6.1.1 单个压力流雨水排水系统的最大设计汇水面积不宜大于2500m2。
6.1.2 雨水斗顶面至过渡段的高差,当立管管径不大于DN75时,宜大于3m;当立管管径不小于DN90时,宜大于5m。
6.1.3 绿化屋面与非绿化屋面不应合用一套压力流雨水排水系统。当两个屋面共用排水天沟时可以合用一套系统。
6.1.4 同一系统的雨水斗宜设置在同一水平面上,且用于排除同一汇水区域的雨水。
6.1.5 压力流雨水排水系统的屋面应设溢流设施,且应设置在溢流时雨水能通畅流达的场所。当采用金属屋面、水平金属长天沟且沟檐溢水会进入室内时,宜在天沟两端设溢流口,无法设置溢流口时,可采用溢流管道系统。
6.1.6 溢流设施的最大溢水高度应低于建筑屋面允许的最大积水深度,天沟溢流口不应高于天沟有效深度。
6.1.7 当采用溢流管道系统溢流时,溢流水应排至室外地面,溢流管道系统不应直接排入市政雨水管网。
6.1.8 压力流系统排出管的雨水检查井宜采用钢筋混凝土检查井或消能井。检查井应能承受排出管水流的作用力,并宜采取排气措施。
6.1.9 雨水斗应设在天沟或集水槽内。当设于屋面时,雨水斗规格不应大于50mm。
6.1.10 雨水斗在天沟内宜均匀布置,其最大间距不应大于20m,并确保雨水能依自由水头均匀分配至各雨水斗。当天沟坡度大于0.01时,雨水斗应设在天沟的下沉小斗内,并宜在天沟末端加密布置。
6.1.11 雨水斗应设连接管和悬吊管与立管连接。多斗系统中雨水斗不得直接接在立管顶部。当悬吊管上连接多个雨水斗时,雨水斗宜对雨水立管做对称布置。
6.1.12 连接管垂直管段的内径不宜大于雨水斗出水短管内径。
6.1.13 雨水斗出水短管可采用焊接、螺纹、法兰等连接方式。当出现不同材质时,可采用法兰或卡箍连接;当采用相同材质时,可采用焊接或热熔连接。
6.1.14 压力流排水系统应设置过渡段,立管底部应设置检查口。
6.2.1 压力流排水系统的水力计算,应符合下列规定:
1 精确计算每一管路水力工况;
2 计算应包括设计暴雨强度、汇水面积、设计雨水流量;
3 应计算管段的管径、计算长度、流量、流速、节点压力等。
6.2.2 雨水斗至过渡段总水头损失与过渡段流速水头之和不得大于雨水斗顶面至过渡段的几何高差,也不得大于雨水斗顶面至室外地面的几何高差。
6.2.3 压力流排水系统管路内的压力应按下式计算:

式中:Px——管路内任意断面x的压力(kPa);
△hx——雨水斗顶面至管路内任意断面x的几何高差(m);
υx——计算点的流速(m/s)。
6.2.4 压力流排水管系的各雨水斗至系统过渡段的水头损失允许误差应小于雨水斗顶面与过渡段几何高差的10%,且不应大于10kPa。水头损失允许误差应按下式计算:
△P=△hverρg-∑9.81(lR1+Z) (6.2.4)
式中:△P——水头损失允许误差(kPa);
△hver——雨水斗顶面至排出管过渡段的几何高差(m);
ρ——4℃时水的密度;
Σ9.81(lR1+Z)——雨水斗至计算点的总水头损失(kPa);其中lR1为沿程水头损失,Z为局部水头损失;
l——管道长度(m);
R1——水力坡降;
Z——管道的局部水头损失(m)。
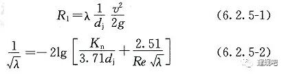
6.2.5 管道的水力坡降应按下列公式计算:

式中:λ——摩阻系数,按公式(6.2.5-2)计算;
dj——管道的计算直径(m);
Re——雷诺数;
Kn——绝对当量粗糙度。
6.2.6 管道的局部水头损失应按管道的连接方式,采用管(配)件当量长度法计算。当缺少管(配)件实验数据时,可按下式计算:

式中:ξ——局部阻力系数,管(配)件的局部阻力系数ξ应按表6.2.6的确定。
表6.2.6 管(配)件的局部阻力系数ξ
注:1 虹吸系统到过渡段的转换处宜按ξ=1.8估算。
2 雨水斗的ξ值应由产品供应商提供,无资料时可按ξ=1.5估算。
6.2.7 连接管设计流速不应小于1.0m/s,悬吊管设计流速不宜小于1.0m/s。
6.2.8 立管管径应经计算确定,可小于上游悬吊管管径。立管设计流速不宜小于2.2m/s,且不宜大于10m/s。
6.2.9 过渡段下游的管道应按重力流设计、计算,流速不宜大于1.8m/s,否则应采取消能措施,且最大流速不应大于3.0m/s。
6.2.10 过渡段的设置位置应通过计算确定,宜设在室外,且距检查井间距不宜小于3m。
6.2.11 当雨水斗顶面与悬吊管中心的高差小于1m时,应按下列公式校核:

式中:QA——能在系统中形成虹吸的最小流量(L/s);
QA,min——在单斗、单立管系统(立管高度大于4m)中形成虹吸的最小流量(L/s);应由产品供应商实测获得;
6.2.12 系统的最大负压计算值应根据气象资料、管道及管件的材质、管材及管件的耐负压能力和耐气蚀能力确定,但不应小于-80kPa。
6.2.13 压力流排水系统应按系统内所有雨水斗以最大实测流量运行的工况,复核计算系统的最大负压。系统最大负压值不应小于-90kPa,且不低于管材及管件的最大耐负压值,最大实测流量应按本规程附录A规定的测试方法测定。
6.2.14 当压力流排水系统设置场所有可能发生雨水斗堵塞时,应按任一个雨水斗失效,系统中其他雨水斗以雨水斗最大实测流量运行的工况,复核计算系统的最大负压和天沟(或屋面)积水深度。
内容源于网络,旨在分享,如有侵权,请联系删除
相关资料推荐:
https://ziliao.co188.com/d62453587.html
知识点: 压力流屋面雨水系统设计
0人已收藏
0人已打赏
免费3人已点赞
分享
建筑给排水
返回版块47.29 万条内容 · 1372 人订阅
阅读下一篇
《建筑屋面雨水排水系统技术规程》-9 、施工安装9 施工安装 9.1 一般规定 9.1.1 施工前准备应符合下列规定: 1 施工图纸和其他技术文件齐全,并应经会审; 2 有批准的施工方案或施工工艺,应已进行技术交底; 3 施工人员应经过屋面雨水排水系统安装的技术培训; 4 施工人员应充分了解设计文件和施工方案;
回帖成功
经验值 +10
全部回复(0 )
只看楼主 我来说两句抢沙发