土木在线论坛 \ 道路桥梁 \ 桥梁工程 \ 桥梁结构发展三大动力:健康监测、安全评定、寿命预测

桥梁结构发展三大动力:健康监测、安全评定、寿命预测

发布于:2023-01-30 11:20:30 来自:道路桥梁/桥梁工程 [复制转发]

大型桥梁服役环境复杂恶劣,既可能遭受地震、台风等“要命”的极端作用,又不可避免地承受长期车辆和风致交变(疲劳)荷载,以及腐蚀、冻融等长期环境侵蚀致使“短命”的作用。对付“要命”的作用,保障和提升桥梁结构“安全”性能,对付“短命”的作用,保障和延长桥梁结构“寿命”,是桥梁结构工程最为重要的任务和目标。


图片


桥梁结构健康监测集传感器网络、数据采集与管理、数据建模、安全评定、寿命预测于一体,全天候不间断地监测桥梁荷载与环境作用、结构局部和整体响应,全寿命监测建模荷载与环境作用、推断或在识别结构损伤和性能退化。并在此基础上,实时、定期或特殊极端事件下修正服役结构的计算模型、分析和定量评定结构的服役安全状况、预测结构剩余寿命,把握和预警结构安全和寿命状况,科学地支撑桥梁结构安全寿命的管养维护与维修加固。


我国目前已有400余座大型桥梁安装了结构健康监测系统,随着系统的运行、维护和升级,结构健康监测愈来愈在桥梁服役安全评定和寿命预测等方面发挥着重要作用。同时推动桥梁结构,乃至土木工程结构由现阶段的“安全”设计为主,逐步迈向“安全和寿命”设计、评定、预测与维护的新台阶。


 桥梁结构安全、寿命与耐久性的关系


“安全”为主的设计内涵


桥梁结构、乃至所有土木工程结构现阶段主要是“安全”为主的设计,其设计理论和方法的基本内涵有4点。


1.观测、建模、定标确定自然灾害等极端作用要素,如50年、100年基准或重现期设计风速,地震“小震、中震、大震”,相应重现期50、475、2475年等。


2.计算相应于设防(设计)极端作用下桥梁结构材料或构件的“荷载效应”,可能是线性、非线性或流-固耦合等方法的计算分析。


3.试验、计算、分析确定结构材料或构件极限强度或抗力,如拉、压、弯、扭、剪或失稳等的材料极限强度或构件极限抗力,统称为“构件抗力”。这个“构件抗力”基本上是指结构新材料、新构件的抗力,部分考虑极限抗力折减、耐久性折减,最后才确定“构件抗力”设计值。


4.验算结构所有构件极限状态下的安全要求是荷载效应要小于等于构件抗力。需要指出的是,这可以理解为不仅是结构“安全为主”的设计,而且是结构“构件安全”的设计。但是,同样构件都安全的结构,“结构整体极限承载力”可能会有很大差别,这是目前结构设计没有在“构件安全”设计的同时,兼顾“结构整体极限承载力”设计的一大缺陷。


结构寿命与安全相互关联


结构寿命是结构安全性降低到最低要求、也即是结构“构件抗力”衰减或退化到等于极值“荷载效应”的持续时间。如图1所示,结构抗力R(t)随时间衰减、衰减达到极值荷载效应S要求的最低水平的持续时间,就是结构寿命或设计试用期T,即T=(t|R(t)=S)。


图片

图1 结构安全与寿命关系及分段评定与预测模型


在任意时刻ti评定和预测可以得到结构剩余寿命,即Tr=T-ti。在结构寿命终止时刻T经维修加固提高结构抗力、继续服役到抗力R(t)随时间衰减再次达到最低水平要求的持续时间,称为第一次维修后的剩余寿命,即Tr1=T-T1。因此,结构寿命和安全是相互关联的。


结构耐久性不等于结构寿命


结构,例如混凝土结构耐久性设计和评定,目前主要是从混凝土密实性、防止有害物质侵蚀、保护钢筋不过度过速锈蚀等方面。设计和评定混凝土强度、保护层厚度、混凝土裂缝宽度、混凝土剥离程度、混凝土碳化深度以及其他有害侵蚀深度等。这些设计和评定指标是独立的耐久性指标,目前还没有与关乎结构安全的“构件抗力”建立起关系。因此,结构耐久性不等于结构寿命。


图片
图片

图2 某高速公路段交通基础设施集群全寿命监测


 结构健康监测的基本框架与集成系统


结构健康监测的基本框架与系统包括以下主要方面——


1.监测参量确定

监测参量主要包括:荷载与环境作用,既包括关乎结构安全的极端作用,也包括影响结构抗力退化的长期交变(疲劳)荷载与环境作用;结构局部响应,如应力、应变等,其结果可以直接用于结构局部安全评定、或局部损伤表征与推断;结构整体响应,如位移、加速度等,其结果可以直接用于结构整体安全评定、或间接用于振型和频率识别、再进一步识别和定位结构损伤;结构局部性能,如裂纹、腐蚀等,其结果可以用于结构局部损伤演化表征、推断或验证。


