土木在线论坛 \ 道路桥梁 \ 桥梁工程 \ 大跨度悬索桥的多阶模态涡振与半主动控制技术

大跨度悬索桥的多阶模态涡振与半主动控制技术

发布于:2023-02-17 13:27:17 来自:道路桥梁/桥梁工程 [复制转发]
图片

至喜长江大桥


众所周知,当气流流经钝体断面时,在断面两侧就会出现交替脱落的漩涡,引起表面压力周期性的变化,从而在结构上产生周期性变化的竖向脉动力(压力差),也称为升力。当升力的频率接近于结构的某一阶频率时,就会发生涡激共振。涡振一般是单个模态的共振响应。进一步分析可知,桥梁的跨度越小,频率就越高,越不容易发生涡振。


涡激共振主要有五个方面的特征——在较低风速下发生的有限振幅振动,兼有自激振动和强迫振动的特征;只在某一风速区间内发生,称为锁定现象;最大振幅与气动参数、结构参数有关(模态阻尼和质量,Sc数);涡激响应对断面形状的微小变化很敏感;涡激振动可以激起弯曲振动,也可以激起扭转振动。


桥梁发生涡激共振的一个典型的案例就是日本的东京湾桥。该桥是一座10跨连续梁桥,主跨240m,单箱钢梁,梁高6~10.5m。在15m/s到20m/s左右的风速下,东京湾桥发生了涡激共振,最大振幅达到了50cm。


本文之所以要单独探讨悬索桥的多阶模态涡振问题,主要是因为悬索桥竖弯模态频率密集,在不同风速下加劲梁的各阶竖弯模态容易依次出现涡振。但现有的规范只针对一阶模态(通常是低阶模态)。高阶模态振动时,相同振幅下加速度响应更大,引起的应力也更大,对结构更加不利,因此需要开展悬索桥多阶模态涡振问题的专门研究。


悬索桥各阶模态涡振振幅相等


在桥梁风洞试验中,通常采用主梁节段模型来预测涡激共振。但是,节段模型试验只是对某一个模态进行,如果存在多阶模态涡振,那么就需要使用新的方法来预测各模态的涡振幅值。


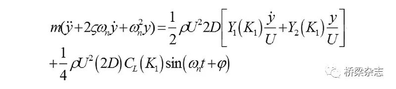
1.多阶涡振振幅的理论预测方法

该方法是基于风洞试验为基础,采用经验线性涡振力学模型:

图片

Y1、Y2为与断面形状有关的气动力系数,CL为动升力系数。无量纲振幅 y/D 为:

图片

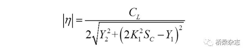
在假定不考虑自激力的情况下,经验线性涡激振子模型就退化为简谐涡激力模型。此时,无量纲振幅简化为:

图片

从上述公式中可以看出,涡振最大振幅不仅与断面气动外形有关,还有各阶模态的振型阻尼和质量有关。如果各阶模态的阻尼比相等,模态质量相等,那么它们的涡振振幅也就相等。悬索桥基本满足上述条件,所以可以认为悬索桥各阶模态涡振振幅相等。


2.多阶涡振振幅相等的气弹模型风洞试验验证

为了验证上述理论方法,必须制作一个可以模拟多个模态密集分布的气弹模型,用气弹试验来验证。


现有的气弹模型包括两类。一类是传统的悬索桥气弹模型。该模型由于缩尺比非常小、干扰因素太多,且一般只能模拟每个方向前2-3个模态,所以无法完成高阶模态的模拟。另一类是拉条模型。该模型的刚度由两条平行张紧的钢丝提供,它的高阶频率分布按自然数增加,即n阶模态的频率是1阶模态频率的n倍,因此,拉条模型不能模拟悬索桥的多模态密集分布特性。


综上所述,针对悬索桥高阶模态振动的研究,必须开发一种新型的气弹模型。


图片

图1 多点弹性支承连续梁的气弹模型示意图


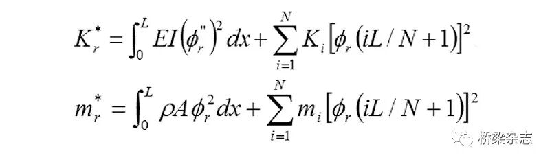
为了避开塔和缆索系统干扰,单纯研究加劲梁的涡激力跨向相关性与高阶模态振型变化之间的关系,本文提出了一种新型气弹模型——多点弹性支承连续梁的气弹模型。如图1所示,红色部分代表主梁为加劲梁,通过弹簧支撑来模拟刚度。通过加劲梁和合理调节弹簧支撑的刚度,可以实现气弹模型与原模型动力特性的等效。该模型设计方法中,已知某悬索桥的频率、振型:φr (x)=sinrπx/L (r=1, 2, …, m);未知参数为弹簧刚度Ki (i=1,2,..(N+1)/2)。通过建立方程,可以计算出第r阶模态的广义刚度和广义质量为:

