门刚规范第1.0.2 条本规范适用于房屋高度不大于18m,房屋高宽比小于1,承重结构为单跨或多跨实腹门式刚架、具有轻型屋盖、无桥式吊车或有起重量不大于20t的A1~A5工作级别桥式吊车或3t悬挂式起重机的单层钢结构房屋。 不适用对钢结构具有强腐蚀介质作用的房屋。
【设计注意】
1、蔡益燕老师在《门式刚架轻型房屋钢结构设计与施工疑难问题释义》中介绍:超过上述适用范围的单层房屋采用门式刚架钢结构时,除了围护结构和檩条、墙梁等次结构可以基本上参照《门式刚架轻型房屋钢结构技术规范》的相关规定之外,主结构设计宜按下述建议考虑:
(1) 主结构设计不宜依据《门式刚架轻型房屋钢结构技术规范》的规定,而应执行《钢结构设计规范)GB.5001的相关规定,抗震设防地区的房屋还应执行 《建筑抗震设计规范》 GB50011的相关规定。
(2) 有大吨位吊车的厂房以及厂房较高时宜采用格构柱;吊车吨位大于20t时,不宜采用柱上牛腿支承吊车梁,有大吨位吊车的厂房柱宜由肩梁支承吊车梁。
(3) 刚架跨度不小于60m以及柱子比较高时,在计算水平地震作用的同时,应计算竖向地震作用; 柱脚与基础的连接应按刚接设计,采用靴梁式柱脚、插人式柱脚或埋人式柱脚。
(4) 跨度等于或大于36m的实腹式门式刚架,由于梁的高度较大,轻钢房屋梁翼缘的宽度一般不大,而隅撑-冷弯薄壁型钢模条体系提供的侧向刚度较小,为了防止梁的受压下翼缘平面外失稳,有两种做法可供考虑:一是将屋盖横向支撑的直腹杆通过隅撑约束下翼缘,在下翼缘的相应位置设置纵向通长系杆 (刚性或柔性),屋盖横向支撑的直腹杆除了承受作为支撑桁架腹杆的轴力外,还承受下翼缘(包括相邻横向支撑之间一半开间的斜梁下翼缘)通过与此直腹杆相连的隅撑传来的力,因此,此直腹杆属于压弯构件,应按压弯构件设计;另一种做法是在对应于屋盖横向支撑直腹杆的位置、在斜梁腹板靠近上翼缘处设置纵向通长刚性系杆,杆端连接应采用两个螺栓,并通过隅撑约束下翼缘,此刚性系杆也应按压弯构件设计,这种做法用钢量稍多一些。
(5) 刚架跨度不小于60m或更大时,斜梁宜采用折线形或截面采用桁架形式;屋盖支撑除了设置横向水平支撑外,还必须设置纵向水平支撑,形成封闭式支撑体系,支撑构件及系杆应采用型钢。
(6)材料宜采用Q345B及以上等级的钢材。
2、多层房屋顶层采用门式刚架钢结构能按《门式刚架轻型房屋钢结构技术规范》设计吗?
多层建筑的顶层为门式刚架轻型房屋钢结构时,其设计、制造和安装可参照本规程执行。此时应根据下部结构的具体情况,考虑其对顶层柱底位移的影响。在设计时应将顶层与下部结构一起进行整体分析,以考虑在水平力作用下下部结构对顶层的不利影响;同时,根据工程经验,顶层屋盖应设置纵向水平支撑,与横向支撑形成封闭体系,加强顶层屋盖的整体刚度;此外,顶层结构的柱顶位移限值宜适当严一些,至于“严”多少,宜根据房屋总高度、下部结构的层数和刚度,综合考虑。另外,结构高度超过18m的多层房屋,其风荷载取值应严格按照《荷载规范》及《工通规》相关规定进行取值,而不应再执行门刚规范。
1、工程通用规范执行后,部分工程的屋面活荷载 0.3kpa还是0.5kpa?