2.监测测点选择和优化 

测点选择和优化需要根据监测参量特点、用途和目的,进行精心的选择和优化,具体可参见《公路桥梁结构安全监测系统技术规程》(JT/T1037-2016)。


3.监测传感器选择和安装 

传感器选择要满足监测可靠性和耐久性要求,同时其布设安装应满足易维护性和可更换性要求。


4.软硬件集成系统 

集成系统包括传感器网络、数据采集与传输、局域和广域网络、数据分析与建模,以及结构损伤推断与识别、结构计算模型修正、服役安全评定与寿命预测、乃至维修决策等软硬件集成及其模块化与标准化,部分如图3所示。


图片

图3 桥梁结构健康监测、服役安全评定与寿命预测


 服役结构的安全评定


结构损伤通常是从材料层面损伤演化扩展的,结构需要多尺度建模、在材料细观和构件宏观等多尺度上处理损伤和修正模型。结构局部响应和局部性能监测结果,可以直接用于结构局部材料和构件损伤表征和推断,并直接用于修正相应的单元计算模型;结构整体响应监测结果,如位移、加速度等,通常可用于振型和频率识别、然后间接地用于结构损伤识别、定位和整体计算模型修正。由于桥梁结构个体的特殊性、局部损伤对整体识别参数的不敏感性,给基于整体(振动)响应的结构损伤识别和定位带来了难以逾越的困难,结构局部损伤监测推断、单元计算模型修正,结合结构损伤识别、定位与整体计算模型修正可能是最为有效的途径。


通过损伤推断、识别、处理和模型修正,建立服役结构真实可靠的计算模型,是结构进一步计算分析、安全评定的基础,也是服役结构安全评定和新建结构设计安全验算最本质的区别。在此基础上,结构服役安全评定可以分为三级。


安全一级评定:初期未损伤


服役结构安全一级评定主要针对建成运行初期阶段、没有发生损伤的桥梁结构,其安全评定基本与新建结构设计安全验算相同。通过实时监测的极值作用要素(如极值车流荷载、极值标准风速等)、关键构件控制截面材料应力或构件内力、结构控制断面位移等,与相应设计值比较即可判定结构是否安全。目前,结构健康监测在线实时安全评定和预警,基本都还只是基于此“安全一级评定”。


安全二级评定:中后期有损伤


服役结构安全二级评定可以适用于服役中后期、有损伤的桥梁结构,其安全评定必须包括损伤推断、识别与处理,结构单元和整体计算模型修正,结构构件和整体极限承载力计算分析。然后,其一是类似新建结构设计的构件安全验算;其二,由于服役中后期结构实际不可避免地有不同程度损伤、逐一构件安全验算很有可能部分构件不满足类似设计的安全要求。因此,从结构整体极限承载力验算和把握结构安全,将成为结构安全评定的一项重要内容。例如结构整体极限承载力与结构整体设计荷载下承载力比较,可以验算和把握结构整体安全余度,这是服役结构安全评定要从构件安全验算,迈上整体极限承载力安全验算的一项新要求和新发展,也是与结构设计安全验算第二个重要不同的区别。《公路桥梁结构安全监测系统技术规程》(JT/T 1037-2016)给出了桥梁结构安全二级评定的基本框架,需要进一步总结、梳理和规范相关计算和评定方法。同时开发计算和评定软件,使之真正成为桥梁结构健康监测在线或离线评定工程实用的手段和工具。


安全三级评定:后期寿命预测


服役结构安全三级评定主要包括,从当前评定时刻之后预测结构性能衰减、安全性降低、剩余寿命等。此级评定防患于未然,对服役中后期的桥梁结构尤为重要。目前国内外还没有系统的理论和方法,下一节内容会简要阐明如何基于结构健康监测和其他相关成果逐步建立起这一理论和方法。


图片


 结构长期监测、分析与寿命预测


桥梁结构可能遭受的自然灾害等极端作用要素,主要通过长期观测得到的年最大值统计确定年最大值概率分布,然后再确定诸如50年、100年基准期或重现期设防(设计)作用要素,如50年、100年基准期或重现期最大风速。这样的极端作用要素年最大值概率分布相对准确地统计确定,一般需要30年左右的观测数据,50年最大值的地震作用统计甚至需要所有相关的历史数据。极端作用要素年最大值概率分布是目前结构安全设计主要的作用或荷载标准依据。


桥梁结构长期承受的诸如车辆和常态脉动风等交变(疲劳)荷载,以及腐蚀、冻融等长期环境侵蚀作用,这些长期作用直接导致结构疲劳、腐蚀、冻融等损伤积累,致使结构材料、构件等抗力衰减,是服役结构安全性退化和剩余寿命预测的荷载或作用标准依据。桥梁结构多数长期交变荷载或作用基本没有统计模型和设防(设计)标准,这是结构寿命预测和设计无法实现的主要原因之一。长期交变荷载或作用要素统计建模,需要全天候连续监测(观测)数据;考虑长期交变荷载或作用要素基本符合年等概率发生的假定,相应的统计建模一般有1~3年或3~5年的数据,就能够建立基本准确的模型和标准。结构健康监测的第一类监测参量就是长期荷载或作用要素,监测数据是完成这一任务的主要来源,而且随着监测的持续还可以不断提供数据、不断修正统计模型。