图片

按照该方法可以设计制作宽高比为6的多点弹性支撑连续梁气弹模型,如图2。可以采用强迫振动激振法或者自由振动法,对气弹模型的频率、振型及阻尼比特性进行校验,此处不再赘述。图3给出了某个工况下的前4阶模态的频率响应函数,利用该频响函数,可以得到模态阻尼比,如表1。强迫振动法得到的阻尼比要高过自由振动法,反映了阻尼的振幅依存性。


图片

图2 宽高比为6的多点弹性支撑连续梁气弹模型

图片

图3 前4阶模态的频率响应函数

图片

基于该模型,测定了各阶模态的涡振情况,图4给出了特定工况下各阶模态涡振的测试结果。从图中可知,高阶模态的涡振振幅基本相等;低阶模态振幅偏小,主要原因是紊流强度大则涡振振幅减小。如果扣除紊流影响,可以认为不同模态的振幅相同。


图片

图4 无量纲化竖弯涡振振幅——风速曲线


3.多阶涡振振幅相等的实桥验证

塔科马老桥是验证多阶模态涡振的一个典型事例。塔科马老桥是因为颤振而损毁,但从它建成通车到发生风毁前,发生了将近4个月不同模态的竖向涡振。通过整理塔科马老桥涡激共振的振幅,可以进一步研究多阶模态涡振的情况。


塔科马老桥是一座主跨853m的悬索桥,桥宽11.9m、梁高2.45m、垂跨比 1/12。从该桥报告的监测数据中整理出各阶模态的涡振振幅,并将对称模态和反对称模态进行分类处理(如表2、表3)。从表中可见,在对称竖弯模态涡振振幅中,最大双边振幅达到了91cm;反对称竖弯模态涡振振幅中,最大双边振幅达到90—92cm之间。可见,从塔科马老桥实测的大量数据看,各阶模态的振幅基本相同,高阶模态振幅甚至大于低阶模态振幅。


图片
图片

此外,运用悬索桥多阶涡振理论,笔者及研究团队对宜昌庙嘴长江大桥进行了涡振性能评估,并进行了1/50和1/25的加劲梁涡振模型风洞试验。该桥为主跨838m的悬索桥,采用开口钢混叠合梁,梁宽33m、高2.8m。需要强调的是,悬索桥是以缆索作为主要承重构件的一类桥梁,发生竖向振动时其刚度及耗能主要来自缆索,应谨慎选取悬索桥的阻尼比取值。1/25大比例模型涡振风洞试验结果如图5。


图片

图5 1/25大比例模型涡振风洞试验结果

   (a)无气动措施 (b)有气动措施(两道下稳定板)


按悬索桥模态特征,利用1阶模态试验结果推算其他模态的涡振振幅。按照规范,如果换算的振幅,各阶模态广义质量和阻尼比相等的时候,那么它的振幅也基本相等,但容许值减小。从宜昌庙嘴长江大桥的实验结果看(表4),加劲梁成桥状态前五阶竖向涡激共振响应共振响应均满足规范要求。第6阶模态的竖向涡振振幅略大于限值,但其起振风速为23.9m/s,最大振幅对应的风速为25.4m/s,刚好在桥梁运营容许风速附近。 


图片

悬索桥涡振振幅限值探讨


桥梁发生涡振带来的另外一个问题,就是多大的振幅能够被工程设计接受。针对这一问题,不同的规范标准存在不同维度的评价方法。有的标准是从疲劳的极限状态对涡振的允许值进行评估,有的是通过桥梁允许的振幅来规定涡振的限值,还有的是通过桥梁涡振的加速度来规定涡振的限值。通过对比各个规范可见——