门刚规范4.1.3 当采用压型钢板轻型屋面时,屋面按水平投影面积计算的竖向活荷载的标准值应取0.5kN/m2,对承受荷载水平投影面积大于60m2的刚架构件,屋面竖向均布活荷载的标准值可取不小于0.3kN/m2。
工程结构通用规范 GB 55001-2021第4.2.8条 房屋建筑的屋面,其水平投影面上的屋面均布活荷载的标准值及其组合值系数、频遇值系数和准永久值系数的取值,不应小于表 4.2. 8 的规定。

【设计注意】工通规这条对门式刚架结构影响较大,《门式则架轻型房屋钢结构技术规范》中“对于承受荷载水平投影面积大于60m’的刚架构件,屋面竖向均布活荷载的标准值取不小于0.3kN/m2的规定就不能再采用了。通过计算比较可知,屋面活载由0.3提高到0.5对主体钢梁的用钢量大致增加20%。
2、注意敏感钢结构雪荷载100年
4.3.1 门式刚架轻型房屋钢结构屋面水平投影面上的雪荷载 S0——基本雪压(kN/m2),按现行国家标准《建筑结构荷载规范》GB 50009规定的100年重现期的雪压采用。
【设计注意】T/CECS 796一2020屋面结构雪荷载设计标准第2.1.1雪荷载敏感结构是指均匀分布时的雪荷载标准值超过单位面积自重荷载标准值40%以上的屋面结构。第3.0.7对雪荷载敏感的结构,应按100 年重现期雪压和基本雪压的比值,提高其雪荷载取值。
3、风荷载。关注门刚风荷载与工通规的关系1.2以及围护结构风荷载取值。
门刚规范第4.2.1 条门式刚架轻型房屋钢结构计算时,风荷载作用面积应取垂直于风向的最大投影面积,垂直于建筑物表面的单位面积风荷载标准值应按下式计算:
[4.2.1]
式中:wk——风荷载标准值(kN/m2);
w0——基本风压(kN/m2),按现行国家标准《建筑结构荷载规范》GB 50009的规定值采用;
μz——风压高度变化系数,按现行国家标准《建筑结构荷载规范》GB 50009的规定采用;当高度小于10m时,应按10m高度处的数值采用;
μw——风荷载系数,考虑内、外风压最大值的组合,按本规范第4.2.2条的规定采用;
β——系数,计算主刚架时取β=1.1;计算檩条、墙梁、屋面板和墙面板及其连接时,取β=1.5。
【条文说明】4.2.1 本次制定增加了开敞式结构的风荷载系数。本规范未做规定的,设计者应按现行国家标准《建筑结构荷载规范》GB 50009的规定采用,也可借鉴国外规范。本条风荷载系数采用了MBMA手册中规定的风荷载系数,该系数已考虑内、外风压力最大值的组合。按照现行国家标准《建筑结构荷载规范》GB 50009的规定,对风荷载比较敏感的结构,基本风压应适当提高。门式刚架轻型房屋钢结构属于对风荷载比较敏感的结构,因此,计算主钢架时,β系数取1.1是对基本风压的适当提高;计算檩条、墙梁和屋面板及其连接时取1.5,是考虑阵风作用的要求。通过β系数使本规范的风荷载和现行国家标准《建筑结构荷载规范》GB 50009的风荷载基本协调一致。 本规范将μw称为风荷载系数,以示与现行国家标准《建筑结构荷载规范》GB 50009中风荷载体型系数μs的区别。
4.6.1 垂直于建筑物表面上的风荷载标准值,应在基本风压、风压高度变化系数、风荷载体型系数、地形修正系数和风向影响系数的乘积基础上,考虑风荷载脉动的增大效应加以确定。
【条文说明】4.6.1本条规定了风荷载的确定方法。风荷载脉动的增大效应一般是通过平均风荷载乘以风振系数或阵风系数来考虑的。但也可以采用平均风荷载与脉动风荷载相叠加的方法来考虑。因此本条未直接采用现行国家标准《建筑结构荷载规范》GB50009的计算表达式,而是规定了计算风荷载标准值的基本原则。
