土木在线论坛 \ 建筑结构 \ 地基基础 \ 桩基沉降算例(等效作用分层总和法)

桩基沉降算例(等效作用分层总和法)

发布于:2023-01-30 11:49:30 来自:建筑结构/地基基础 [复制转发]
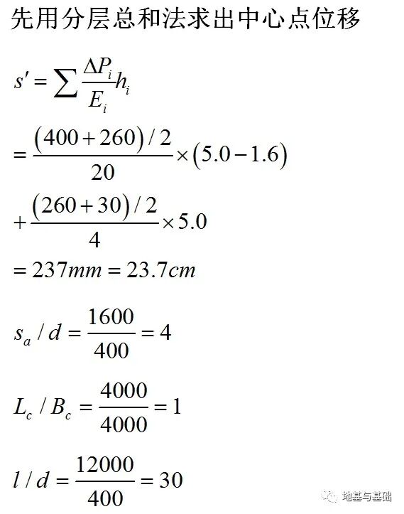
某桩基工程安全等级为二级、其桩型平面布置、剖面及地层分布如图所示,土层及桩基设计参数见图中注,作用于桩端平面处的有效附加应力为400kPa(长期效应组合)其中心点的附加压力曲线如图所示(假定为直线分布)沉降经验系数ψ1,地基沉降计算深度至基岩面,请按《建筑桩基技术规范》(JGJ94)计算桩基最终沉降量,其计算结果最接近下列哪一个值:

(A)3.6cm
(B)6.1cm
(C)7.9cm
(D)8.6cm

(注:图中标注的尺寸单位为mm)

图片

图片


解:

桩基沉降计算的步骤详见电子教材 点击可查看

图片

图片

知识点:桩基沉降算例

桩基沉降的算法

全部回复(0 )

只看楼主 我来说两句抢沙发
这个家伙什么也没有留下。。。

地基基础

返回版块

12.11 万条内容 · 718 人订阅

猜你喜欢

阅读下一篇

单桩竖向静载试验

静载试验是确定单桩竖向承载力最为可靠的一种方法。它适用于各种情况下对单桩承载力的确定。尤其是重要建筑物或者地质条件复杂、桩的施工质量可靠性低及不易准确地用其他方法确定单桩竖向承载力的情况。 桩基规范要求,在同一条件下的试桩数量,不宜小于总桩数的1%,并且不应少于3根。挤土桩在设置后须隔一段时间才开始载荷试验。所需的间歇时间:预制桩在砂类土中不得少于7天;粉土和粘性土不得少于15

回帖成功

经验值 +10