1.从疲劳极限状态对桥梁涡振响应进行评估

《欧洲规范EN1991-1-4》《加拿大高速公路桥梁设计规范CAN/CSA-S6-06》《英国桥梁气动力效应设计法则BD 49/01 》


2.桥梁涡振容许振幅

《中国公路桥梁抗风设计规范 (JTG/T 3360-01-2018) 》《日本高速公路桥梁抗风设计指南(1991)》(Hiroshi Sato)


3.桥梁涡振容许加速度

《英国桥梁气动力效应设计法则BD 49/01》;RWDI技术报告:北美和英国涡振容许加速度(IRWIN P A. Motion criteria) 


我国规范目前采用的允许值主要是借鉴了日本的规范。据日本京都大学Yagi教授介绍,日本规范中的竖弯涡振限值公式是基于桥梁竖向振动加速度限值等于1.0m/s2、竖弯基频采用近似公式fv=100/L计算,桥梁跨度L=160m,进而可以得出涡振限值。与其他规范相比,对于低频涡振,中日规范涡振限值可能过于严格;但对于高频涡振,中日规范涡振限值可能过于宽松。


ISO-2631(1978, 1985, 1997)系列标准不仅仅考虑振幅的大小,还规定了频率的范围,考虑得更为全面(如图6)。比如,在低频大振幅振动的影响下,人体会出现不良的生理反应(如晕船);如果频率范围较高,人体则会出现烦躁、不舒适等不良的心理反应。


图片

图6 ISO 2631-1985 “极不舒适限值”


此外,还有从桥梁行车视距的角度考虑涡振限值。如图7所示,若满足行车安全性,必须保证从波峰到波谷的距离不能够超过0.35米。表5是以大带东桥的频率分布范围,对比了各个规范对涡振振幅的容许值。


图片

图7 考虑桥梁行车视距的涡振限值简化分析

图片

笔者参加了今年应急部组织的全国桥梁服役安全调研,发现影响涡振幅值的另外一个重要因素是波峰“跳车”,主梁竖向振动时驾驶员误判波峰可能引起的跳车。为此,需综合加速度、行车视距、疲劳以及波峰“跳车”等因素,建立一套涡振限幅的复合指标体系。


悬索桥多阶涡振的控制


1.多个模态涡振控制的措施

涡振最大振幅不仅与断面气动外形有关,还有各阶模态的振型阻尼和质量有关。因此,抑制或降低涡振振幅的措施包括气动措施和结构措施。其中,结构措施包括增加质量、增大刚度和提高阻尼比。在这几种办法中,增加质量的做法在实际工程中很难实现,作用有限;而增大刚度则没有解决根本问题,尤其是对于大跨度悬索桥。


悬索桥发生涡振的一个主要原因就是阻尼比很小。因此,有效提高阻尼比,则是一个非常有效的涡振控制措施。


2. 风致振动控制的气动措施 

风致振动与结构外形有关,因此可以针对不同的断面类型进行气动性能优化,采用气动性能优良的拟流线型断面,或者附加各种可以提升桥梁抗风性能的部件(如图8),这些措施的优化目标需兼顾颤振与涡振性能。例如英国Severn二桥采用的是下稳定板控制涡振;丹麦的大带桥采用的是导流板控制涡振。 


图片

图8 提升桥梁抗风性能的部件


然而,在实际工程中,寻找气动措施是一种非常困难的过程,需要不断试算,尤其是对于某些断面,可能很难找到有效的措施。


3.风致振动控制的阻尼措施 

悬索桥固有阻尼很小,因此容易出现涡振,而且阻尼比随模态频率升高而降低。图9是研究人员依托我国某大型桥梁识别到阻尼比,各阶模态参数如表6。针对如此小的结构阻尼比,如果给结构增加阻尼的话,将会是一个抑制涡振非常有效的措施。


图片

图9 某大型桥梁阻尼比

图片


传统的方法是采用调谐质量阻尼器(TMD)抑制涡振。TMD是一种单模态的减振装置。但是对于悬索桥来说,该方法有很大的局限性。一方面,可行性差。每一个模态需要一组同频率的TMD减振,若要控制多达10个模态的悬索桥涡振,需要附加上千吨质量的多组TMD,施工难度及建设成本都很高。另一方面,实现难度大。千米级跨度悬索桥的竖向模态频率很低,TMD的弹簧刚度由频率唯一确定,低频竖向TMD在悬挂质量块后产生的弹簧静伸长公式为0.25/f2(m)。如果频率为0.2Hz,弹簧静伸长就是6.25m。这样的弹簧一是无法制作,二是钢箱梁内无法安装。采用杠杆原理可以解决这个问题,但结构非常复杂。因此,针对某些特定桥梁,必须采用其他方式来提高阻尼比。