4.6.5 当采用风荷载放大系数的方法考虑风荷载脉动的增大效应时,风荷载放大系数应按下列规定采用 :
1 主要受力结构的风荷载放大系数应根据地形特征、脉动风特性、结构周期、阻尼比等因素确定,其值不应小于 1. 2;
【条文说明】4.6.5不管是对于主要受力结构还是围护结构,风荷载都是随时间变化的,不能直接使用风荷载的平均值进行设计。对于主要受力结构,除了考虑风压本身的脉动之外,还需要考虑风引起结构振动所带来的附加荷载;而围护结构刚度一般比较大,结构效应中通常不需要考虑共振分量。因此现行国家标准《建筑结构荷载规范》GB50009对于“主要受力结构”和“围护结构”的计算,分别采用了风振系数和阵风系数作为平均风荷载的放大倍数。本规范将二者统一为“风荷载放大系数”,并规定了二者的取值原则。
对于主要受力结构来说,中国荷载规范风振系数采用了与国外不同的理论体系和计算方法,规定了基于“等效风振力”的高层和高耸结构的风振系数取值,但并不适用于大跨屋盖结构。本条对主要受力结构风荷载放大系数的计算方法不作强制要求,只规定需要考虑的因素,并规定了其取值的下限值。应当注意的是,1.2的放大系数只是主要受力结构的最低取值标准,在很多情况下并不能完全保证结构安全,不能作为一般性的取值依据。
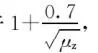
2 围护结构的风荷载放大系数应根据地形特征、脉动风特性和流场特征等因素确定,且不应小于
,其中μz 为风压高度变化系数。


风压高度系数图及工通规规定的围护结构最小放大系数图
【设计注意】对于主体结构,工程通规给出的放大系数1.2是考虑脉动风压的影响,门式刚架规范给出的1.1,我个人认为就是对轻钢结构基本风压的放大,本身轻钢结构属于风敏感结构,1.1倍的50年基本风压w0实际上就是100年的风压值。而通规给出的是指的基本风压的放大系数。江苏省2022年建设工程施工图设计审查技术问答结构专业第7条针对此问题给出答复:门刚规范第 1.0.2 条规定:“本规范适用于房屋高度不大于 18m,房屋高宽 比小于 1,······单层钢结构房屋。”该类建筑不属《建筑结构荷载规范》第 8.4.1 条考虑风压脉动对结构产生顺风向风振的影响的范围【高度大于30m且高宽比大于1.5的房屋,以及基本自振周期T大于0.25s的各种高耸结构】;而 《工程结构通用规范》GB 55001第 4.6.5 条规定是针对考虑风荷载脉动的增大效应时的要求。因此, 门刚房屋设计时风荷载不乘以 1.2 的风荷载脉动增大系数,并不违反强条。(一定要注意实际工程是否满足考虑脉动风的范围)
对于围护结构,假定1+0.7/√μz≥1.5,可以推出μz≤1.96,对于常见B类场地,当建筑物高度小于100m(μz = 1.995,放大系数=1.50)时,其围护结构风振系数均由1+0.7/√μz控制,例如常规结构高度20m(μz = 1.231,放大系数=1.63)、30m(μz = 1.39,放大系数=1.59)均远大于1.5,围护结构设计时一定要注意,避免违反通用规范。
1、屋面斜梁的平面外计算长度取两倍檩距,似乎已成了一个默认的选项,有设计人员因此而认为隅撑可以间隔布置,这是不对的。
门刚规范第7.1.6条第 4款指出: 屋面斜梁和檩条之间设置的隅撑满足下列条件时,下翼缘受压的屋面斜梁的平面外计算长度可考虑隅撑的作用;
