面的华拱称为一跳华拱,再上一层称为二跳华拱,以此类推。“昂”在唐宋时期是一种斜向放置的“华拱”,到明清时演化为假昂,在华拱外侧增加了斜向下的昂首,只有装饰意义,而无结构意义。所谓计心与偷心,即看在华拱或昂上是否安装横拱。
回帖成功
经验值 +10
全部回复(1 )
只看楼主 我来说两句 抢板凳厉害了
回复 举报