土木在线论坛 \ 建筑结构 \ 地基基础 \ 柱下条形基础内力计算的倒梁法算例

柱下条形基础内力计算的倒梁法算例

发布于:2023-01-30 11:54:30 来自:建筑结构/地基基础 [复制转发]

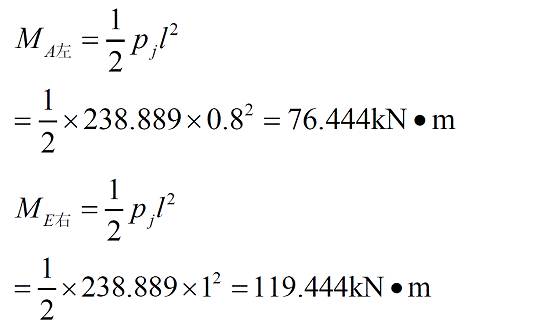
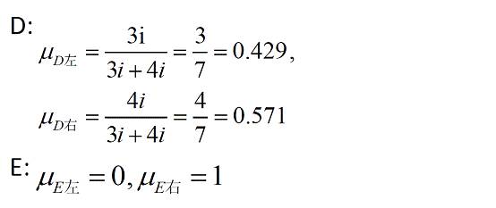
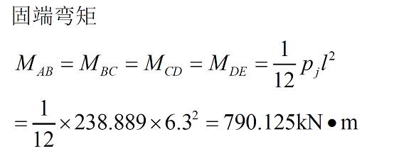
倒梁法是将地基净反力视为作用于地基梁上的荷载,而将柱子作为梁的支座,按多跨连续梁的方法求解内力的简化计算方法。本文提供一个完整的算例。

图片

图片

图片

图片

图片

图片


图片

图片

图片

图片

图片


图片

知识点:柱下条形基础内力计算的倒梁法算例

柱下条形基础的计算

全部回复(2 )

只看楼主 我来说两句抢地板
  • qq_1735039348494
    分配系数怎么算的
    2024-12-24 19:27:24

    来自 土木在线APP

    回复 举报
    赞同0
  • 大唐荔乡
    大唐荔乡 板凳

    轴力作用点符号没有标识明确,每跨跨度不同固端弯矩计算怎会相等?

    2023-04-25 15:16:25

    回复 举报
    赞同0
这个家伙什么也没有留下。。。

地基基础

返回版块

12.11 万条内容 · 718 人订阅

猜你喜欢

阅读下一篇

桩基沉降算例(等效作用分层总和法)

某桩基工程安全等级为二级、其桩型平面布置、剖面及地层分布如图所示,土层及桩基设计参数见图中注,作用于桩端平面处的有效附加应力为400kPa,(长期效应组合)其中心点的附加压力曲线如图所示(假定为直线分布)沉降经验系数ψ=1,地基沉降计算深度至基岩面,请按《建筑桩基技术规范》(JGJ94)计算桩基最终沉降量,其计算结果最接近下列哪一个值: (A)3.6cm (B)6.1cm

回帖成功

经验值 +10