土木在线论坛 \ 建筑结构 \ 地基基础 \ 柱下条形基础ACI算例

柱下条形基础ACI算例

发布于:2023-01-30 11:19:30 来自:建筑结构/地基基础 [复制转发]
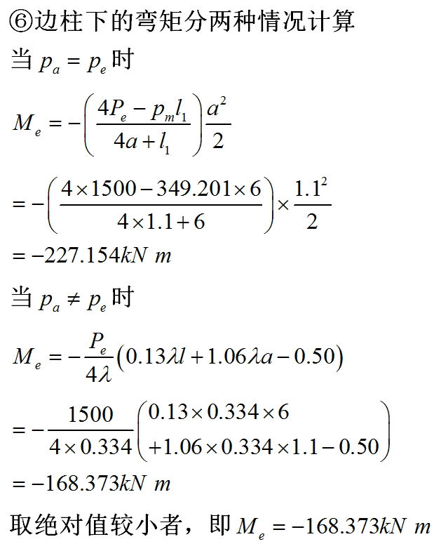
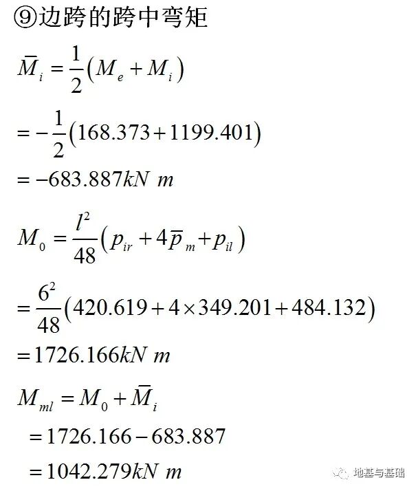
如图所示条形基础,基础梁抗弯刚度EI=0.246×107kN·m2,基床系数k=3×104kN/m3,基础宽度b=4.1m,柱距L=6m,基础外伸长度a=1.1m,内柱受集中力2500kN,外柱受集中力1500kN,用ACI法求基础梁基底反力和弯矩,并画出基底反力图和弯矩图。

图片

↑算例示意图

图片

图片

图片

图片

图片

图片

图片

↑基础梁下的基底反力

图片

↑基础梁弯矩

知识点:柱下条形基础ACI算例

关于柱下条形基础

全部回复(0 )

只看楼主 我来说两句抢沙发
这个家伙什么也没有留下。。。

地基基础

返回版块

12.11 万条内容 · 717 人订阅

猜你喜欢

阅读下一篇

文克尔地基有限长梁

下图表示一长为L的弹性地基梁(梁Ⅰ)上作用有任意的已知荷载,其端点A、B均为自由端,设想将A、B两端向外无限延长形成无限长梁(梁Ⅱ),该无限长梁在已知荷载作用下在相应于A、B两截面产生的弯矩Ma、Mb和剪力Va、Vb。   ↑有限长梁内力、位移计算   由于实际上梁Ⅰ的A、B两端是自由界面,不存在任何内力,为了要按长梁Ⅱ利用无限长梁公式以叠加法计算,而能得到相应于原有限长梁的解答,就必须设法消除发生在梁Ⅱ中A、B两截面的弯矩和剪力,以满足原来梁端的边界条件。为此,可在梁Ⅱ的

回帖成功

经验值 +10