通过研究发现,多跨(两跨及以上)连续悬索桥的塔梁之间一般没有竖向支座,如我国的西堠门大桥、丹麦的大带桥、土耳其的1915大桥、韩国的李舜臣大桥等。针对这一种体系,笔者及团队提出了在塔和梁之间设置阻尼器,进而提高结构各阶模态阻尼比的方案。涡振时塔与加劲梁之间有较大的相对竖向位移,在此处设置竖向阻尼器可以显著抑制全桥加劲梁多个模态的竖向与扭转振动。


图片

图10 竖向阻尼器设置方案


如图10所示,在北塔增设下横梁或牛腿,并与加劲梁之间设置竖向阻尼器,因为涡振时此处往往有竖向相对位移。工作时,估计最大阻尼力在20吨(200kN)左右。通过上述等效连续梁模型证实了方案的有效性和可行性。该方案也获得了发明专利。依据针对悬索桥涡振专门开发的多点弹性支撑连续梁气弹模型风洞试验,可以验证这一方案的有效性,如表7所示。


图片


根据桥塔设置阻尼器的参数优化仿真分析可知,控制不同模态的阻尼器最优阻尼系数不同;控制高阶模态阻尼系数小,而且阻尼器对提升高阶模态阻尼比更为有效。为了优化阻尼系数,可以采用电磁铁产生阻尼力,针对各阶模态涡振进行半主动控制,使各阶模态的减振效果达到最优。


大跨度钢箱梁悬索桥在多个模态、不同风速下,存在发生涡激共振的可能性。因此,抗风研究中需研究多阶模态涡振。


本文通过理论分析、风洞试验、实桥验证,得出了各阶模态涡振振幅相等,加速度按频率比的平方增加的结论。因此,更加要重视高阶模态涡振。


悬索桥竖弯模态的固有阻尼比非常小,低至0.2%~0.3%。其中一个主要原因就是,随着桥梁施工技术的提高、预制装配化程度的提升,阻尼的性能会有所降低。对于全漂浮体系的悬索桥,在塔梁之间连接阻尼器,可有效抑制多阶模态涡振;为实现各级模态涡振的最优控制,可以采用半主动控制的方案。

内容源于网络,旨在分享,如有侵权,请联系删除


相关资料推荐:

某跨度90m人行悬索小型悬索桥图纸

https://ziliao.co188.com/d60658929.html


知识点:大跨度悬索桥的多阶模态涡振与半主动控制技术



全部回复(2 )

只看楼主 我来说两句抢地板
这个家伙什么也没有留下。。。

桥梁工程

返回版块

19.44 万条内容 · 657 人订阅

猜你喜欢

阅读下一篇

聚焦人行悬索桥的抗风特殊性

上世纪40年代,塔科马大桥风毁事件使得桥梁抗风稳定性研究逐渐发展起来。而在历史上,人行桥因风致振动而发生破坏的例子也是屡见不鲜。苏格兰的德莱堡修道院大桥于1817年建成,在建成后的第二年就因风致振动使得其部分桥索发生破坏,随后被一场大风彻底摧毁。位于美国西弗吉尼亚州的惠灵大桥于1854年5月被一场大风掀翻桥面,英格兰的布莱顿栈桥于1896年发生风致破坏。早些年,人行悬索桥的跨径一般在300米以下,其抗风稳定性问题并没有得到足够的重视。如今,随着技术的不断发展以及各种地形的要求,人行悬索桥的跨径已经突破500米,使我们必须要面临一系列新的风致振动问题,尤其是大跨径人行悬索桥的颤振稳定性问题。人行悬索桥跨径不断增大,而主梁的宽度和高度均较小,结构更加轻柔,这使其频率相对较小,相较于公路桥更容易产生大的振动和变形。而且人行悬索桥还有桥面构造简单、设计寿命相对较短等特点,这与公路桥明显不同。因此直接使用公路桥梁规范对其进行抗风设计具有不合理性,在抗风设计中需要采取相应的措施,来应对大跨径悬索桥所面临的风致振动问题。

回帖成功

经验值 +10