下图表示一长为L的弹性地基梁(梁Ⅰ)上作用有任意的已知荷载,其端点A、B均为自由端,设想将A、B两端向外无限延长形成无限长梁(梁Ⅱ),该无限长梁在已知荷载作用下在相应于A、B两截面产生的弯矩Ma、Mb和剪力Va、Vb。

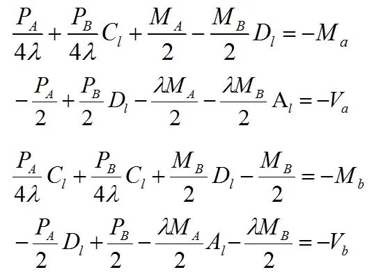
由于实际上梁Ⅰ的A、B两端是自由界面,不存在任何内力,为了要按长梁Ⅱ利用无限长梁公式以叠加法计算,而能得到相应于原有限长梁的解答,就必须设法消除发生在梁Ⅱ中A、B两截面的弯矩和剪力,以满足原来梁端的边界条件。为此,可在梁Ⅱ的A、B两点外侧分别加上一对集中荷载MA、PA和MB、PB,并要求这两对附加荷载在A、B两载面中所产生的弯矩和剪力分别等于-Ma、–Va、及–Mb、–Vb,根据该条件
利用文克尔地基无限长梁的解析解
列出方程组:

解上列方程组得:

原来的梁I延伸为无限长梁II之后,其A、B两截面处的连续性是靠内力Ma、Va和Mb、Vb来维持,而附加荷载MA、PA和MB、PB的作用则正好抵消了这两对内力。其效果相当于把梁Ⅱ在A和B处切断而成为梁Ⅰ。由于MA、PA和MB、PB是为了在梁Ⅱ上实现梁Ⅰ的边界条件所必需的附加荷载,所以叫做梁端边界条件力。
现将有限长梁Ⅰ上任意点x的w、θ、M和V的计算步骤归纳如下:
(1)以叠加法计算已知荷载在梁Ⅱ上相应于梁Ⅰ两端的A和B截面引起的弯矩和剪力Ma、Vb、Mb、Vb;
(2)按上式计算梁端边界条件力MA、PA、、和MB、PB、;
(3)再按叠加法计算在已知荷载和边界条件力的共同作用下,梁Ⅱ上相应于梁Ⅰ的x点处的w、θ、M和V值。

有限长梁的解可采用Heteyi集中力作用下有限长梁的计算公式:


知识点:文克尔地基有限长梁
全部回复(0 )
只看楼主 我来说两句抢沙发