

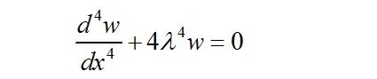
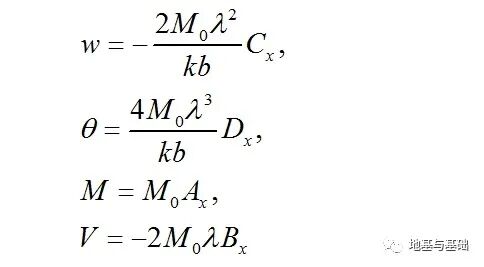
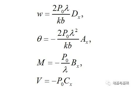
其中系数Ax、Bx、Cx、Dx与上面相同。
内容源于网络,如有侵权,请联系删除
相关资料推荐:
知识点:文克尔地基半无限长梁受力分析
0人已收藏
0人已打赏
免费4人已点赞
分享
地基基础
返回版块12.11 万条内容 · 717 人订阅
阅读下一篇
文克尔地基无限长梁上作用集中力文克尔地基梁的微分方程为: 上式为一常系数线性齐次方程,式中w是梁的挠度,x是梁长方向,λ称为弹性地基梁的弹性特征系数,λ的量纲为[长度-1],它的倒数1/λ称为特征长度。显然特征长度1/λ愈大,梁相对愈刚,因此,λ值是影响挠曲线形状的一个重要因素。 文克尔地基梁微分方程的通解为: 式中待定的积分常数C1、C2、C3和C4的数值,在挠曲曲线及其各阶导数中是不变的,可由荷载情况及边界条件确定。下面分别讨论无限长梁上受到集中力作用时的解答。
回帖成功
经验值 +10
全部回复(0 )
只看楼主 我来说两句抢沙发