关于埋入式柱脚的构造埋入深度,前文已总结,本文主要针对埋入式柱脚抗震情况下相关计算要求进行梳理。
8.6.4 埋入式柱脚的设计应符合下列规定:
1 柱脚轴向压力由柱脚底板直接传给基础,应按现行国家标准《混凝土结构设计规范》GB 50010验算柱脚底板下混凝土的局部承压,承压面积为底板面积。
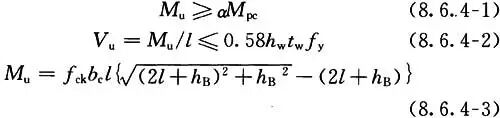
2 抗震设计时,在基础顶面处柱可能出现塑性铰的柱脚应按埋入部分钢柱侧向应力分布(图8.6.4-1)验算在轴力和弯矩作用下基础混凝土的侧向抗弯极限承载力。埋入式柱脚的极限受弯承载力不应小于钢柱全塑性抗弯承载力;与极限受弯承载力对应的剪力不应大于钢柱的全塑性抗剪承载力,应按下列公式验算:

式中:Mu——柱脚埋入部分承受的极限受弯承载力(N·mm);
Mpc——考虑轴力影响时钢柱截面的全塑性受弯承载力(N·mm),按本规程第8.1.5条的规定计算;
l——基础顶面到钢柱反弯点的距离(mm),可取柱脚所在层层高的2/3;
bc——与弯矩作用方向垂直的柱身宽度,对H形截面柱应取等效宽度(mm);
hB——钢柱脚埋置深度(mm);
fck——基础混凝土抗压强度标准值(N/mm2);
α——连接系数,按本规程表8.1.3的规定采用。

图8.6.4-1 埋入式柱脚混凝土的侧向应力分布
3 采用箱形柱和圆管柱时埋入式柱脚的构造应符合下列 规定:
1)截面宽厚比或径厚比较大的箱形柱和圆管柱,其埋入部分应采取措施防止在混凝土侧压力下被压坏。常用方法是填充混凝土(图8.6.4-2b);或在基础顶面附近设置内隔板或外隔板(图8.6.4-2c、d)。
2)隔板的厚度应按计算确定,外隔板的外伸长度不应小于柱边长(或管径)的1/10。对于有抗拔要求的埋入式柱脚,可在埋入部分设置栓钉(图8.6.4-2a)。

图8.6.4-2 埋入式柱脚的抗压和抗拔构造
1-灌注孔;2-基础顶面
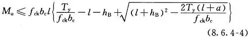
4 抗震设计时,在基础顶面处钢柱可能出现塑性铰的边(角)柱的柱脚埋入混凝土基础部分的上、下部位均需布置U形钢筋加强,可按下列公式验算U形钢筋数量:
1)当柱脚受到由内向外作用的剪力时(图8.6.4-3a):

2)当柱脚受到由外向内作用的剪力时(图8.6.4-3b):

式中:Mu——柱脚埋入部分由U形加强筋提供的侧向极限受弯承载力(N·mm),可取Mpc;
Ty——U形加强筋的受拉承载力(N/mm2),Ty=Atfyk,At为U形加强筋的截面面积(mm2)之和,fyk为U形加强筋的强度标准值(N/mm2);
fck——基础混凝土的受压强度标准值(N/mm2);
a——U形加强筋合力点到基础上表面或到柱底板下表面的距离(mm)(图8.6.4-3);
l——基础顶面到钢柱反弯点的高度(mm),可取柱脚所在层层高的2/3;
hB——钢柱脚埋置深度(mm);
bc——与弯矩作用方向垂直的柱身尺寸(mm)。

图8.6.4-3 埋入式钢柱脚U形加强筋计算简图
8.1.5 构件拼接和柱脚计算时,构件的受弯承载力应考虑轴力的影响。构件的全塑性受弯承载力Mp应按下列规定以Mpc代替:
1 对H形截面和箱形截面构件应符合下列规定:

式中:N——构件轴力设计值(N);
Ny——构件的轴向屈服承载力(N);
A——H形截面或箱形截面构件的截面面积(mm2);
Aw——构件腹板截面积(mm2);
fy——构件腹板钢材的屈服强度(N/mm2)。
根据高钢规8.6.4-3条,影响柱脚埋入部分承受的极限受弯承载力Mu几个因素
(1)柱脚外部混凝土等级(2)柱脚钢骨宽度 (3)柱脚钢骨埋入深度。(4)柱脚所在层层高。
对于钢柱截面尺寸确定的情况,(1)、(2)、(4)三个条件基本都是确定的,根据高钢规8.6.4-3条,可以反推得出柱脚钢骨埋入深度的计算值
hB≥Mu/(fck*bc*l)+√2*√(Mu/(fck*bc*l))*√(Mu/(fck*bc*l)+2l)
从公式可以看出,(1)柱脚外部混凝土等级提高,柱脚埋入深度降低(2)柱脚钢骨宽度增大 ,柱脚埋入深度降低 。


