土木在线论坛 \ 建筑结构 \ 地基基础 \ 文克尔地基半无限长梁的叠加法

文克尔地基半无限长梁的叠加法

发布于:2023-01-30 11:34:30 来自:建筑结构/地基基础 [复制转发]
实际工程中,地基上的梁大多不能看成是无限长的。对于有限长梁,荷载对梁两端的影响尚未消失,即梁端的挠曲或位移不能忽略。对于有限长梁,确定积分常数的常用方法是“初始参数法”。这里介绍一种以前面导得的无限长梁的计算公式为基础的方法,其利用叠加原理求得满足半无限长梁端部边界条件的解答,从而避开了直接确定积分常数的繁琐。对于有限长梁,则对两个端点都采用叠加法。下面以半无限长梁非端点受集中力作用为例,来说明如何使用叠加法。

图片

↑半无限长梁非端点受集中力作用
把半无限长梁延长为无限长梁

图片

↑端点延长为无限长梁

图片

↑无限长梁施加集中力和力偶作用
 

图片

图片

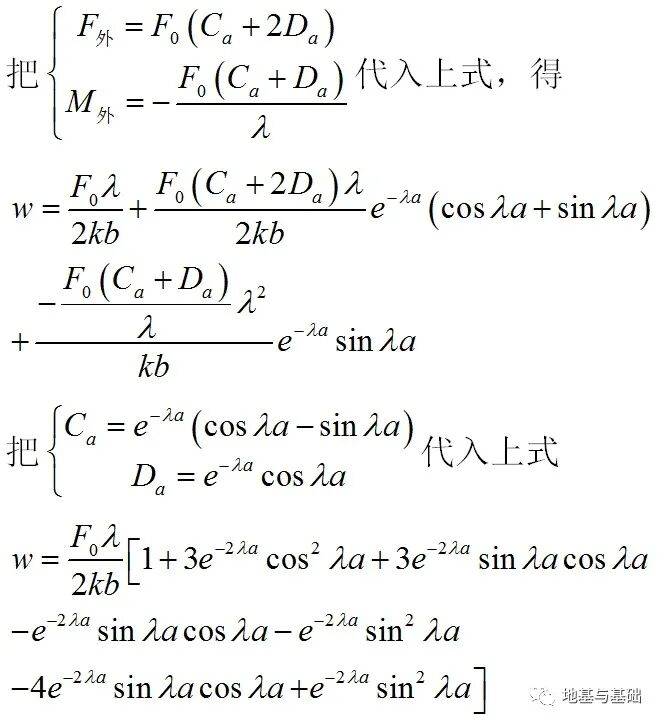
图片

图片

图片

查看文克尔地基半无限长梁受力分析,结论正确   图片

查看文克尔地基无限长梁受力分析,结论正确


知识点:文克尔地基半无限长梁的叠加法

文克尔地基半无限长梁受力分析

全部回复(0 )

只看楼主 我来说两句抢沙发
这个家伙什么也没有留下。。。

地基基础

返回版块

12.11 万条内容 · 717 人订阅

猜你喜欢

阅读下一篇

柱下条形基础ACI计算方法

美国混凝土协会(ACI)提出的柱下条形基础设计方法,简称ACI方法。计算过程如下: 知识点:柱下条形基础ACI计算方法 柱下条形基础计算方法与步骤

回帖成功

经验值 +10