不同规范对于埋入式、外包式、外露式相关构造要求不同,本篇先对构造要求进行归纳梳理,后篇重点补充柱脚计算要点。
(1)建筑抗震设计规范GB 50011-2010第9.2.16
1 实腹式钢柱采用埋入式、插入式柱脚的埋入深度,应由计算确定,且不得小于钢柱截面高度的2.5倍。
2 格构式柱采用插入式柱脚的埋入深度,应由计算确定,其最小插入深度不得小于单肢截面高度(或外径)的2.5倍,且不得小于柱总宽度的0.5倍。
(2)《高钢规》JGJ 99-2015第8.6.1.3 条 钢柱埋入式柱脚是将柱脚埋入混凝土基础内,H形截面柱的埋置深度不应小于钢柱截面高度的2倍,箱形柱的埋置深度不应小于柱截面长边的2.5倍,圆管柱的埋置深度不应小于柱外径的3倍;钢柱脚底板应设置锚栓与下部混凝土连接。
(3)组合结构设计规范 JGJ 138-2016第6.5.2条 无地下室或仅有一层地下室的型钢混凝土柱的埋入式柱脚,其型钢在基础底板(承台)中的埋置深度除应符合本规范第6.5.4条规定外,尚不应小于柱型钢截面高度的2.0倍。
6.5.4 型钢混凝土偏心受压柱,其埋入式柱脚的埋置深度应符合下式规定:

式中:hB——型钢混凝土柱脚埋置深度;
M——埋入式柱脚最大组合弯矩设计值;
fc——基础底板混凝土抗压强度设计值;
bv——型钢混凝土柱垂直于计算弯曲平面方向的箍筋边长。
(4)《钢标》GB 50017-2017第17.3.16 实腹式柱脚采用外包式、埋入式及插入式柱脚的埋入深度应符合现行国家标准《建筑抗震设计规范》GB 50011或《构筑物抗震设计规范》GB 50191的有关规定。
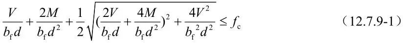
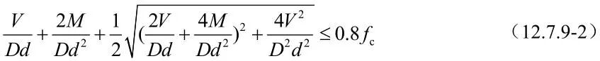
《钢标》GB 50017-2017第12.7.9 条埋入式柱脚埋入钢筋混凝土的深度d应符合下列公式的要求与本标准表12.7.10的规定:
H形、箱形截面柱:

圆管柱:

式中:M、V――柱脚底部的弯矩(N?mm)和剪力设计值(N);
d――柱脚埋深(mm);
b f――柱翼缘宽度(mm);
D――钢管外径(mm);
fc――混凝土抗压强度设计值,应按现行《混规》的规定采用。
【结论】
| 规范及埋入深度 |
埋入深度 |
备注 |
| 抗规 |
构造不得小于钢柱截面高度的2.5倍。 | 所有截面 |
| 《高钢规》 | H形截面柱的埋置深度不应小于钢柱截面高度的2倍,箱形柱的埋置深度不应小于柱截面长边的2.5倍,圆管柱的埋置深度不应小于柱外径的3倍; | 截面形式不同,埋入深度不同 |
| 组合规范 |
构造不应小于柱型钢截面高度的2.0倍。 | 所有截面 |
| 钢标 |
同抗规 |
所有截面 |
(1)《抗规》GB 50011-2010第9.2.16.3条采用外包式柱脚时,实腹H形截面柱的钢筋混凝土外包高度不宜小于2.5倍的钢结构截面高度,箱型截面柱或圆管截面柱的钢筋混凝土外包高度不宜小于3.0倍的钢结构截面高度或圆管截面直径。
(2)《钢标》GB 50017-2017第 12.7.7.1条外包式柱脚混凝土外包高度,H形截面柱不宜小于柱截面高度的2倍,矩形管柱或圆管柱宜为矩形管截面长边尺寸或圆管直径的2.5倍;当没有地下室时,外包宽度和高度宜增大20%;当仅有一层地下室时,外包宽度宜增大10%。
(3)《高钢规》JGJ 99-2015第8.6.1.2条钢柱外包式柱脚由钢柱脚和外包混凝土组成,位于混凝土基础顶面以上(图8.6.1-1b),钢柱脚与基础的连接应采用抗弯连接。外包混凝土的高度不应小于钢柱截面高度的2.5倍,且从柱脚底板到外包层顶部箍筋的距离与外包混凝土宽度之比不应小于1.0。
【结论】
| 规范及埋入深度 |
埋入深度 |
备注 |
| 抗规 | 实腹H形截面柱的钢筋混凝土外包高度不宜小于2.5倍的钢结构截面高度,箱型截面柱或圆管截面柱的钢筋混凝土外包高度不宜小于3.0倍的钢结构截面高度 | 截面形式不同,埋入深度不同 |
| 高钢规 |
外包混凝土的高度不应小于钢柱截面高度的2.5倍,且从柱脚底板到外包层顶部箍筋的距离与外包混凝土宽度之比不应小于1.0。 | 所有截面 |
| 钢标 |
H形截面柱不宜小于柱截面高度的2倍,矩形管柱或圆管柱宜为矩形管截面长边尺寸或圆管直径的2.5倍; | 截面形式不同,埋入深度不同 |
(1)《抗规》GB 50011-2010第9.2.16.4 当采用外露式柱脚时,柱脚极限承载力不宜小于柱截面塑性屈服承载力的1.2倍。
(2)《高钢规》8.6.3 条外包式柱脚的设计应符合下列规定: 3 抗震设计时,在外包混凝土顶部箍筋处,柱可能出现塑性铰的柱脚极限受弯承载力应大于钢柱的全塑性受弯承载力(图8.6.3-2)。柱脚的极限受弯承载力应按下列公式验算:


(3)《钢标》17.2.12 柱脚的承载力验算应符合下列规定:
1 支撑系统的立柱柱脚的极限承载力,不宜小于与其相连斜撑的1.2倍屈服拉力产生的剪力和组合拉力;
2 柱脚进行受剪承载力验算时,其性能系数不宜小于1.0。
3 对于框架结构或框架承担总水平地震剪力50%以上的双重抗侧力结构中框架部分的框架柱柱脚,采用外露式柱脚时,锚栓宜符合下列规定:
1) 实腹柱刚接柱脚,按锚栓毛截面屈服计算的受弯承载力不宜小于钢柱全截面塑性受弯承载力的50%。
3) 实腹柱铰接柱脚,锚栓毛截面受拉承载力标准值不宜小于钢柱最薄弱截面受拉承载力标准值的50%。
【结论】
| 规范及连接系数 |
连接系数 |
备注 |
| 抗规 |
1.2 |
|
| 高钢规 | 埋入式、外包式1.2(1.0)、外露式1.0 |
按柱脚形式区分 |
| 钢标 |
1.0 |
|
| 组合结构规范 |
无要求 |
知识点:柱脚埋入深度
0人已收藏
0人已打赏
免费2人已点赞
分享
钢结构工程
返回版块46.53 万条内容 · 1214 人订阅
阅读下一篇
钢结构设计施工图、施工深化图与施工详图CECS 606-2019 钢结构工程深化设计标准 2.1.1 设计文件 design document 由设计单位完成的设计施工图、设计技术说明和设计变更文件等技术文件的统称。 2.1.2 结构深化设计 detailed design of structure 对设计施工图进行细化设计,形成可用于深化设计报审和指导施工详图设计的技术文件,包括深化设计布置图、节点深化设计图、焊接连接通用图等内容,
回帖成功
经验值 +10
全部回复(0 )
只看楼主 我来说两句抢沙发