可以看出倒推的埋入深度一般情况下小于构造要求的埋入深度。 埋入式柱脚的抗震性能验算一般比较容易满足也就是说通常情况下无需计算钢柱的极限受弯承载力。
《高层民用建筑钢结构技术规程》JGJ99-2015中未对埋人式柱脚纵筋的计算要求。
国标图集《多、高层民用建筑钢结构节点构造详图》16G519中对埋人式柱脚,要求柱脚主筋配置量根据柱脚底部弯矩设计值计算确定。具体计算方法可以参照李星荣等所著《钢结构连接节点设计手册》(第四版)8-117条设置在埋人式钢柱四周的垂直纵向主筋,应分别在垂直于弯矩作用平面的受拉侧和受压侧对称配置。


8-108为确保埋入的钢柱和钢筋混凝土基础或基础梁的整体性,在钢柱埋入处的配筋应符合以下的要求:
(1)在埋入的钢柱四周所配置的垂直纵向主筋,应按第8-117条的要求确定,同时应符合最小含钢率(≥0.2%)的要求,且其配筋不宜小于4φ22,并应在上端设置弯钩;垂直纵向主筋的锚固长度la(钢柱脚底板底面以下部分的埋置深度)不应小于35d(d钢筋直径);当垂直纵向主筋的中距大于200mm时,应增设直径为φ6的垂直纵向架立筋;在埋人处的顶部应配置不少于3φ12@50的加强箍筋;一般箍筋为d10@100 。
(2)在钢柱埋入处,基础梁的主筋必须固定在钢柱和垂直纵向主筋的外侧、并在基础梁主筋水平方向的弯折扩展处,配置3φ12@50的加强箍筋 。
(3)在角柱中或有必要时,在埋入的钢柱外围,有时尚应配置双层垂直纵向主筋和复合箍筋。

组合结构设计规范 JGJ 138-2016第6.5.8条 型钢混凝土柱的埋入式柱脚,其型钢底板厚度不应小于柱脚型钢翼缘厚度,且不宜小于25mm。
6.5.9 型钢混凝土柱的埋入式柱脚,其埋入范围及其上一层的型钢翼缘和腹板部位应设置栓钉,栓钉直径不宜小于19mm,水平和竖向间距不宜大于200mm,栓钉离型钢翼缘板边缘不宜小于50mm,且不宜大于100mm。
6.5.10 型钢混凝土柱的埋入式柱脚,伸入基础内型钢外侧的混凝土保护层的最小厚度,中柱不应小于180mm,边柱和角柱不应小于250mm(图6.5.10)。
图6.5.10 埋入式柱脚混凝土保护层厚度
高层民用建筑钢结构技术规程 JGJ 99-2015第8.6.1 条 :
3 钢柱埋入式柱脚是将柱脚埋入混凝土基础内(图8.6.1-1c),H形截面柱的埋置深度不应小于钢柱截面高度的2倍,箱形柱的埋置深度不应小于柱截面长边的2.5倍,圆管柱的埋置深度不应小于柱外径的3倍;钢柱脚底板应设置锚栓与下部混凝土连接。钢柱埋入部分的侧边混凝土保护层厚度要求(图8.6.1-2a):C1不得小于钢柱受弯方向截面高度的一半,且不小于250mm,C2不得小于钢柱受弯方向截面高度的2/3,且不小于400mm。
钢柱埋入部分的四角应设置竖向钢筋,四周应配置箍筋,箍筋直径不应小于10mm,其间距不大于250mm;在边柱和角柱柱脚中,埋入部分的顶部和底部尚应设置U形钢筋(图8.6.1-2b),U形钢筋的开口应向内;U形钢筋的锚固长度应从钢柱内侧算起,锚固长度(la,laE)应根据现行国家标准《混凝土结构设计规范》GB 50010的有关规定确定。埋入部分的柱表面宜设置栓钉。

图8.6.1-2 埋入式柱脚的其他构造要求
1-U形加强筋(二根)
在混凝土基础顶部,钢柱应设置水平加劲肋。当箱形柱壁板宽厚比大于30时,应在埋入部分的顶部设置隔板;也可在箱形柱的埋入部分填充混凝土,当混凝土填充至基础顶部以上1倍箱形截面高度时,埋入部分的顶部可不设隔板。
来源:Structure and Art
知识点:埋入式柱脚
0人已收藏
0人已打赏
免费1人已点赞
分享
钢结构工程
返回版块46.53 万条内容 · 1212 人订阅
回帖成功
经验值 +10
全部回复(1 )
只看楼主 我来说两句 抢板凳学到了
回复 举报