计算原理与方法


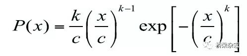
例如,根据某桥梁疲劳统计风速谱建模和风致损伤进行分析,由结构健康监测一年风速监测数据确定,有风时间 Tw(单位为s),比方说,风速大于3m/s的时间。按照我国标准得到了一年风速(大于有风标准的风速)全部每10分钟平均风速样本集,统计确定年风速概率分布符合威布尔分布——

图片


其中统计参数c=1.2,k=4.8。利用结构健康监测多个年份的风速监测数据,进行年风速概率分布统计分析,还可进一步修正上述模型参数。假定或利用实际监测数据统计确定平均风速对应的脉动风速均符合Davanport随机过程功率谱。这样,以上三者一起构成了该桥梁疲劳风速谱。利用该疲劳风速谱,可以进一步计算分析或预测该桥梁结构年或若干年的风致疲劳损伤。具体步骤如下:


首先,计算确定某等级或任意平均风速x对应的脉动风速下的疲劳损伤:D(x)=Σni/Ni。其中ni和Ni分别是在该风速等级下等级i应力水平循环圈数和极限允许圈数。这就是材料试验发展的Miner损伤机制的应用。


其次,计算确定风致年(1年)疲劳累积损伤:DY= ΣD(x)p(x)Δx Tw/TY。其中p(x)是平均风速x对应的概率值;Δx是某等级平均风速x对应的等级区间,如[3,5](m/s);时间 TY是1年的总时间(单位为s)。

 

最后,计算确定风致M年(如5年)的总疲劳累积损伤:DM=MDY


上述计算分析或预测确定风致疲劳累积损伤后,可进一步应用损伤与抗力衰减的关系,分析或预测抗力衰减,评定和预测结构安全性退化和剩余寿命。这里整个过程的评定和预测需要结构长期作用监测数据和模型、服役结构当前准确的计算模型和内力重分析、结构材料和构件的损伤机制、结构损伤与抗力衰减的关系,然后再进行结构计算模型修正、结构构件和整体承载力分析,最后得到安全评定和寿命预测结果,此结果可进一步作为结构维修决策的依据。


桥梁结构其他类似交变(疲劳)荷载,如车辆荷载,长期环境侵蚀作用及耦合作用的累积损伤、抗力衰减、安全评定和寿命预测可按照上述原理和方法实施。这里最关键的是长期作用模型和损伤机制、乃至长期作用耦合模型和耦合损伤机制。这些还需要下大力气研究和发展,也即桥梁结构从“安全”为主的科学分析和设计,迈向“安全和寿命”的科学分析、设计和预测还有很长的路要走,恰好结构健康监测为实现这一目标提供了新的手段和途径。


上述结构健康监测及服役安全评定与寿命预测可概述为图3所示的理论、方法和技术框架与系统,其中维修报废决策也同时需要结构性能退化速率、服役安全状况和寿命长短的评定和预测结果,以及其他功能和社会经济的约束,决策是否值得维修或报废。


结构健康监测集传感网络、数据采集和管理、数据分析建模以及结构损伤识别、安全评定、寿命预测、维修决策等硬软件系统于一体,实际是现场真实、足尺结构的长期试验系统,可以全天候不间断地获取结构长期荷载和环境作用,以及结构局部和整体响应等大量数据,是现代结构试验技术新的拓展和发展。在大量数据的基础上,拓展和推动结构环境作用、服役性能、损伤演化、安全评定、寿命预测、维修决策等方面新的认识和新的知识,是土木工程发展又一重要的手段和途径。因此,结构健康监测与结构理论、模型试验、数值计算将共同成为推动土木工程发展的四驱之轮。



内容源于网络,旨在分享,如有侵权,请联系删除


相关资料推荐:

桥梁结构动力分析

https://ziliao.co188.com/p42924030.html


知识点:桥梁结构发展三大动力


全部回复(0 )

只看楼主 我来说两句抢沙发
这个家伙什么也没有留下。。。

桥梁工程

返回版块

19.44 万条内容 · 657 人订阅

猜你喜欢

阅读下一篇

减少海上结构的不利振动 被动控制法性价比更高

海底管道、海上风力发电机和浮动平台等海上结构可能存在各种恶劣外部荷载(例如风、海浪、涡旋脱落和地震)引起的过度振动。这些不利振动会降低结构的生产力,影响结构的可用性,甚至危及结构的安全性。因此,减少海上结构的不利振动至关重要。关于该领域已有大量研究,并且已经提出了各种各样的方法、技术。这些方法可大致分为两组,即被动控制法和主动控制法。主动控制需要外部电源来操作,这会对工程实践,特别是对在海上环境中的工程实践构成挑战,其中复杂的致动器以及额外的电源也容易出问题且成本高,并且在某些情况下,海底管道等工程非常难以实现。另一方面,被动控制装置无需外部电源,相对成本更低且使用更方便。因此,后者在海上结构振动控制中的应用更广泛。

回帖成功

经验值 +10