1)在屋面斜梁的两侧均设置隅撑(图7.1.6);
2)隅撑的上支承点的位置不低于檩条形心线;
3)符合对隅撑的设计要求。

图7.1.6 屋面斜梁的隅撑
1-檩条;2-钢梁;3-隅撑
【条文说明】7.1.6 屋面斜梁的平面外计算长度取两倍檩距,似乎已成了一个默认的选项,有设计人员因此而认为隅撑可以间隔布置,这是不对的。本条特别强调隅撑不能作为梁的固定的侧向支撑,不能充分地给梁提供侧向支撑,而仅仅是弹性支座。根据理论分析,隅撑支撑的梁的计算长度不小于2倍隅撑间距,梁下冀缘面积越大,则隅撑的支撑作用相对越弱,计算长度就越大。 单面隅撑,虽然可能可以作为屋面斜梁的平面外侧向非完全支撑,但是其副作用很严重,如何考虑其副作用,本条第5款特别加以规定。
1、水平支撑
8.3.1 屋面端部横向支撑应布置在房屋端部和温度区段第一或第二开间,当布置在第二开间时应在房屋端部第一开间抗风柱顶部对应位置布置刚性系杆。
8.3.2 屋面支撑形式可选用圆钢或钢索交叉支撑;当屋面斜梁承受悬挂吊车荷载时,屋面横向支撑应选用型钢交叉支撑。屋面横向交叉支撑节点布置应与抗风柱相对应,并应在屋面梁转折处布置节点。
8.3.3 屋面横向支撑应按支承于柱间支撑柱顶水平桁架设计;圆钢或钢索应按拉杆设计,型钢可按拉杆设计,刚性系杆应按压杆设计。
8.3.4 对设有带驾驶室且起重量大于15t桥式吊车的跨间,应在屋盖边缘设置纵向支撑;在有抽柱的柱列,沿托架长度应设置纵向支撑。
2、柱间支撑
8.1.2 柱间支撑与屋盖横向支撑宜设置在同一开间。
8.2.1 柱间支撑应设在侧墙柱列,当房屋宽度大于60m时,在内柱列宜设置柱间支撑。当有吊车时,每个吊车跨两侧柱列均应设置吊车柱间支撑。
8.2.4 当房屋高度大于柱间距2倍时,柱间支撑宜分层设置。当沿柱高有质量集中点、吊车牛腿或低屋面连接点处应设置相应支撑点。
1、檩条计算一个重要关注点是否考虑屋面板对稳定有利作用,门钢第9.1.5 实腹式檩条的计算,应符合下列规定: 当屋面能阻止檩条侧向位移和扭转时,实腹式檩条可仅做强度计算,不做整体稳定性计算。其【条文说明】指出当有内衬板固定在受压下翼缘时,相当于有密集的小拉条在侧向约束下翼缘,故无需考虑其整体稳定性。
2、檩条的拉条设置:门刚第9.3.1条指出 实腹式檩条跨度不宜大于12m,当檩条跨度大于4m时,宜在檩条间跨中位置设置拉条或撑杆;当檩条跨度大于6m时,宜在檩条跨度三分点处各设一道拉条或撑杆;当檩条跨度大于9m时,宜在檩条跨度四分点处各设一道拉条或撑杆。斜拉条和刚性撑杆组成的桁架结构体系应分别设在檐口和屋脊处,当构造能保证屋脊处拉条互相拉结平衡,在屋脊处可不设斜拉条和刚性撑杆。
知识点:门式刚架设计注意事项
0人已收藏
0人已打赏
免费11人已点赞
分享
钢结构工程
返回版块46.53 万条内容 · 1214 人订阅
阅读下一篇
沿海钢结构防腐蚀技术标准钢结构设计标准 GB 50017-2017 18.2.1 钢结构应遵循安全可靠、经济合理的原则,按下列要求进行防腐蚀设计: 1 钢结构防腐蚀设计应根据建筑物的重要性、环境腐蚀条件、施工和维修条件等要求合理确定防腐蚀设计年限;
回帖成功
经验值 +10
全部回复(7 )
只看楼主 我来说两句-
wx_1659952289959
沙发
2023-02-01 14:28:01
赞同1
-
yj蓝天
板凳
2023-09-17 09:22:17
赞同0
加载更多谢谢分享
回复 举报
学习啦,,谢谢楼主分享
回复 举报